Abstract
In most research works, the conditioning index is used to analyze the kinematic performance of a type of parallel manipulators whose traveling plate has only translation in the workspace, and each limb is made up of three joints and two moving links. However, it is difficult to determine the reasonable limit value of the conditioning index as the design criterion. Therefore, this paper defines two types of transmission angles to evaluate the kinematic performance of parallel manipulators, with which the direct and indirect singularities can be identified in a straightforward manner. Taking both the Diamond and Delta parallel manipulators as examples, the relationships are investigated between the angles and the condition number of the Jacobian, which is a vital performance index for parallel manipulators throughout the workspace. Then, simulation studies are conducted to prove the effectiveness of two kinds of transmission angles for the Diamond and Delta robots. It indicates that the defined angles are well characterized compared with the condition number of the Jacobian matrix in evaluating the kinematic performance of the parallel manipulators and determining the workspace.
1. Introduction
With the booming development of robotic technology, parallel manipulators are widely employed in the industry field, such as high-speed pick-and-place applications, stacking and handing operations, robotic end effectors, etc. [,], due to the advantages of high stiffness, high speed, strong flexibility and light weight compared with serial manipulators [,]. Especially, the parallel manipulators that are capable of spatial translation have drawn much concern in industrial applications, and the orientation of the traveling plate in space is not required [,]. Up to now, several manipulators have been developed for such motions. One of the most famous is the Delta robot proposed in [] for maintaining high-speed pick-and-place applications, which could realize three-DOF translations in space. High performance has been achieved by means of keeping the mass of the moving components to a minimum, as the three identical parallel chains (where represents an actuated revolute joint, while designates a four-bar mechanism consisting of four spherical joints S) are used and all the actuators in the robot system are fixedly mounted on its base.
Another typical parallel manipulator is the Diamond robot [], which mainly consists of a planar parallel robot with two-DOF translations on a plane. The three-DOF translational hybrid robot can be developed with the help of a linear actuator, which could have a mechanism such as a servomotor lead screw assembly, a tooth-belt transmission manipulator or some other equivalent mechanism. Apart from these two main structures, it also introduces other parallel manipulators that can produce translation motion. For example, Sparacino and Hervé proposed the Y-STAR and H-ROBOT parallel robot []. Tsai [] presented the 3-UPU manipulator (where P stands for prismatic joint), which has three five-DOF limbs and is topologically similar to the Delta robot embodiment patented by Li et al. [] exhibiting a 3-PUU architecture. Chablat and Wenger [] put forward the orthograde robot with 3-DOF translations for machining applications, etc. In addition, in order to achieve better acceleration performance for pick-and-place manipulators such as Delta robots, actuation redundancy consisting of additional actuated branches was taken into account as an approach for reaching the goal in [].
Enlightened by the practicable requirement, many studies investigated different issues containing the type enumerations [], kinematics and dynamics models [,] and controller design of the developed parallel manipulators with three-DOF translational performance []. Despite many research works concerning the kinematic design of this type of parallel manipulators exist, previous works related to the kinematic performance still mainly focused on a conditioning index [] obtained from the Jacobian matrix, such as the condition number, determinant and singular values, etc. Though these indices are widely used in the design of robotics, some problems still exist when they are taken as performance indices. (a) For the studied out-parallel manipulator, it is inappropriate to utilize the condition number as the distance measure for the singularity. The study [] indicated that the singular configuration of a two-DOF out-parallel robot could still be obtained, even though the condition number of the Jacobian matrix equaled one. As a consequence, a comprehensive index was adopted combining both the area of the workspace and the condition number of the Jacobian matrix to carry out the optimal design, employing the minimum transmission angle as the extra constraint. (b) It seems that the conditioning indices own no exact physical meaning. As a result, it is difficult to define the reasonable limited value of the conditioning indices as the design criterion.
The transmission/pressure angle seems to be a way to solve this problem, and in this way, the motion transmission performance of a mechanism can be evaluated during the course of design []. Though angle analysis has been extensively applied to planar mechanisms, little work has been conducted focusing on parallel mechanisms. A method for dynamic dimensional synthesis in [] was proposed for the Delta robot, in which the kinematic performance could be partly ensured via introducing the constraint condition of the transmission angle. Notably, the number of limbs may exceed the needed numbers for actuating the moving platform since it has only three-DOF translations at most in space, which can lead the manipulator to actuation redundancy. Therefore, the approaches are also applicable to implement the kinematic design of the redundant Delta-like robot mentioned in [].
