Deep Learning Based Detector YOLOv5 for Identifying Insect Pests
Abstract
1. Introduction
2. Related Work
3. Methods
3.1. Dataset Collection
3.2. Data Annotation
3.3. Data Augmentation
3.4. Data Splitting
4. Object Detection Models
4.1. You Only Learn One Representation
4.2. You Only Look Once, Version 3
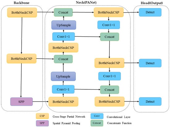
4.3. You Only Look Once, Version 5
4.4. Classifier Modification
4.5. Networks Training, Validation, and Testing
5. Results
5.1. Metrics Evaluation of the Trained Models
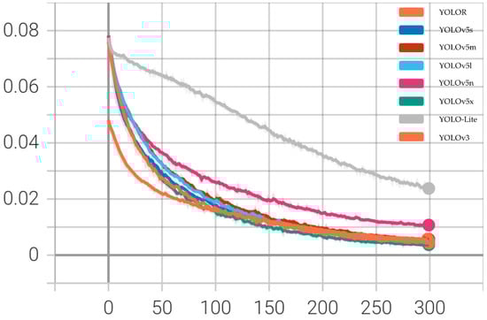
5.2. Training Loss Analysis
5.3. Comparing the Algorithms
5.4. Confusion Matrices
5.5. Detection Results of YOLOv5x
5.6. Results with IP-Camera
6. Discussion
7. Conclusions
Author Contributions
Funding
Institutional Review Board Statement
Informed Consent Statement
Data Availability Statement
Acknowledgments
Conflicts of Interest
References
- Carvajal-Yepes, M.; Cardwell, K.; Nelson, A.; Garrett, K.A.; Giovani, B.; Saunders, D.G.O.; Kamoun, S.; Legg, J.P.; Verdier, V.; Lessel, J.; et al. A global surveillance system for crop diseases. Science 2019, 364, 1237–1239. [Google Scholar] [CrossRef] [PubMed]
- Boedeker, W.; Watts, M.; Clausing, P.; Marquez, E. The global distribution of acute unintentional pesticide poisoning: Estimations based on a systematic review. BMC Public Health 2020, 20, 1875. [Google Scholar] [CrossRef] [PubMed]
- Karar, M.E.; Alsunaydi, F.; Albusaymi, S.; Alotaibi, S. A New Mobile Application of Agricultural Pests Recognition Using Deep Learning in Cloud Computing System. Alex. Eng. J. 2021, 60, 4423–4432. [Google Scholar] [CrossRef]
- Hu, Z.; Xu, L.; Cao, L.; Liu, S.; Luo, Z.; Wang, J.; Li, X.; Wang, L. Application of Non-Orthogonal Multiple Access in Wireless Sensor Networks for Smart Agriculture. IEEE Access 2019, 7, 87582–87592. [Google Scholar] [CrossRef]
- Narenderan, S.; Meyyanathan, S.; Babu, B. Review of pesticide residue analysis in fruits and vegetables. Pre-treatment, extraction and detection techniques. Food Res. Int. 2020, 133, 109141. [Google Scholar] [CrossRef] [PubMed]
- Onler, E. Real Time Pest Detection Using YOLOv5. Int. J. Agric. Nat. Sci. 2021, 14, 232–246. [Google Scholar]
- McCarthy, C.; Rees, S.; Baillie, C. Machine Vision-Based Weed Spot Spraying: A Review and Where Next for Sugarcane. In Proceedings of the 32nd Annual Conference of the Australian Society of Sugar Cane Technologists (ASSCT 2010), Bundaberg, Australia, 11–14 May 2010; Volume 32, pp. 424–432. [Google Scholar]
- Oberti, R.; Marchi, M.; Tirelli, P.; Calcante, A.; Iriti, M.; Tona, E.; Hočevar, M.; Baur, J.; Pfaff, J.; Schütz, C.; et al. Selective spraying of grapevines for disease control using a modular agricultural robot. Biosyst. Eng. 2016, 146, 203–215. [Google Scholar] [CrossRef]
- Lippi, M.; Bonucci, N.; Carpio, R.F.; Contarini, M.; Speranza, S.; Gasparri, A. A YOLO-Based Pest Detection System for Precision Agriculture. In Proceedings of the 2021 29th Mediterranean Conference on Control and Automation (MED), Puglia, Italy, 22–25 June 2021; pp. 342–347. [Google Scholar] [CrossRef]
