A Theoretical Proposal for an Actively Controlled Ultra-Wideband Absorber Based on Vanadium Dioxide Hybrid Metamaterials
Abstract
1. Introduction
2. Design Methodology
3. Simulation Results and Discussion
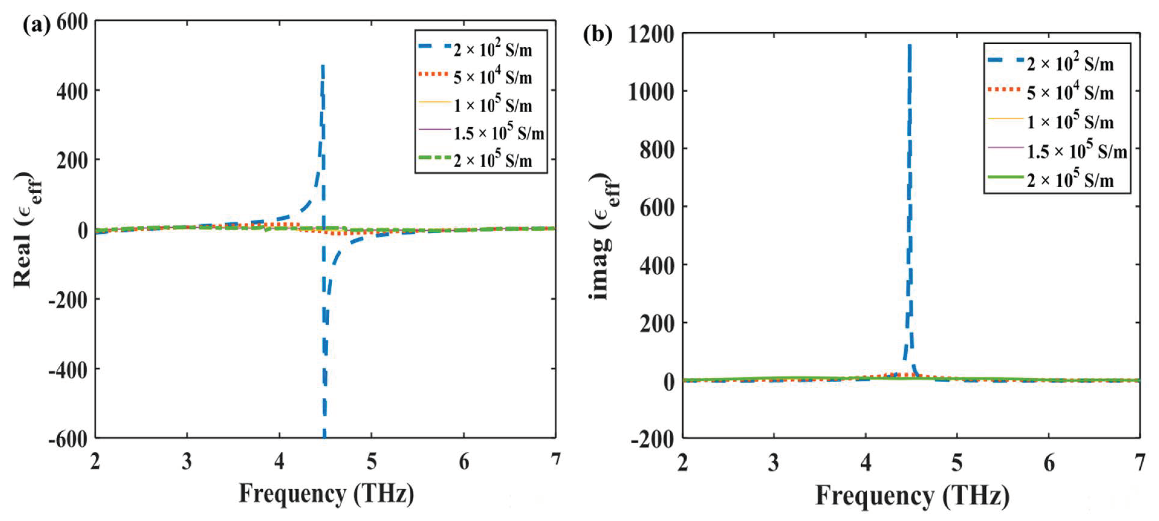
4. Calculation of Retrieved Effective Physical Parameters
5. Conclusions
Author Contributions
Funding
Institutional Review Board Statement
Informed Consent Statement
Data Availability Statement
Conflicts of Interest
References
- Yang, G.; Yan, F.; Du, X.; Li, T.; Wang, W.; Lv, Y.; Hou, Y. Tunable broadband terahertz metamaterial absorber based on vanadium dioxide. AIP Adv. 2022, 12, 045219. [Google Scholar] [CrossRef]
- Huang, K.C.; Wang, Z. Terahertz terabit wireless communication. IEEE Microw. Mag. 2011, 12, 108–116. [Google Scholar] [CrossRef]
- Federici, J.F.; Schulkin, B.; Huang, F.; Gary, D.; Barat, R.; Oliveira, F.; Zimdars, D. THz imaging and sensing for security applications-explosives, weapons and drugs. Semicond. Sci. Technol. 2005, 20, S266–S280. [Google Scholar] [CrossRef]
- Dean, P.; Mitrofanov, O.; Keeley, J.; Kundu, I.; Li, L.; Linfield, E.H.; Davies, A.G. Apertureless near-field terahertz imaging using the self-mixing effect in a quantum cascade laser. Appl. Phys. Lett. 2016, 108, 091113. [Google Scholar] [CrossRef]
- Chiang, Y.; Yang, C.; Yang, Y.; Pan, C.; Yen, T. An ultrabroad terahertz bandpass filter. Appl. Phys. Lett. 2011, 99, 191909. [Google Scholar] [CrossRef]
- Xiong, R.; Li, J. Double layer frequency selective surface for Terahertz bandpass filter. J. Infrared Millim. Terahertz Waves 2018, 39, 1039–1046. [Google Scholar]
- Li, X.; Yang, L.; Hu, C.; Luo, X.; Hong, M. Tunable bandwidth of band-stop filter by metamaterial cell coupling in optical frequency. Opt. Express 2011, 19, 5283–5289. [Google Scholar] [CrossRef]
- Cong, L.; Tan, S.; Yahiaoui, R.; Yan, F.; Zhang, W.; Singh, R. Experimental demonstration of ultrasensitive sensing with terahertz metamaterial absorbers: A comparison with the metasurfaces. Appl. Phys. Lett. 2015, 106, 031107. [Google Scholar] [CrossRef]
- Arik, K.; AbdollahRamezani, S.; Khavasi, A. Polarization insensitive and broadband terahertz absorber using graphene disks. Plasmonics 2017, 12, 393–398. [Google Scholar] [CrossRef]
- Alaee, R.; Farhat, M.; Rockstuhl, C.; Lede, F. A perfect absorber made of a graphene micro-ribbon metamaterial. Opt. Express 2012, 20, 28017–28024. [Google Scholar] [CrossRef]
- Cong, L.; Cao, W.; Zhang, X.; Tian, Z.; Gu, J.; Singh, R.; Han, J.; Zhang, W. A perfect metamaterial polarization rotator. Appl. Phys. Lett. 2013, 103, 171107. [Google Scholar] [CrossRef]
- Liu, X.; Tyler, T.; Starr, T.; Starr, A.F.; Jokerst, N.M.; Padilla, W.J. Taming the Blackbody with Infrared Metamaterials as Selective Thermal Emitters. Phys. Rev. Lett. 2011, 107, 045901. [Google Scholar] [CrossRef] [PubMed]