The purpose of this paper is to define a transmission/pressure angle for a type of parallel manipulators to achieve the translations in space with the same topological structures applied in Delta and Diamond robots. As illustrated in [], each limb is formed from an active link as well as a passive link, where the active link may be driven by a revolute or prismatic joint. One end of the passive link is connected with the active link, and the other end is connected with the movable platform through a joint, which can be a rotary joint, a universal joint or a spherical joint.
The remainder of the paper is organized as follows: Section 2 presents the kinematic models and Jacobian matrix analytically. Subsequently, two types of transmission angles are developed in Section 3, and direct and indirect singularities can be identified in a direct way. In Section 4, taking Delta and Diamond as examples, the relationship between the Jacobian angle and the condition number is studied to demonstrate the validity of the angle in ensuring the motion performance of the parallel manipulator. In Section 5, conclusions are given.
2. Kinematic Analysis
The type of parallel manipulators in this study is composed of one moving platform with only translation motion in space, together with kinematic chains formed by three joints and two moving links. Figure 1 displays two kinds of the kinematic chains mentioned above.
Figure 1.
Kinematic chains of parallel manipulators. (a) Actuated by revolute joint; (b) actuated by prismatic joint.
In Figure 2, coordinate system is attached to the fixed base, and another coordinate frame, , is located on the moving platform. The closed-loop position formula for the kinematic chain is:
where , , , , , and represent vectors , and , length of , the unit vector along , the unit vector along active link and the unit vector along passive link , respectively. Joint denotes the revolute or prismatic joint. Consequently, the inverse position formula can be obtained as:
Figure 2.
Schematic diagram of a kinematic chain.
Jacobian Analysis
The derivation of Equation (1) with respect to time yields:
where , and are the linear speed of the moving platform, the angular speed of link and the angular speed of link , respectively.
When joint is a revolute joint in the study, Equation (3) can be written as:
where denotes the unit vector in the direction of the angular speed of . When joint is a prismatic joint, Equation (3) is given as:
Taking the dot product on both sides of Equations (4) and (5) with , we can obtain:
Rewriting Equations (6) and (7) in the following matrix form yields:
where , , , , and .
3. Transmission Angle Analysis
Unlike the multi-DOF serial manipulators, the results close to a singularity may destroy the mechanical construction of the parallel manipulators. Three different kinds of singularities employed for the closed kinematic chains are defined in the study []. Thus, we can obtain:
where represents a vector with the active joint rates and denotes a velocity vector of the moving platform. From Equations (8) and (9), the components of matrices and share a common characteristic that can be evaluated as the trigonometric values of an angle.
Figure 3.
Angle relationship derived from matrices and .
It can be observed here that when and , the results are and . The phenomena of the direct kinematic singularities may inevitably appear. This angle related to the singularities can be regarded as the inner transmission angle (ITA) for the kinematic chain. Matrix or also has the same matrix dimension with (). Since the moving platform has only translation in space, the moving platform possesses three degrees of freedom at most. If the number of kinematic chains exceeds the minimum required to drive the manipulator, the parallel manipulator is viewed as a redundant one. The Jacobian matrix of this parallel manipulator that maps an m-dimensional velocity vector in the operation space to n-dimensional joint velocity vector is no longer a square matrix. The determinant of is equal to 0. The parallel manipulators’ ith redundant characteristics are inverse kinematic singularities when any of the minor Jacobians with dimension extracted from () are singular:
The parallel manipulator is viewed as an inverse kinematic singularity when any of the minor matrices extracted from is singular:
The determinant of matrix in Equations (13) and (14) can be rewritten as:
Since represents the unit vector along the passive link, we can obtain:
For , we can define the angle as:
It can be clearly observed that when (,), the result is (). As a result, angle related to the inverse kinematic singularity can be defined as a cross transmission angle (CTA) for the kinematic chain. The redundancy feature can improve the performance by avoiding the kinematic singularities. This phenomenon can be illustrated using Equation (17), only if all angles defined in Equation (18) are close to .
