Next Article in Journal
A High-Efficiency Dual-Band Linear-to-Circular Polarization Converter Based on Rectangular-Slot Reflective Metasurface
Previous Article in Journal
Machine Learning Techniques and Systems for Mask-Face Detection—Survey and a New OOD-Mask Approach
 
 
Font Type:
Arial Georgia Verdana
Font Size:
Aa Aa Aa
Line Spacing:
Column Width:
Background:
Article

A Fusion Multi-Strategy Marine Predator Algorithm for Mobile Robot Path Planning

1
College of Big Data & Information Engineering, Guizhou University, Guiyang 550025, China
2
School of Public Administration, Guizhou University, Guiyang 550025, China
*
Authors to whom correspondence should be addressed.
Appl. Sci. 2022, 12(18), 9170; https://doi.org/10.3390/app12189170
Submission received: 24 July 2022 / Revised: 1 September 2022 / Accepted: 8 September 2022 / Published: 13 September 2022
(This article belongs to the Section Computing and Artificial Intelligence)

Abstract

:
Path planning is a key technology currently being researched in the field of mobile robotics, but traditional path planning algorithms have complex search spaces and are easily trapped in local minima. To solve the above problems and obtain the global optimal path of the mobile robot, a fusion multi-strategy marine predator algorithm (FMMPA) is proposed in this paper. The algorithm uses a spiral complex path search strategy based on Archimedes’ spiral curve for perturbation to expand the global exploration range, enhance the global search ability of the population and strengthen the steadiness of the algorithm. In addition, nonlinear convex decreasing weights are introduced to balance the ability of the algorithm for global exploration and local exploitation to achieve dynamic updating of the predator and prey population positions. At the same time, the golden sine algorithm idea is combined to update the prey position, narrow the search range of the predator population, and improve the convergence accuracy and speed. Furthermore, the superiority of the proposed FMMPA is verified by comparison with the original MPA and several well-known intelligent algorithms on 16 classical benchmark functions, the Wilcoxon rank sum test and part of the CEC2014 complex test functions. Finally, the feasibility of FMMPA in practical application optimization problems is verified by testing and analyzing the mobile robot path planning application design experiments.

