Effect of Medial-Lateral, Inferior-Superior, and Rotational Positions of Palms on Muscle Recruitment during the Push-Up Exercise †
Abstract
1. Introduction
2. Methods and Materials
2.1. Study Selection
2.2. Instruments
2.3. Experimental Setup
2.4. Data Analysis
2.5. Statistical Analysis
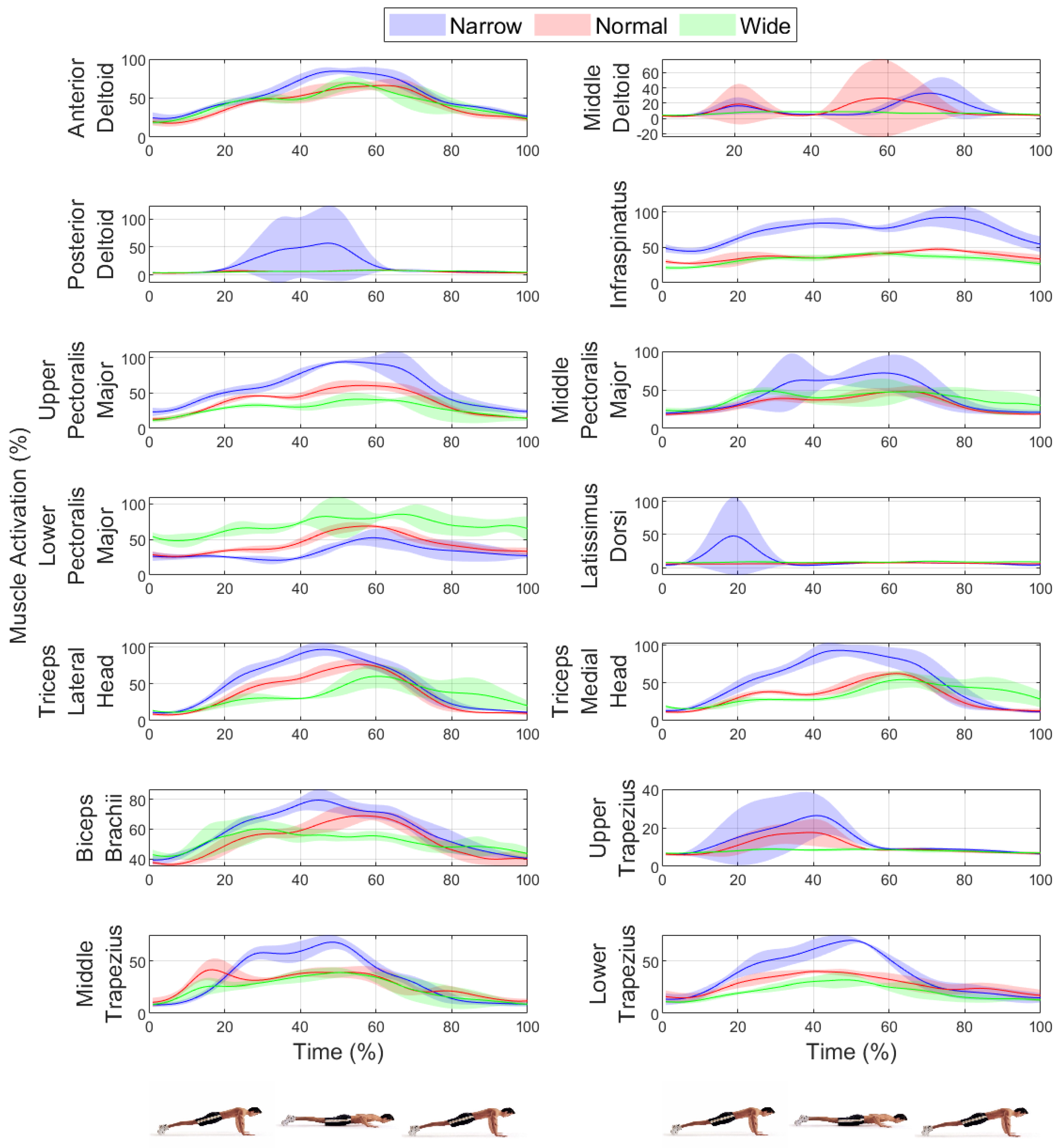
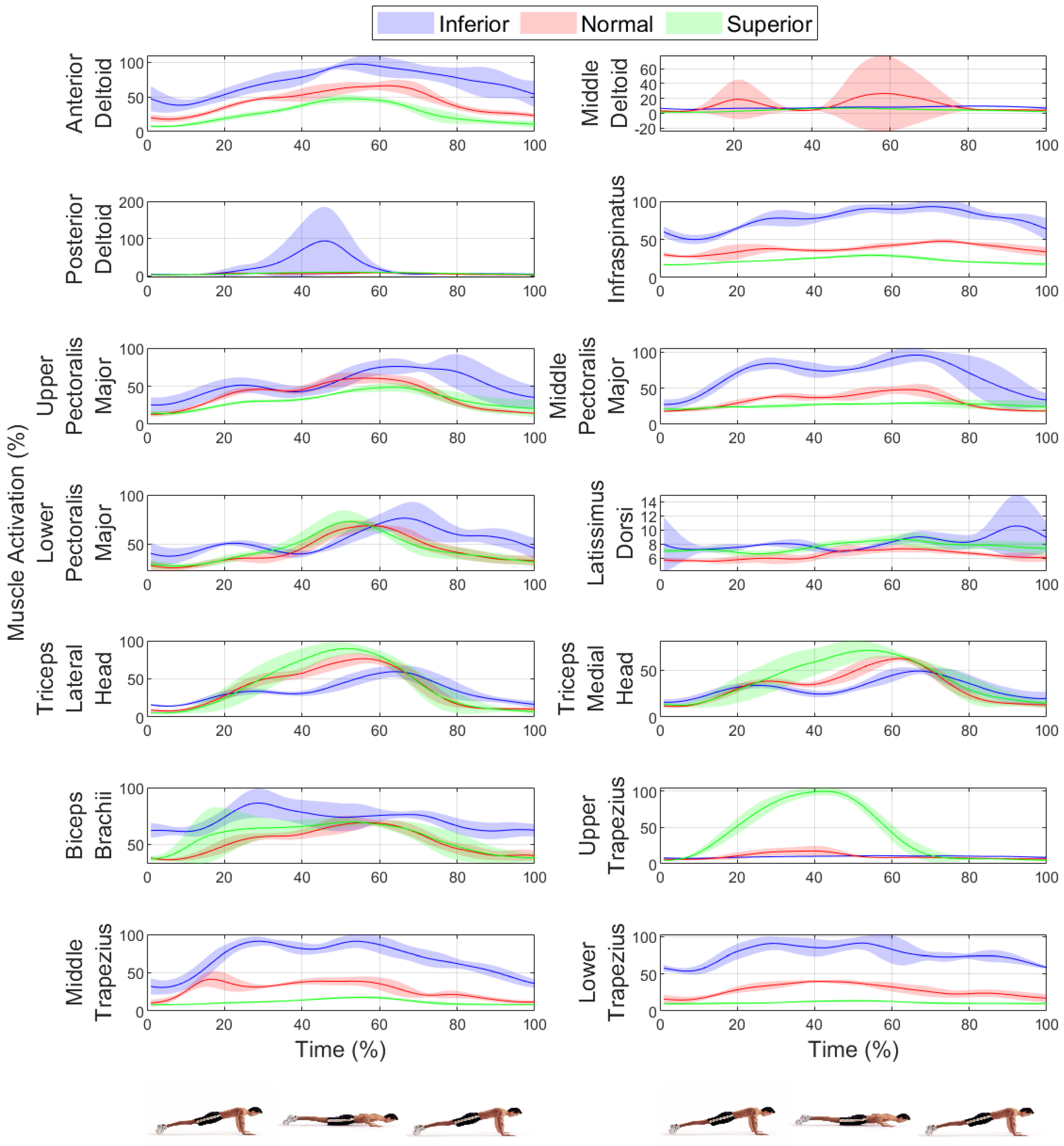
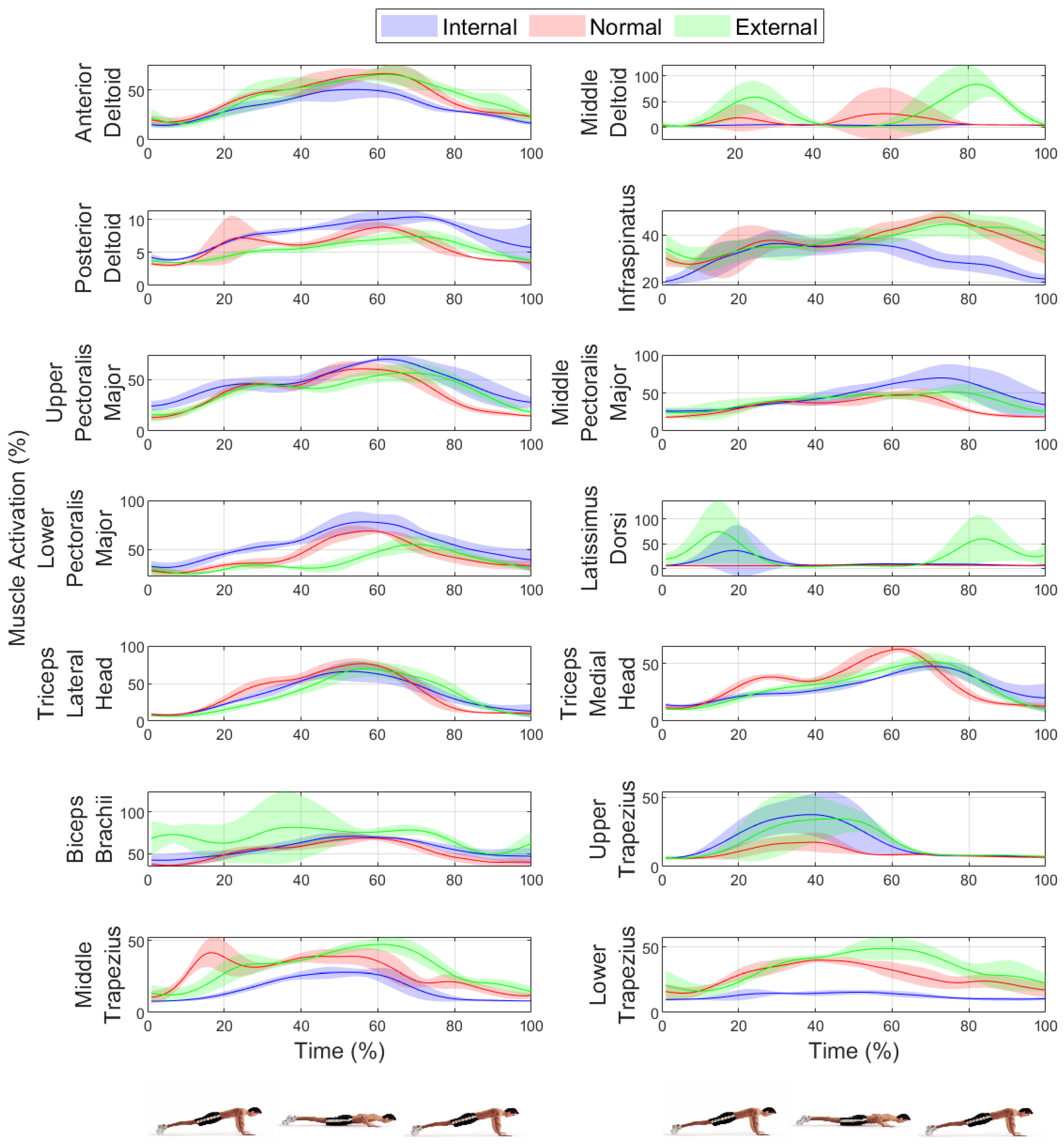
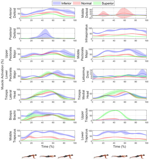
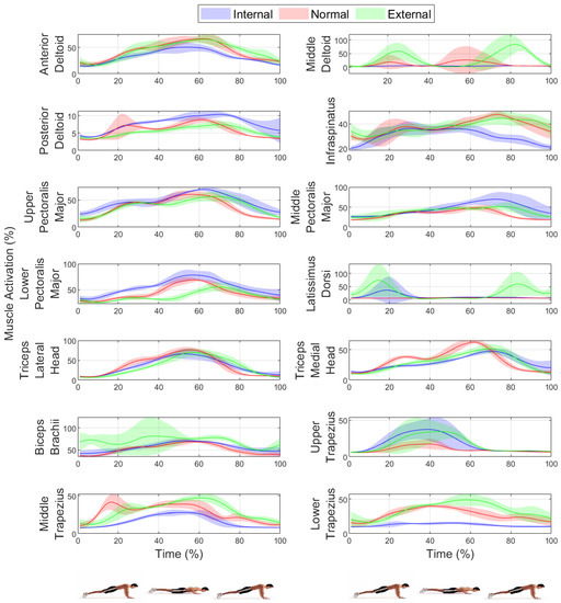
3. Results
4. Discussion
5. Conclusions
Author Contributions
Funding
Institutional Review Board Statement
Informed Consent Statement
Data Availability Statement
Acknowledgments
Conflicts of Interest
References
- Golfeshan, N.; Fatemigarakani, S.; Aflatounian, F.; Fattahzadeh, A.; Maboudmanesh, A.; Vojdani, T.; Shaabani, A.; Naghavi, N.; Safaei, M.; Barnamehei, H. Effect of medial-lateral hand positions on glenohumeral and acromioclavicular joint kinematics during push-up exercise. Gait Posture 2020, 81, 111–112. [Google Scholar] [CrossRef]
- Ebben, W.P.; Wurm, B.; VanderZanden, T.L.; Spadavecchia, M.L.; Durocher, J.J.; Bickham, C.T.; Petushek, E.J. Kinetic analysis of several variations of push-ups. J. Strength Cond. Res. 2011, 25, 2891–2894. [Google Scholar] [CrossRef] [PubMed]
- Kang, D.H.; Jung, S.Y.; Nam, D.H.; Shin, S.J.; Yoo, W.G. The effects of push-ups with the trunk flexed on the shoulder and trunk muscles. J. Phys. Ther. Sci. 2014, 26, 909–910. [Google Scholar] [CrossRef][Green Version]
- Lehman, G.J.; Gilas, D.; Patel, U. An unstable support surface does not increase scapulothoracic stabilizing muscle activity during push up and push up plus exercises. Man. Ther. 2008, 13, 500–506. [Google Scholar] [CrossRef] [PubMed]