- Alves, F.; Kearney, B.; Grbovic, D.; Karunasiri, G. Narrowband terahertz emitters using metamaterial films. Opt. Express 2012, 20, 21025–21032. [Google Scholar] [CrossRef] [PubMed]
- Atwater, H.A.; Polman, A. Plasmonics for improved photovoltaic devices. Nat. Mater. 2010, 9, 205–213, Erratum in Nat. Mater. 2010, 9, 865. [Google Scholar] [CrossRef] [PubMed]
- Wang, Y.; Sun, T.; Paudel, T.; Zhang, Y.; Ren, Z.; Kempa, K. Metamaterial-plasmonic absorber structure for high efficiency amorphous silicon solar cells. Nano Lett. 2012, 12, 440–445. [Google Scholar] [CrossRef] [PubMed]
- Ni, X.; Wong, Z.J.; Mrejen, M.; Wang, Y.; Zhang, X. An ultrathin invisibility skin cloak for visible light. Science 2015, 349, 1310–1314. [Google Scholar] [CrossRef] [PubMed]
- Schurig, D.; Mock, J.J.; Justice, B.J.; Cummer, S.A.; Pendry, J.B.; Starr, A.F.; Smith, D.R. Metamaterial electromagnetic cloak at microwave frequencies. Science 2006, 314, 977–980. [Google Scholar] [CrossRef] [PubMed]
- Landy, N.I.; Sajuyigbe, S.; Mock, J.J.; Smith, D.R.; Padilla, W.J. Perfect metamaterial absorber. Phys. Rev. Lett. 2008, 100, 207402. [Google Scholar] [CrossRef]
- Duan, G.; Schalch, J.; Zhao, X.; Zhang, J.; Averitt, R.D.; Zhang, X. Identifying the perfect absorption of metamaterial absorbers. Phys. Rev. B 2018, 97, 035128. [Google Scholar] [CrossRef]
- Ma, Y.; Chen, Q.; Grant, J.; Saha, S.C.; Khalid, A.; Cumming, D.R. A terahertz polarization insensitive dual band metamaterial absorber. Opt. Lett. 2011, 36, 945–947. [Google Scholar] [CrossRef]
- Shen, X.; Yang, Y.; Zang, Y.; Gu, J.; Han, J.; Zhang, W.; Cui, T.J. Triple-band terahertz metamaterial absorber: Design, experiment, and physical interpretation. Appl. Phys. Lett. 2012, 101, 154102. [Google Scholar] [CrossRef]
- Hendrickson, J.; Guo, J.; Zhang, B.; Buchwald, W.; Soref, R. Wideband perfect light absorber at midwave infrared using multiplexed metal structures. Opt. Lett. 2012, 37, 371–373. [Google Scholar] [CrossRef] [PubMed]
- Cheng, C.; Abbas, M.N.; Chiu, C.; Lai, K.; Shih, M.; Chang, Y. Wide-angle polarization independent infrared broadband absorbers based on metallic multi-sized disk arrays. Opt. Lett. 2012, 20, 10376–10381. [Google Scholar] [CrossRef]
- Shan, Y.; Chen, L.; Shi, C.; Cheng, Z.; Zang, X.; Xu, B.; Zhu, Y. Ultrathin flexible dual band terahertz absorber. Opt. Commun. 2015, 350, 63–70. [Google Scholar] [CrossRef]
- Liu, S.; Chen, H.; Cui, T.J. A broadband terahertz absorber using multi-layer stacked bars. Appl. Phys. Lett. 2015, 106, 151601. [Google Scholar] [CrossRef]
- Li, W.; Wu, T.; Wang, W.; Guan, J.; Zhai, P. Integrating non-planar metamaterials with magnetic absorbing materials to yield ultra-broadband microwave hybrid absorbers. Appl. Phys. Lett. 2014, 104, 022903. [Google Scholar] [CrossRef]