- Shanwad, U.K.; Patil, V.C.; Dasog, S.G.; Mansur, C.P.; Shashidhar, K.C. Global Positioning System (GPS) in Precision Agriculture. In Proceedings of the Asian GPS Conference, New Delhi, India, 24–25 October 2002; Volume 1. [Google Scholar]
- Bengio, Y.; LeCun, Y. Scaling Learning Algorithms towards AI. In Large-Scale Kernel Machines; MIT Press: Cambridge, MA, USA, 2007; Volume 34, pp. 1–41. [Google Scholar]
- Hassan, M.; Wang, Y.; Wang, D.; Li, D.; Liang, Y.; Zhou, Y.; Xu, D. Deep learning analysis and age prediction from shoeprints. Forensic Sci. Int. 2021, 327, 110987. [Google Scholar] [CrossRef]
- Hassan, M.; Wang, Y.; Pang, W.; Wang, D.; Li, D.; Zhou, Y.; Xu, D. GUV-Net for high fidelity shoeprint generation. Complex Intell. Syst. 2021, 8, 933–947. [Google Scholar] [CrossRef]
- Soviany, P.; Ionescu, R.T. Optimizing the Trade-Off between Single-Stage and Two-Stage Deep Object Detectors using Image Difficulty Prediction. In Proceedings of the 2018 20th International Symposium on Symbolic and Numeric Algorithms for Scientific Computing (SYNASC), Timisoara, Romania, 20–23 September 2018. [Google Scholar] [CrossRef]
- Murthy, C.B.; Hashmi, M.F.; Bokde, N.D.; Geem, Z.W. Investigations of Object Detection in Images/Videos Using Various Deep Learning Techniques and Embedded Platforms—A Comprehensive Review. Appl. Sci. 2020, 10, 3280. [Google Scholar] [CrossRef]
- Redmon, J.; Divvala, S.; Girshick, R.; Farhadi, A. You Only Look Once: Unified, Real-Time Object Detection. In Proceedings of the 2016 IEEE Conference on Computer Vision and Pattern Recognition (CVPR), Las Vegas, NV, USA, 27–30 June 2016; pp. 779–788. [Google Scholar] [CrossRef]
- Wang, C.-Y.; Yeh, I.-H.; Liao, H.-Y.M. You Only Learn One Representation: Unified Network for Multiple Tasks. arXiv 2021, arXiv:2105.04206. [Google Scholar]
- Kamilaris, A.; Prenafeta-Boldú, F.X. Deep learning in agriculture: A survey. Comput. Electron. Agric. 2018, 147, 70–90. [Google Scholar] [CrossRef]
- Nam, N.T.; Hung, P.D. Pest Detection on Traps Using Deep Convolutional Neural Networks. In Proceedings of the 2018 International Conference on Control and Computer Vision (ICCCV ’18), Singapore, 15–18 June 2018; pp. 33–38. [Google Scholar]
- Fuentes, A.; Yoon, S.; Kim, S.C.; Park, D.S. A Robust Deep-Learning-Based Detector for Real-Time Tomato Plant Diseases and Pests Recognition. Sensors 2017, 17, 2022. [Google Scholar] [CrossRef] [PubMed]
- Jiao, L.; Dong, S.; Zhang, S.; Xie, C.; Wang, H. AF-RCNN: An anchor-free convolutional neural network for multi-categories agricultural pest detection. Comput. Electron. Agric. 2020, 174, 105522. [Google Scholar] [CrossRef]
- Li, D.; Wang, R.; Xie, C.; Liu, L.; Zhang, J.; Li, R.; Wang, F.; Zhou, M.; Liu, W. A Recognition Method for Rice Plant Diseases and Pests Video Detection Based on Deep Convolutional Neural Network. Sensors 2020, 20, 578. [Google Scholar] [CrossRef]
- Liu, W.; Anguelov, D.; Erhan, D.; Szegedy, C.; Reed, S.; Fu, C.-Y.; Berg, A.C. SSD: Single Shot Multibox Detector. In Computer Vision–ECCV 2016; Springer: Cham, Switzerland, 2016; pp. 21–37. [Google Scholar]