- Park, K.M.; Cynn, H.S.; Kwon, O.Y.; Yi, C.H.; Yoon, T.L.; Lee, J.H. Comparison of pectoralis major and serratus anterior muscle activities during different push-up plus exercises in subjects with and without scapular winging. J. Strength Cond. Res. 2014, 28, 2546–2551. [Google Scholar] [CrossRef] [PubMed]
- Yoon, J.G.; Lee, H.Y. Periscapular muscle activities and kinematic analysis of the performed on different supporting surfaces for the lower limbs push-up plus exercise. J. Phys. Ther. Sci. 2013, 25, 259–262. [Google Scholar] [CrossRef][Green Version]
- Kim, Y.S.; Kim, D.Y.; Ha, M.S. Effect of the push-up exercise at different palmar width on muscle activities. J. Phys. Ther. Sci. 2016, 28, 446–449. [Google Scholar] [CrossRef] [PubMed]
- De Bock, S.; Ampe, T.; Rossini, M.; Tassignon, B.; Lefeber, D.; Rodriguez-Guerrero, C.; Roelands, B.; Geeroms, J.; Meeusen, R.; De Pauw, K. Passive shoulder exoskeleton support partially mitigates fatigue-induced effects in overhead work. Appl. Ergon. 2023, 106, 103903. [Google Scholar] [CrossRef] [PubMed]
- Jung, J.; Cho, W. Effects of push-up exercise on shoulder stabilizer muscle activation according to the grip thickness of the push-up bar. J. Phys. Ther. Sci. 2015, 27, 2995–2997. [Google Scholar] [CrossRef][Green Version]
- Barnamehei, H. Effect of Motor Nerve on Lower Limb Coordination Variability During High-Heel and Barefoot Gait. In International Conference on NeuroRehabilitation; Springer: Berlin/Heidelberg, Germany, 2018; pp. 788–790. [Google Scholar]
- Dhahbi, W.; Chaouachi, A.; Dhahbi, A.B.; Cochrane, J.; Chèze, L.; Burnett, A.; Chamari, K. The effect of variation of plyometric push-ups on force-application kinetics and perception of intensity. Int. J. Sport. Physiol. Perform. 2017, 12, 190–197. [Google Scholar] [CrossRef] [PubMed]