- Deng, H.; Stan, L.; Czaplewski, D.A.; Gao, J.; Yang, X. Broadband infrared absorbers with stacked double chromium ring resonators. Opt. Express 2017, 25, 28295–28304. [Google Scholar] [CrossRef]
- Cheng, Y.; Gong, R.; Cheng, Z. A photoexcited broadband switchable metamaterial absorber with polarization insensitive and wide-angle absorption for terahertz waves. Opt. Commun. 2016, 361, 41–46. [Google Scholar] [CrossRef]
- Jin, X.; Wang, F.; Huang, S.; Xie, Z.; Li, L.; Han, X.; Chen, H.; Zhou, H. Coherent perfect absorber with independently tunable frequency based on multilayer graphene. Opt. Commun. 2019, 446, 44–50. [Google Scholar] [CrossRef]
- Shin, J.; Park, K.H.; Ryu, H.C. Electrically controllable terahertz square-loop metamaterial based on VO2 thin film. Nanotechnology 2016, 27, 195202. [Google Scholar] [CrossRef]
- Wang, R.; Li, L.; Liu, J.; Yan, F.; Tian, F.; Tian, H.; Zhang, J. Weimin Sun Triple-band tunable perfect terahertz metamaterial absorber with liquid crystal. Opt. Express 2017, 25, 32280–32289. [Google Scholar] [CrossRef]
- Hu, F.; Wang, H.; Zhang, X.; Xu, X.; Jiang, W.; Rong, Q.; Zhao, S.; Jiang, M.; Zhang, W.; Han, J. Electrically triggered tunable 400 terahertz band-pass filter based on VO2 hybrid metamaterial. IEEE J. Sel. Top. Quantum Electron. 2019, 25, 4700207. [Google Scholar] [CrossRef]
- Li, Q.; Liu, S.; Zhang, X.; Wang, S.; Chen, T. Electromagnetically induced transparency in terahertz metasurface composed of meanderline and U-shaped resonators. Opt. Express 2020, 28, 8792–8801. [Google Scholar] [CrossRef]
- Liu, L.; Kang, L.; Mayer, T.S.; Werner, D.H. Hybrid metamaterials for electrically triggered multifunctional control. Nat. Commun. 2016, 7, 13236. [Google Scholar] [CrossRef]
- Wen, Q.; Zhang, H.; Yang, Q.; Xie, Y.; Chen, K.; Liu, Y. Terahertz metamaterials with VO2 cut-wires for thermal tunability. Appl. Phys. Lett. 2010, 97, 021111. [Google Scholar] [CrossRef]
- Lappalainen, J.; Heinilehto, S.; Jantunen, H.; Lantto, V. Electrical and optical properties of metal-insulator-transition VO2 thin films. J. Electroceramics 2009, 22, 73–77. [Google Scholar] [CrossRef]
- Liu, J.; Fan, L. Development of a tunable terahertz absorber based on temperature control. Microw. Opt. Technol. Lett. 2020, 62, 1681–1685. [Google Scholar]
- Choi, S.B.; Kyoung, J.S.; Kim, H.S.; Park, H.R.; Park, D.J.; Kim, B.J.; Ahn, Y.H.; Rotermund, F.; Kim, H.T.; Ahn, K.J.; et al. Nanopattern enabled terahertz all-optical switching on vanadium dioxide thin film. Appl. Phys. Lett. 2011, 98, 071105. [Google Scholar] [CrossRef]
- Zhang, Y.; Qiao, S.; Sun, L.; Shi, Q.; Huang, W.; Li, L.; Yang, Z. Photoinduced active terahertz metamaterials with nanostructured vanadium dioxide film deposited by sol-gel method. Opt. Express 2014, 22, 11070–11078. [Google Scholar] [CrossRef]