4. Comparison Analysis of Condition Number and ITA/CTA
In the field of robotics, the condition number is defined as:
where and denote the minimum and maximum singular values of the Jacobian for a given posture. In order to investigate the influence of the transmission angles on the kinematic performance of this type of parallel manipulators, the Diamond robot and Delta robot are adopted here for the analysis. The schematic diagrams are shown in Figure 4.
Figure 4.
Schematic diagram of the Diamond robot and Delta robot. (a) Diamond robot; (b) Delta robot.
4.1. Angle Analysis of Diamond Robot
With the inverse kinematic analysis discussed in Section 2 and the transmission angle defined in Section 3, in the coordinate system in Figure 4a, taking into Equation (2) and considering the assembly mode give:
where is the position angle of the active links, respectively, and:
Thus, and can be obtained as:
By examining Equation (8), rewriting the Jacobian matrix in the planar coordinate system leads to:
where is the Jacobian matrix, and and denote the direct and indirect Jacobian matrices for the parallel manipulator, respectively:
By examining Equations (11) and (17), in order to obtain the ITA and CTA of the Diamond robot, planar vectors and should be rewritten in the Cartesian space coordinate system as follows:
Then, the ITA and CTA of the Diamond robot can be given as:
Referring to [], we give the normalized geometrical parameters of the Diamond robot: , and .
In order to obtain a full insight of the effect of the angle on the kinematic performance of the Diamond robot, it is necessary to analyze the distribution algorithm of the ITA and CTA and its relationship with the condition number in space. Figure 5 shows the variations in condition number , the maximum ITA () and CTA in the work space bounded by a given condition number. It can be seen that the distribution pattern of the maximum ITA and CTA appears to be closely similar to that of . Meanwhile, the maximum ITA and CTA always take the maximum value on the upper bound of . Furthermore, the amplitude fluctuation in the maximum ITA is more severe than that in , which is more similar to that in the CTA. It signifies that the ITA and the CTA are still different from , though they are alike on a large proportion. Figure 6 shows the contours of and the maximum ITA and CTA in the workspace bounded by a given condition number. It can provides us with a more profound understanding of the similarity of these three characteristic parameters. Indeed, it can be easily noted that a better-conditioned robot must be achieved at the cost of the size of the workspace. In this study, the condition number is used to achieve a better workspace for a parallel robot. We can see that the maximum ITA and CTA have nearly the same function for determining the workspace with the condition number.
Figure 5.
Variations in , ITA- and CTA in bounded workspace. (a) ; (b) ITA—; (c) CTA in workspace bounded by .
Figure 6.
Contours of and of the maximum ITA and CTA in bounded workspace. (a) Contours of ; (b) contours of ITA—; (c) contours of CTA in workspace bounded by .
4.2. Angle Analysis of Delta Robot
In the coordinate system shown in Figure 4b, substituting into Equation (2) and considering the assembly mode give:
where is the position angle of the active links, , , , and . Here, , and are unit vectors along the -, - and -axes.
Thus, and can be determined by , .
Substituting into Equation (8) and rewriting the Jacobian matrix in the coordinate system lead to:
where and .
By examining Equations (11) and (18), the ITA and CTA of the Delta robot can be given as:
The normalized geometrical parameters of the Delta robot are , , and .
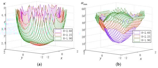
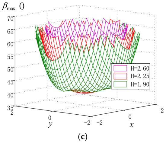
Since the workspace of the Delta robot is a space volume rather than a plane, it is better to investigate the distribution algorithm of , the maximum ITA () and the maximum CTA () with a given , by which the moving platform is restrained to have motion only on the horizontal plane. As shown in Figure 7, the variation in is extremely similar to that in , no matter what value may take, which is similar to the relationship analyzed in the Diamond robot. However, it can be seen from Figure 7b that the variation in changes violently with the decrease in . Furthermore, it can be concluded that a bad ITA may still be taken even if the condition number is fine throughout the workspace. In other words, the condition number cannot thoroughly depict the distance from the singularity of parallel robots. Therefore, it may not be very suitable for merely taking the condition number or its modified versions as a performance index of parallel robots for performance evaluation or optimal design. Then, it is necessary to introduce the ITA and CTA into the optimal design of parallel robots. Figure 8 and Figure 9 exactly justify the above analysis and prove that all of these characteristic parameters nearly play the same role in determining a better-conditioned workspace.