- Zhong, Y.; Gao, J.; Lei, Q.; Zhou, Y. A Vision-Based Counting and Recognition System for Flying Insects in Intelligent Agriculture. Sensors 2018, 18, 1489. [Google Scholar] [CrossRef]
- Du, J. Understanding of Object Detection Based on CNN Family and YOLO. J. Phys. Conf. Ser. 2018, 1004, 012029. [Google Scholar] [CrossRef]
- Sabanci, K.; Aslan, M.F.; Ropelewska, E.; Unlersen, M.F.; Durdu, A. A Novel Convolutional-Recurrent Hybrid Network for Sunn Pest–Damaged Wheat Grain Detection. Food Anal. Methods 2022, 15, 1748–1760. [Google Scholar] [CrossRef]
- Koklu, M.; Unlersen, M.F.; Ozkan, I.A.; Aslan, M.F.; Sabanci, K. A CNN-SVM study based on selected deep features for grapevine leaves classification. Measurement 2021, 188, 110425. [Google Scholar] [CrossRef]
- Gambhir, J.; Patel, N.; Patil, S.; Takale, P.; Chougule, A.; Prabhakar, C.S.; Managanvi, K.; Raghavan, A.S.; Sohane, R.K. Deep Learning for Real-Time Diagnosis of Pest and Diseases on Crops. In Intelligent Data Engineering and Analytics; Springer: Singapore, 2022; pp. 189–197. [Google Scholar] [CrossRef]
- Roy, A.M.; Bhaduri, J. Real-time growth stage detection model for high degree of occultation using DenseNet-fused YOLOv4. Comput. Electron. Agric. 2022, 193, 106694. [Google Scholar] [CrossRef]
- Lawal, M.O. Tomato detection based on modified YOLOv3 framework. Sci. Rep. 2021, 11, 1447. [Google Scholar] [CrossRef] [PubMed]
- Roy, A.M.; Bose, R.; Bhaduri, J. A fast accurate fine-grain object detection model based on YOLOv4 deep neural network. Neural Comput. Appl. 2022, 34, 3895–3921. [Google Scholar] [CrossRef]
- Tzutalin, D. GitHub. 2015. Available online: https://github.com/heartexlabs/labelImg (accessed on 30 August 2022).
- Wang, H.; Zhang, F.; Wang, L. Fruit Classification Model Based on Improved Darknet53 Convolutional Neural Network. In Proceedings of the 2020 International Conference on Intelligent Transportation, Big Data & Smart City (ICITBS), Vientiane, Laos, 11–12 January 2020; pp. 881–884. [Google Scholar] [CrossRef]
- Lin, T.-Y.; Goyal, P.; Girshick, R.; He, K.; Dollár, P. Focal Loss for Dense Object Detection. IEEE Trans. Pattern Anal. Mach. Intell. 2018, 42, 318–327. [Google Scholar] [CrossRef] [PubMed]
- Lin, T.-Y.; Dollár, P.; Girshick, R.; He, K.; Hariharan, B.; Belongie, S. Feature pyramid networks for object detection. In Proceedings of the 2017 IEEE Conference on Computer Vision and Pattern Recognition (CVPR), Honolulu, HI, USA, 21–26 July 2017; pp. 936–944. [Google Scholar] [CrossRef]
- Everingham, M.; Eslami, S.M.A.; Van Gool, L.; Williams, C.K.I.; Winn, J.; Zisserman, A. The Pascal Visual Object Classes Challenge: A Retrospective. Int. J. Comput. Vis. 2014, 111, 98–136. [Google Scholar] [CrossRef]
- Lin, T.-Y.; Maire, M.; Belongie, S.; Bourdev, L.; Girshick, R.; Hays, J.; Perona, P.; Zitnick, C.L.; Dollár, P. Microsoft COCO: Common Objects in Context. arXiv 2015, arXiv:1405.0312. Available online: https://cocodataset.org/ (accessed on 30 August 2022).