- Choi, W.J.; Yoon, T.L.; Choi, S.A.; Lee, J.H.; Cynn, H.S. Different weight bearing push-up plus exercises with and without isometric horizontal abduction in subjects with scapular winging: A randomized trial. J. Bodyw. Mov. Ther. 2017, 21, 582–588. [Google Scholar] [CrossRef]
- Dhahbi, W.; Chaabene, H.; Chaouachi, A.; Padulo, J.; Behm, D.G.; Cochrane, J.; Burnett, A.; Chamari, K. Kinetic analysis of push-up exercises: A systematic review with practical recommendations. Sport. Biomech. 2018, 21, 1–40. [Google Scholar] [CrossRef] [PubMed]
- Aguilera-Castells, J.; Buscà, B.; Fort-Vanmeerhaeghe, A.; Montalvo, A.M.; Pena, J. Muscle activation in suspension training: A systematic review. Sport. Biomech. 2020, 19, 55–75. [Google Scholar] [CrossRef] [PubMed]
- Renganathan, G.; Barnamehei, H.; Das, S.; Kurita, Y. Effect of Wearing Running Shoes on Lower Limb Kinematics by Using OpenSim Simulation Software. Actuators 2022, 11, 152. [Google Scholar] [CrossRef]
- Barnamehei, H.; Abbasizadeh, S. Medial-lateral position of hand changes shoulder muscle synergy during the push-up exercises. In Proceedings of the 2021 28th National and 6th International Iranian Conference on Biomedical Engineering (ICBME), Tehran, Iran, 25–26 November 2021; pp. 299–304. [Google Scholar]
- Barnamehei, H.; Tabatabai Ghomsheh, F.; Safar Cherati, A.; Pouladian, M. Upper limb neuromuscular activities and synergies comparison between elite and nonelite athletics in badminton overhead forehand smash. Appl. Bionics Biomech. 2018, 2018, 6067807. [Google Scholar] [CrossRef]
- Cram, J.R.; Kasman, G.S.; Holtz, J. Introduction to Surface Electromyography; Aspen Publishers: Gaithersburg, MD, USA, 1998. [Google Scholar]