Figure 7.
Contours of and of the maximum ITA and CTA in bounded workspace. Variations in (a) , (b) ITA— and (c) CTA— versus changes in in workspace bounded by .
Figure 8.
Contours of and of the maximum ITA and CTA in bounded workspace. (a) Contours of ; (b) ITA—; and (c) CTA— —versus in workspace bounded by .
Figure 9.
Contours of and of the maximum ITA and CTA in bounded workspace. (a) Contours of ; (b) ITA—; and (c) CTA— —versus in workspace bounded by .
5. Conclusions
It may not be appropriate to only use the condition number or its modified version as the performance index for the performance evaluation or optimization design of parallel robots. Therefore, this paper investigates two transmission angles for the optimization design of parallel manipulators. By analyzing the kinematic singularity of the Diamond and Delta parallel manipulators, two kinds of angles are proposed to evaluate the kinematic performance of parallel manipulators. Then, simulation studies for evaluating the kinematic performance of the two kinds of parallel manipulators are conducted to verify the effectiveness of the proposed transmission angle. It indicates that the defined angles are well characterized compared with the condition number of the Jacobian matrices in evaluating the kinematic performance of the parallel manipulator and determining the workspace. The two transmission angles defined in this paper not only allow the parallel robots to have better motion performance but also achieve a better workspace.
Author Contributions
Conceptualization, H.C.; methodology, H.C.; software, H.C.; validation, H.C., C.S. and Y.W.; formal analysis, H.C.; investigation, H.C.; resources, H.C.; data curation, H.C.; writing—original draft preparation, H.C.; writing—review and editing, H.C.; visualization, H.C.; supervision, C.S. and Y.W.; project administration, C.S.; funding acquisition, C.S. All authors have read and agreed to the published version of the manuscript.
Funding
This research study was funded by Science and Technology Project of Fire and Rescue Bureau of Emergency Management Department under grant 2020XFZD15 and Fundamental Research Funds for China Academy of Safety Science and Technology under grant 2022JBKY01.
Institutional Review Board Statement
Not applicable.
Informed Consent Statement
Not applicable.
Data Availability Statement
Not applicable.
Acknowledgments
We would like to thank Beijing Key Laboratory of Metro Fire and Passenger Transportation Safety, China Academy of Safety Science and Technology, for providing project funds.
Conflicts of Interest
The authors declare no conflict of interest.
References
- Mei, J.; Zhang, X.; Zang, J.; Zhang, F. Optimization design using a global and comprehensive performance index and angular constraints in a type of parallel manipulator. Adv. Mech. Eng. 2018, 10, 1687814018787068. [Google Scholar] [CrossRef]
- Herrero, S.; Pinto, C.; Diez, M.; Zubizarreta, A. Optimization of the 2PRU-1PRS Parallel Manipulator Based on Workspace and Power Consumption Criteria. Appl. Sci. 2021, 11, 7770. [Google Scholar] [CrossRef]
- Boudreau, R.; Nokleby, S.; Gallant, M. Wrench capabilities of a kinematically redundant planar parallel manipulator. Robotica 2021, 39, 1601–1616. [Google Scholar] [CrossRef]
- Enferadi, J.; Jafari, K. A Kane’s based algorithm for closed-form dynamic analysis of a new design of a 3RSS-S spherical parallel manipulator. Multibody Syst. Dyn. 2020, 49, 377–394. [Google Scholar] [CrossRef]
- Mei, J.P.; Hu, L.H. Parallel Manipulators’ Analysis by Transmission Angle. Appl. Mech. Mater. 2013, 401, 226–230. [Google Scholar] [CrossRef]
- Kelemen, M.; Virgala, I.; Lipták, T.; Miková, Ľ.; Filakovský, F.; Bulej, V. A novel approach for a inverse kinematics solution of a redundant manipulator. Appl. Sci. 2018, 8, 2229. [Google Scholar] [CrossRef]