- Wang, C.-Y.; Liao, H.-Y.M.; Wu, Y.-H.; Chen, P.-Y.; Hsieh, J.-W.; Yeh, I.-H. CSPNet: A New Backbone that can Enhance Learning Capability of CNN. In Proceedings of the 2020 IEEE/CVF Conference on Computer Vision and Pattern Recognition Workshops (CVPRW), Seattle, WA, USA, 14–19 June 2020; pp. 1571–1580. [Google Scholar]
- Wang, K.; Liew, J.H.; Zou, Y.; Zhou, D.; Feng, J. PANet: Few-Shot Image Semantic Segmentation with Prototype Alignment. In Proceedings of the 2019 IEEE/CVF International Conference on Computer Vision (ICCV), Seoul, Korea, 27 October–2 November 2019; pp. 9197–9206. [Google Scholar]
- Redmon, J.; Farhadi, A. YOLO9000: Better, Faster, Stronger. In Proceedings of the IEEE Conference on Computer Vision and Pattern Recognition, Honolulu, HI, USA, 21–26 July 2017; pp. 7263–7271. [Google Scholar]
- Xu, R.; Lin, H.; Lu, K.; Cao, L.; Liu, Y. A Forest Fire Detection System Based on Ensemble Learning. Forests 2021, 12, 217. [Google Scholar] [CrossRef]
- Nepal, U.; Eslamiat, H. Comparing YOLOv3, YOLOv4 and YOLOv5 for Autonomous Landing Spot Detection in Faulty UAVs. Sensors 2022, 22, 464. [Google Scholar] [CrossRef]
- Liu, S.; Qi, L.; Qin, H.; Shi, J.; Jia, J. Path Aggregation Network for Instance Segmentation. In Proceedings of the 2018 IEEE/CVF Conference on Computer Vision and Pattern Recognition (CVPR), Salt Lake City, UT, USA, 18–23 June 2018; Institute of Electrical and Electronics Engineers (IEEE): New York, NY, USA, 2018; pp. 8759–8768. [Google Scholar] [CrossRef]
- Chen, K.; Ouyang, W.; Loy, C.C.; Lin, D.; Pang, J.; Wang, J.; Xiong, Y.; Li, X.; Sun, S.; Feng, W.; et al. Hybrid Task Cascade for Instance Segmentation. In Proceedings of the 2019 IEEE/CVF Conference on Computer Vision and Pattern Recognition (CVPR), Long Beach, CA, USA, 15–20 June 2019; pp. 4969–4978. [Google Scholar] [CrossRef]
- Tan, M.; Pang, R.; Le, Q.V. EfficientDet: Scalable and Efficient Object Detection. In Proceedings of the 2020 IEEE/CVF Conference on Computer Vision and Pattern Recognition (CVPR), Seattle, WA, USA, 13–19 June 2020; pp. 10778–10787. [Google Scholar] [CrossRef]
- Ruder, S. An Overview of Gradient Descent Optimization Algorithms. arXiv 2016, arXiv:1609.04747. [Google Scholar]
- Stevens, E.; Antiga, L.; Viehmann, T. Deep Learning with PyTorch; Manning Publications Co.: Shelter Island, NY, USA, 2020. [Google Scholar]
- Paszke, A.; Gross, S.; Massa, F.; Lerer, A.; Bradbury, J.; Chanan, G.; Killeen, T.; Lin, Z.; Gimelshein, N.; Antiga, L.; et al. PyTorch: An Imperative Style, High-Performance Deep Learning Library. In Proceedings of the Advances in Neural Information Processing Systems 32: Annual Conference on Neural Information Processing Systems 2019, NeurIPS 2019, Vancouver, BC, Canada, 8–14 December 2019; Volume 32. [Google Scholar]
- Rezatofighi, H.; Tsoi, N.; Gwak, J.; Sadeghian, A.; Reid, I.; Savarese, S. Generalized Intersection Over union: A metric and a Loss for Bounding Box Regression. In Proceedings of the IEEE Conference on Computer Vision and Pattern Recognition 2019, Long Beach, CA, USA, 15–20 June 2019; pp. 658–666. [Google Scholar] [CrossRef]
- Liu, L.; Wang, R.; Xie, C.; Yang, P.; Wang, F.; Sudirman, S.; Liu, W. PestNet: An End-to-End Deep Learning Approach for Large-Scale Multi-Class Pest Detection and Classification. IEEE Access 2019, 7, 45301–45312. [Google Scholar] [CrossRef]














| ID | Name | Number of Samples |
|---|---|---|
| 1 | Aphid | 325 |
| 2 | Bees | 320 |
| 3 | Beetle | 322 |
| 4 | Caterpillar | 325 |