1. Introduction

A mobile robot is a kind of mechanical device that can perform work automatically [1]. It can act according to the scheme made by artificial intelligence technology [2]. In harsh environments, mobile robots can replace humans in performing specific tasks. With the continuous improvement of hardware equipment, mobile robots have been widely used in various fields, such as industry, medicine, services, national defense and space exploration [3,4,5]. Path planning has always been a hot topic in the field of mobile robot technology research. The level of planning represents the intelligence level of a robot to a certain extent [6]. Path planning aims to find an optimal path from the starting to the end point, and the criteria for this path include the shortest path length, no obstacle collisions in the path, and the best safety [7]. The essence is to obtain the optimal or feasible solution under several constraints [8].
Mobile robot path planning problems can be divided into two categories: static known environments and dynamic unknown environments. Static path planning is named global path planning, while dynamic path planning is named local path planning [9]. The robot has a priori information about the environment in global path planning. In local path planning, the robot only has information about the start point, target point and part of the environment. This paper mainly studies the known static path planning in the global environment. The main steps of path planning are environment modelling, path search and path optimization [10]. Path search is the core of the whole mobile robot path planning problem, and the performance of the search algorithm directly determines the path planning results. With the development of mobile robot research, several scholars have proposed many effective methods to solve robot path planning problems. Zhao et al. proposed an improved artificial potential field and improved the repulsive function combined with the fuzzy inference system to make robots safely and quickly find a collision-free path [11]. Song et al. combined the method of corner detection in image processing to determine the key location for visual coverage and address the path planning problem by connecting these observation locations [12]. Zheng et al. proposed an improved deep reinforcement learning algorithm based on PTZ image information to solve the problems of poor exploration ability in patrol robots and improved reward and punishment functions to optimize the robot path [13]. Although the traditional methods can also achieve better results, their disadvantages are not negligible, such as the problem of unreachable paths in artificial potential field methods, and the problem of excessive computation in image processing and deep reinforcement learning methods. Traditional path planning algorithms have an exponential increase in computational complexity in complex environments, and the algorithms tend to fall into a local minima. Therefore, a computationally simple, efficient, and global search-competent algorithm is needed instead of the original path planning method.
In recent years, meta-heuristic algorithms have been favored by scholars and have achieved better results due to their better optimization ability. The meta-heuristic algorithms proposed by imitating the behavioral characteristics or evolutionary behavior of natural biological populations provide new solutions to complex global optimization problems. Meta-heuristic algorithms have high flexibility, robustness, and high operability, which greatly weaken the dependence on mathematical models and have a strong global search capability. Fatin et al. conducted a hybridized particle swarm optimization-modified frequency bat algorithm that minimizes distance and follows path smoothness criteria, the method generates an optimal feasible path even in complex dynamic environments [14]. Sunil et al. combined an improved artificial bee colony algorithm and evolutionary programming optimization algorithm and changed the selection conditions for the best food point to decrease the path length, path planning time, or search cost [15]. Although the improved algorithms have better performance, they also have problems with complex search mechanisms and more experimental parameters. Due to these problems being difficult to solve in the above algorithms, the marine predator algorithm (MPA) has received special attention. The MPA is a meta-heuristic algorithm proposed by professor Afshin in 2020, which is inspired by two strategies in foraging: Lévy and Brownian motions [16]. Due to its advantages of simplicity, few parameters, and easy application to practical engineering problems, MPA is widely used in various fields, such as image segmentation [17], electricity generation from solar photovoltaic [18], and identifying photovoltaic models parameters [19]. For example, Mohamed et al. combined the linearly increased worst solutions improvement strategy with MPA to overcome the image segmentation [20]. Abdullah et al. proposed an improved marine predator optimization algorithm for solving the combined heat and power (CHP) economic dispatch problem [21]. However, few scholars have proposed an improved MPA to solve the mobile robot path planning problem. Therefore, this paper proposes the FMMPA, which has the advantages of high solving accuracy, high robustness and low probability of falling into a local optima, which is suitable for solving the problem in mobile robot path planning and improving the mobile robot computing power in path planning. In summary, the main contributions of this paper are as follows:
  • To solve the problem of the distance (minimum path length) from mobile robot path planning, a fusion multi-strategy marine predator algorithm (FMMPA) was proposed.
  • An intensified marine predator algorithm called FMMPA, combined with a spiral complex path search strategy based on Archimedes’ spiral curve, nonlinear convex decreasing weights and the golden sine algorithm, is developed to enhance the ability of the original MPA to handle complex optimization applications. The performance of the FMMPA is evaluated on 16 benchmark test functions, the Wilcoxon rank sum test and part of the CEC2014 test functions.
  • The proposed FMMPA is applied to solve the optimal problem of mobile robot path planning in three normal environments of different sizes and two high complexity environments. The results are compared with those of metaheuristic algorithms in the literature.
The remainder of the paper is organized as follows: Section 2 reviews the original MPA. Section 3 describes the details of the proposed FMMPA, along with the mathematical model and computational process. Section 4 analyses the experimental results of the proposed FMMPA. Section 5 describes the application of mobile robot path planning based on FMMPA and experimental results compared with other metaheuristic algorithms. The conclusion of this work is provided in Section 6.