- Vischer, P.; Clavel, R. Kinematic calibration of the parallel delta robot. Robotica 2001, 16, 207–218. [Google Scholar] [CrossRef]
- Zhang, L.J.; Liu, Y.; Huang, Z. Analysis on output speed of parallel robot with planar 2-dof actuation redundancy. J. Mach. Des. 2006, 23, 19–21. [Google Scholar]
- Hervé, J.M.; Sparacino, F. Methodical design of new parallel robots via the lie group of displacements. Springer Vienna 1995, 361, 301–306. [Google Scholar]
- Tsai, L.W.; Joshi, S. Kinematics and optimization of a spatial 3-upu parallel manipulator. J. Mech. Des. 2000, 122, 439–446. [Google Scholar] [CrossRef]
- Li, Y.; Xu, Q.; Staicu, S. Kinematics of the 3-puu translational parallel manipulator. Upb Sci. Bull. 2011, 73, 3–14. [Google Scholar]
- Chablat, D.; Wenger, P. Architecture optimization of a 3-dof translational parallel mechanism for machining applications, the orthoglide. IEEE Trans. Robot. Autom. 2003, 19, 403–410. [Google Scholar] [CrossRef]
- Chakarov, D. Study of the antagonistic stiffness of parallel manipulators with actuation redundancy. Mech. Mach. Theory 2004, 39, 583–601. [Google Scholar] [CrossRef]
- Korayem, M.H.; Dehkordi, S.F. Derivation of motion equation for mobile manipulator with viscoelastic links and revolute-prismatic flexible joints via recursive Gibbs-Appell formulations. Robot. Auton. Syst. 2018, 103, 175–198. [Google Scholar] [CrossRef]
- Hajiabadi, S.; Dehkordi, S.F. A New Method of Dynamic Modelling and Optimal Energy Distribution for Cooperative Closed Chain Manipulators. In Proceedings of the 2019 7th International Conference on Robotics and Mechatronics (ICRoM), Tehran, Iran, 20–21 November 2019. [Google Scholar]
- Salunkhe, D.H.; Michel, G.; Kumar, S.; Sanguineti, M.; Chablat, D. An efficient combined local and global search strategy for optimization of parallel kinematic mechanisms with joint limits and collision constraints. Mech. Mach. Theory 2022, 173, 104796–104830. [Google Scholar] [CrossRef]
- Lara-Molina, F.A.; Dumur, D. Robust multi-objective optimization of parallel manipulators. Meccanica 2021, 56, 2843–2860. [Google Scholar] [CrossRef]
- Rezania, V.; Ebrahimi, S. Dexterity characterization of the RPR parallel manipulator based on the local and global condition indices. J. Mech. Sci. Technol. 2017, 31, 335–344. [Google Scholar] [CrossRef]
- Huang, T.; Wang, P.F.; Mei, J.P.; Zhao, X.M.; Chetwyn, D.D.G. Time minimum trajectory planning of a 2-dof translational parallel robot for pick-and-place operations. CIRP Ann.-Manuf. Technol. 2007, 56, 365–368. [Google Scholar] [CrossRef]
- Liang, X.; Takeda, Y. Transmission index of a class of parallel manipulators with 3-RS(SR) primary structures based on pressure angle and equivalent mechanism with 2-ss chains replacing RS chain. Mech. Mach. Theory 2019, 139, 359–378. [Google Scholar] [CrossRef]
- Zhang, L. Dynamic dimensional synthesis of delta robot. J. Mech. Eng. 2010, 46, 1–7. [Google Scholar] [CrossRef]
- Wang, G.; Wang, W. Analysis of Condition Number in a Type of Manipulators. In Proceedings of the 2015 International Conference on Energy, Environment and Chemical Engineering (ICEECE 2015), Bangkok, Thailand, 28 June 2015. [Google Scholar]
- Gosselin, C.; Angeles, J. Singularity analysis of closed-loop kinematic chains. IEEE Trans. Robot. Autom. 1990, 6, 281–290. [Google Scholar] [CrossRef]
Publisher’s Note: MDPI stays neutral with regard to jurisdictional claims in published maps and institutional affiliations. |
© 2022 by the authors. Licensee MDPI, Basel, Switzerland. This article is an open access article distributed under the terms and conditions of the Creative Commons Attribution (CC BY) license (https://creativecommons.org/licenses/by/4.0/).