- Barnamehei, H.; Shamloo, P.; Golfeshan, N.; Naghavi, N.; Barnamehei, M.; Kharazi, M.; Jafarloo, S.A. Effect of design of assisting devices on the lower body muscular activities during gait with crutch executed by amputees. Gait Posture 2020, 81, 34–35. [Google Scholar] [CrossRef]
- Drake, J.D.; Callaghan, J.P. Elimination of electrocardiogram contamination from electromyogram signals: An evaluation of currently used removal techniques. J. Electromyogr. Kinesiol. 2006, 16, 175–187. [Google Scholar] [CrossRef] [PubMed]
- Mathiassen, S.; Winkel, J.; Hägg, G. Normalization of surface EMG amplitude from the upper trapezius muscle in ergonomic studies—A review. J. Electromyogr. Kinesiol. 1995, 5, 197–226. [Google Scholar] [CrossRef]
- Barnamehei, H.; Ghomsheh, F.T.; Cherati, A.S.; Pouladian, M. Muscle and joint force dependence of scaling and skill level of athletes in high-speed overhead task: Musculoskeletal simulation study. Inform. Med. Unlocked 2020, 20, 100415. [Google Scholar] [CrossRef]
- Kuechle, D.K.; Newman, S.R.; Itoi, E.; Morrey, B.F.; An, K.N. Shoulder muscle moment arms during horizontal flexion and elevation. J. Shoulder Elb. Surg. 1997, 6, 429–439. [Google Scholar] [CrossRef]
- Gouvali, M.K.; Boudolos, K. Dynamic and electromyographical analysis in variants of push-up exercise. J. Strength Cond. Res. 2005, 19, 146–151. [Google Scholar] [PubMed]
- Cogley, R.M.; Archambault, T.A.; Fibeger, J.F.; Koverman, M.M. Comparison of muscle activation using various hand positions during the push-up exercise. J. Strength Cond. Res. 2005, 19, 628. [Google Scholar] [PubMed]