- Song, Z.; Wang, K.; Li, J.; Liu, Q.H. Broadband tunable terahertz absorber based on vanadium dioxide metamaterials. Opt. Express 2018, 26, 7148–7154. [Google Scholar] [CrossRef] [PubMed]
- Wang, S.; Cai, C.; You, M.; Liu, F.; Wu, M.; Li, S.; Bao, H.; Kang, L.; Werner, D.H. Vanadium dioxide based broadband THz metamaterial absorbers with high tunability: Simulation study. Opt. Express 2019, 27, 19436–19447. [Google Scholar] [CrossRef]
- Song, Z.; Wei, M.; Wang, Z.; Cai, G.; Liu, Y.; Zhou, Y. Terahertz absorber with reconfigurable bandwidth based on isotropic 421 vanadium dioxide metasurfaces. IEEE Photon. J. 2019, 11, 4600607. [Google Scholar] [CrossRef]
- Bai, J.; Zhang, S.; Fan, F.; Wang, S.; Sun, X.; Miao, Y.; Chang, S. Tunable broadband THz absorber using vanadium dioxide metamaterials. Opt. Commun. 2019, 452, 292–295. [Google Scholar] [CrossRef]
- Wang, T.; Zhang, Y.; Zhang, H.; Cao, M. Dual-controlled switchable broadband terahertz absorber based on a graphene-vanadium dioxide metamaterial. Opt. Mater. Express 2020, 10, 369. [Google Scholar] [CrossRef]
- Dao, R.; Kong, X.; Zhang, H.; Su, X. A tunable broadband terahertz metamaterial absorber based on the vanadium dioxide. Optik 2019, 180, 619–625. [Google Scholar] [CrossRef]
- Dong, X.; Luo, X.; Zhou, Y.; Lu, Y.; Hu, F.; Xu, X.; Li, G. Switchable broadband and wide-angular terahertz asymmetric transmission based on a hybrid metal-VO2 metasurface. Opt. Express 2020, 28, 30675–30685. [Google Scholar] [CrossRef]
- Dong, X.; Liu, C.; Huang, Y.; Hu, F.; Jin, Y.E.Y.; Zhou, Y.; Xu, X. Angular-dependent circular dichroism of tai chi chiral metamaterials in terahertz region. Appl. Opt. 2020, 59, 3686–3691. [Google Scholar] [CrossRef] [PubMed]
- Liu, H.; Wong, L.; Wang, S.; Tang, S.; Zhang, X. Ultrafast insulator–metal phase transition in vanadium dioxide studied using optical pump–terahertz probe spectroscopy. J. Phys. Condens. Matter 2012, 24, 415604. [Google Scholar] [CrossRef]
- Otto, M.R.; de Cotret, P.L.R.; Valverde-Chavez, D.A.; Tiwari, K.L.; Emond, N.; Chaker, M.; Cooke, D.G.; Siwick, B.J. How optical excitation controls the structure and properties of vanadium dioxide. Proc. Natl. Acad. Sci. USA 2019, 116, 450–455. [Google Scholar] [CrossRef] [PubMed]
- Numan, A.B.; Mohammad, S.S. Extraction of material parameters for metamaterials using a full-wave simulator [education column]. IEEE Antennas Propag. Mag. 2013, 55, 202–211. [Google Scholar] [CrossRef]
- Chen, X.; Grzegorcezyk, T.M.; Wu, B.; Pacheco, J., Jr. Kong Robust Method to Retrieve the Constitutive Effective Parameters of Metamaterials. Phys. Rev. E 2004, 70, 016608. [Google Scholar] [CrossRef] [PubMed]
- Zhou, Z.; Song, S. Switchable bifunctional metamaterial for terahertz anomalous reflection and broadband absorption. Phys. Scr. 2021, 96, 115506. [Google Scholar] [CrossRef]