| 5 | Centipede | 325 |
| 6 | Cockroach | 325 |
| 7 | Damselfly | 329 |
| 8 | Grasshopper | 325 |
| 9 | Grub | 325 |
| 10 | Jassid | 325 |
| 11 | Katydid | 325 |
| 12 | Ladybugs | 292 |
| 13 | Locust | 325 |
| 14 | Mantis | 325 |
| 15 | Ant | 291 |
| 16 | Mealybugs | 258 |
| 17 | Root-borer | 265 |
| 18 | Snail | 301 |
| 19 | Spittlebugs | 332 |
| 20 | Termite | 210 |
| 21 | Thrips | 293 |
| 22 | Weevil | 305 |
| 23 | Whitefly | 278 |
| Model | Train Set | Test Set | Optimizer | LR (Learning Rate) | Momentum | Image-Size | Batch-Size | Epochs |
|---|---|---|---|---|---|---|---|---|
| YOLO-Lite | 4933 | 2113 | SGD [18] | 0.001 | 0.937 | 640 × 640 | 16 | 300 |
| YOLOv5n | 4933 | 2113 | SGD | 0.001 | 0.937 | 640 × 640 | 16 | 300 |
| YOLOv5s | 4933 | 2113 | SGD | 0.001 | 0.937 | 640 × 640 | 16 | 300 |
| YOLOv5m | 4933 | 2113 | SGD | 0.001 | 0.937 | 640 × 640 | 6 | 300 |
| YOLOv5l | 4933 | 2113 | SGD | 0.001 | 0.937 | 640 × 640 | 6 | 300 |
| YOLOv5x | 4933 | 2113 | SGD | 0.001 | 0.937 | 640 × 640 | 4 | 300 |
| YOLOv3 | 4933 | 2113 | SGD | 0.001 | 0.937 | 640 × 640 | 8 | 300 |
| YOLOR | 4933 | 2113 | SGD | 0.001 | 0.937 | 640 × 640 | 4 | 300 |
| Model | Number of Layers | Training Parameters |
|---|---|---|
| YOLO-Lite | 362 | 5,467,452 |
| YOLOv5n | 213 | 1,790,284 |
| YOLOv5s | 270 | 7,072,156 |
| YOLOv5m | 290 | 20,941,836 |
| YOLOv5l | 468 | 46,256,764 |
| YOLOv5x | 567 | 83,365,852 |
| YOLOv3 | 269 | 62,664,988 |
| YOLOR | 665 | 36,957,216 |
| Model | mAP 0.5% | mAP 0.5:0.95% | Precision% | Recall | F1-Score | GFLOPS | Weights Megabytes (MB) | Inference Time Millisecond (ms) |
|---|---|---|---|---|---|---|---|---|
| YOLO-Lite | 51.7 | 27.9 | 53.3 | 48.1 | 47.0 | 14.8 | 11.3 | 10.01 |
| YOLOv5n | 83.85 | 46.35 | 74.53 | 83.91 | 77.0 | 4.2 | 3.79 | 9.0 |
| YOLOv5s | 94.61 | 63.0 | 86.70 | 93.78 | 90.0 | 16.0 | 13.8 | 9.9 |
| YOLOv5m | 97.18 | 71.69 | 90.13 | 96.86 | 92.0 | 448.2 | 42.4 | 14.0 |
| YOLOv5l | 97.04 | 72.76 | 91.60 | 95.50 | 93.0 | 108.2 | 93.1 | 22.6 |
| YOLOv5x | 98.3 | 79.8 | 94.5 | 98.84 | 96.0 | 204.4 | 173.5 | 40.5 |
| YOLOv3 | 97.6 | 74.6 | 93.8 | 95.7 | 95.0 | 155.9 | 125.9 | 27.5 |
| YOLOR | 96.80 | 75.75 | 77.58 | 97.8 | - | 80.69 | 282 | 13.38 |
Publisher’s Note: MDPI stays neutral with regard to jurisdictional claims in published maps and institutional affiliations. |
© 2022 by the authors. Licensee MDPI, Basel, Switzerland. This article is an open access article distributed under the terms and conditions of the Creative Commons Attribution (CC BY) license (https://creativecommons.org/licenses/by/4.0/).
Share and Cite
Ahmad, I.; Yang, Y.; Yue, Y.; Ye, C.; Hassan, M.; Cheng, X.; Wu, Y.; Zhang, Y. Deep Learning Based Detector YOLOv5 for Identifying Insect Pests. Appl. Sci. 2022, 12, 10167. https://doi.org/10.3390/app121910167
Ahmad I, Yang Y, Yue Y, Ye C, Hassan M, Cheng X, Wu Y, Zhang Y. Deep Learning Based Detector YOLOv5 for Identifying Insect Pests. Applied Sciences. 2022; 12(19):10167. https://doi.org/10.3390/app121910167
Chicago/Turabian StyleAhmad, Iftikhar, Yayun Yang, Yi Yue, Chen Ye, Muhammad Hassan, Xi Cheng, Yunzhi Wu, and Youhua Zhang. 2022. "Deep Learning Based Detector YOLOv5 for Identifying Insect Pests" Applied Sciences 12, no. 19: 10167. https://doi.org/10.3390/app121910167
APA StyleAhmad, I., Yang, Y., Yue, Y., Ye, C., Hassan, M., Cheng, X., Wu, Y., & Zhang, Y. (2022). Deep Learning Based Detector YOLOv5 for Identifying Insect Pests. Applied Sciences, 12(19), 10167. https://doi.org/10.3390/app121910167