- Ho, A.J.; Cudlip, A.C.; Ribeiro, D.C.; Dickerson, C.R. Examining upper extremity muscle demand during selected push-up variants. J. Electromyogr. Kinesiol. 2019, 44, 165–172. [Google Scholar] [CrossRef]
- Park, S.Y.; Yoo, W.G. Differential activation of parts of the serratus anterior muscle during push-up variations on stable and unstable bases of support. J. Electromyogr. Kinesiol. 2011, 21, 861–867. [Google Scholar] [CrossRef]







| Variables | Mean (±SD) | 
|---|---|
| Age (years) | 24.50 (±7.50) | 
| Weight (kg) | 68.35 (±7.18) | 
| Height (cm) | 175 (±3.40) | 
| Experience (years) | 14 (±3.50) | 
| Cardinal Planes | Position | Medial-Lateral Distance between Palms | Superior-Inferior Position of the Palms | Rotation Position of the Palms | 
|---|---|---|---|---|
| Close | 0 cm | In front of the face | 0° degree | |
| Medial-Lateral | Normal | The distance between left and right shoulder markers | In front of the face | 0° degree | 
| Wide | 2 × (the distance between left and right shoulder markers) | In front of the face | 0° degree | |
| Superior | The distance between left and right shoulder markers | In front and overhead | 0° degree | |
| Superior-Inferior | Normal | The distance between left and right shoulder markers | In front of the face | 0° degree | 
| Inferior | The distance between left and right shoulder markers | In front of the chest | 0° degree | |
| Internal | The distance between left and right shoulder markers | In front of the face | 90° internal | |
| Rotation | Normal | The distance between left and right shoulder markers | In front of the face | 0° | 
| External | The distance between left and right shoulder markers | In front of the face | 90° external | 
| Publisher’s Note: MDPI stays neutral with regard to jurisdictional claims in published maps and institutional affiliations. | 