- Huang, J.; Li, J.; Yang, Y.; Li, J.; Li, J.; Zhang, Y.; Yao, J. Broadband terahertz absorber with a flexible, reconfigurable performance based on hybrid-patterned vanadium dioxide metasurfaces. Opt. Express 2020, 28, 17832–17840. [Google Scholar] [CrossRef] [PubMed]
- Abdulkarim, Y.I.; Awl, H.N.; Muhammadsharif, F.F.; Bakır, M.; Alkurt, F.Ö.; Altıntaş, O.; Dong, J.; Saeed, S.R.; Taouzari, M.; Karaaslan, M.; et al. A vanadium 446 dioxide-based metamaterial with quatrefoil and circle loaded structure on flexible polyamide substrate for terahertz applications. Front. Phys. 2022, 10, 968310. [Google Scholar] [CrossRef]
- Xu, Z.; Ferraro, D.; Zaltron, A.; Galvanetto, N.; Martucci, A.; Sun, L.; Yang, P.; Zhang, Y.; Wang, Y.; Liu, Z.; et al. Optical detection of the susceptibility tensor in two-dimensional crystals. Commun. Phys. 2021, 4, 215. [Google Scholar] [CrossRef]













| References | Absorption Bandwidth (THz) | Absorptance | Tunable Range (%) | Material |
|---|---|---|---|---|
| [39] | 0.34 | >90% | 30–100 | VO2 |
| [40] | 0.66 | >90% | 30–98 | VO2 |
| [41] | 0.53 | >90% | 5–100 | VO2 |
| [42] | 1.24 | >90% | 15–96 | VO2 |
| [43] | 0.56 | >90% | 9–99.3 | VO2 and graphene |
| [44] | 1.24 | >90% | 5–100 | VO2 |
| [45] | 0.89, 0.78 | >80% | 20–90 44–85 | VO2 |
| [52] | 1.79 | >90% | 20–99 | VO2 and graphene |
| [53] | 2.45 | >90% | 4–100 | VO2 |
| [54] | 1.07 | >90% | 20–100 | VO2 |
| Proposed work | 5.7 − 2.7 = 3 | >90% | 4–100 | VO2 |
Publisher’s Note: MDPI stays neutral with regard to jurisdictional claims in published maps and institutional affiliations. |
© 2022 by the authors. Licensee MDPI, Basel, Switzerland. This article is an open access article distributed under the terms and conditions of the Creative Commons Attribution (CC BY) license (https://creativecommons.org/licenses/by/4.0/).
Share and Cite
Qureshi, U.U.R.; Khan, M.I.; Hu, B. A Theoretical Proposal for an Actively Controlled Ultra-Wideband Absorber Based on Vanadium Dioxide Hybrid Metamaterials. Appl. Sci. 2022, 12, 10164. https://doi.org/10.3390/app121910164
Qureshi UUR, Khan MI, Hu B. A Theoretical Proposal for an Actively Controlled Ultra-Wideband Absorber Based on Vanadium Dioxide Hybrid Metamaterials. Applied Sciences. 2022; 12(19):10164. https://doi.org/10.3390/app121910164
Chicago/Turabian StyleQureshi, Ubaid Ur Rahman, Muhammad Ismail Khan, and Bin Hu. 2022. "A Theoretical Proposal for an Actively Controlled Ultra-Wideband Absorber Based on Vanadium Dioxide Hybrid Metamaterials" Applied Sciences 12, no. 19: 10164. https://doi.org/10.3390/app121910164
APA StyleQureshi, U. U. R., Khan, M. I., & Hu, B. (2022). A Theoretical Proposal for an Actively Controlled Ultra-Wideband Absorber Based on Vanadium Dioxide Hybrid Metamaterials. Applied Sciences, 12(19), 10164. https://doi.org/10.3390/app121910164