© 2022 by the authors. Licensee MDPI, Basel, Switzerland. This article is an open access article distributed under the terms and conditions of the Creative Commons Attribution (CC BY) license (https://creativecommons.org/licenses/by/4.0/).
Share and Cite
Barnamehei, H.; Renganathan, G.; Aflatounian, F.; Fatemigarakani, S.; Maboudmanesh, A.; Fatahzadeh, A.; Shaabani, A.; Kurita, Y. Effect of Medial-Lateral, Inferior-Superior, and Rotational Positions of Palms on Muscle Recruitment during the Push-Up Exercise. Appl. Sci. 2022, 12, 10178. https://doi.org/10.3390/app121910178
Barnamehei H, Renganathan G, Aflatounian F, Fatemigarakani S, Maboudmanesh A, Fatahzadeh A, Shaabani A, Kurita Y. Effect of Medial-Lateral, Inferior-Superior, and Rotational Positions of Palms on Muscle Recruitment during the Push-Up Exercise. Applied Sciences. 2022; 12(19):10178. https://doi.org/10.3390/app121910178
Chicago/Turabian StyleBarnamehei, Hamidreza, Gunarajulu Renganathan, Fatemeh Aflatounian, Samirasadat Fatemigarakani, Ava Maboudmanesh, Aidasadat Fatahzadeh, Aram Shaabani, and Yuichi Kurita. 2022. "Effect of Medial-Lateral, Inferior-Superior, and Rotational Positions of Palms on Muscle Recruitment during the Push-Up Exercise" Applied Sciences 12, no. 19: 10178. https://doi.org/10.3390/app121910178
APA StyleBarnamehei, H., Renganathan, G., Aflatounian, F., Fatemigarakani, S., Maboudmanesh, A., Fatahzadeh, A., Shaabani, A., & Kurita, Y. (2022). Effect of Medial-Lateral, Inferior-Superior, and Rotational Positions of Palms on Muscle Recruitment during the Push-Up Exercise. Applied Sciences, 12(19), 10178. https://doi.org/10.3390/app121910178
 
        






 
       