2. Marine Predator Algorithm

The marine predator algorithm is the optimal foraging rule in the marine ecosystem followed by the simulated predators, where the initial prey position is evenly distributed in the search space. The initialization formula is as follows:
X 0 = X m i n + r a n d X m a x X m i n
where Xmin and Xmax are the lower and upper bounds for variables, and rand is a uniform random vector in the range of 0 to 1.
The initialization creates the initial prey matrix P0. P0 is shown as follows:
P 0 = X 1 , 1 X 1 , 2 X 1 , d X 2 , 1 X 2 , 2 X 2 , d X n , 1 X n , 2 X n , d n × d
The prey individual with the best fitness in P0 is selected as the top predator, and constructed as the elite matrix E0:
E 0 = X I 1 , 1 X I 1 , 2 X I 1 , d X I 2 , 1 X I 2 , 2 X I 2 , d X I n , 1 X I n , 2 X I n , d n × d
where XI represents the top predator position vector, n represents the population size, and d is the number of dimensions. While the predator is searching for prey, the prey is also looking for its own food, and both the predator and the prey are search agents. The elite matrix is updated after each iteration and replaced by the top predator with higher fitness.
The MPA optimization process is divided into three main phases that consider different velocity ratios of prey and predator. It combines Lévy and Brownian motions cross-seeking and simulates the entire life of the predator and prey population:
In the high-velocity ratio stage, the prey is moving faster than the predator, and the best strategy is that the predator stays still and the prey moves through Brownian motion. This stage occurs in the initial iterations of optimization. The mathematical model is as follows:
W h i l e   I t e r < 1 3 M a x _ I t e r
s i = R B E i R B P i , i = 1 , 2 , , n
P i = P i + p R s i
where Iter is the current iteration and Max_Iter is the maximum iteration.   s i represents the prey search step, and   R B is a vector containing random numbers based on a normal distribution representing the Brownian motion. The notation is entry-wise multiplications. p = 0.5 is a constant number, and R is the uniform random number vector in [0, 1].
In the equal-velocity ratio stage, the predator and prey move at similar or the same pace. This phase is the middle of the iteration, and since both prey and predator perform foraging behavior, the population is divided equally into two parts; half of the population is designated for exploitation to perform Lévy and another half for exploration to practice Brownian motion, with the following mathematical model:
W h i l e 1 3 M a x _ I t e r < I t e r < 2 3 M a x _ I t e r
s i = R L E i R L P i ,       i = 1 , 2 , , n / 2 R B R B E i P i ,       i = n / 2 , , n
P i = P i + p × R s i ,             i = 1 , 2 , , n / 2 E i + p × C F s i ,       i = n / 2 , , n
C F = 1 I t e r M a x _ I t e r 2 × I t e r M a x _ I t e r
where   R L is a vector of random numbers based on the Lévy distribution representing the Lévy movement. CF is an adaptive parameter to control the step size for predator movement.
In the low-velocity ratio stage, the predator moves much faster than the prey. This stage is the last phase of the optimization process, which is mostly used for local exploitation of the algorithm. Due to the low prey movement speed, the best strategy for the predator in this stage is Lévy. The mathematical model is as follows:
W h i l e   I t e r > 2 3 M a x _ I t e r
s i = R L R L E i P i , i = 1 , 2 , , n
P i = E i + p × C F s i
In addition, environmental issues such as eddy formation or Fish Aggregating Devices (FADs) also affect the behavior of predators, and these phenomena are considered local optima, where pf = 0.2 is the probability agents of the FADs effect to avoid stagnation in local optima during the optimization process. The mathematically presented as follows:
P i = P i + C F X m i n + R X m a x X m i n U ,     r 0.2 P i + p f 1 r + r × P r 1 P r 2 ,     r > 0.2
where   U is a randomly binary vector in [0, 1], and   P r 1 and   P r 2 denote two individuals randomly selected from the prey population. The algorithm has a marine memory function that starts after implementing the FADs effect, and the matrix is evaluated for fitness and updates the elite matrices with better fitness.

3. Fusion Multi-Strategy Marine Predator Algorithm

The initialization of MPA with random factors into the high-velocity ratio stage, which greatly reduces the optimization efficiency and robustness, and is prone to poor population diversity, leading to blind search and slow convergence in the initial searching. The parallel optimization of evenly divided populations in the intermediate phase of optimization restricts the population exchange, resulting in a limited search and leading to an imbalance between exploration and exploitation. Successful prey foraging is regarded as predator behavior, the prey is strongly assimilated, and FADs effect makes it difficult to reduce the probability of a local optimum.

3.1. Archimedes Spiral Search Strategy

Archimedes’ spiral is a trajectory generated by a point moving outward at a uniform motion on a ray, while the ray rotates at a constant velocity [22]. Archimedes’ spiral complex search strategy is introduced in the high-velocity ratio stage, and the prey moves at high velocity according to the direction of the strategy to avoid blind search in the initial iterations of optimization. We enhanced the search ability of the prey population and accomplished the effective expansion of the global exploration domain, weakening the problem of poor population diversity caused by the initialization of the population by taking random factors. We sped up the early convergence and, at the same time, enhanced the prey individual optimal ergodicity. Through many experiments using Archimedes’ spiral parameter equation, an unequal parameter equation similar to Archimedes’ spiral is obtained as shown in Equation (12), and the spiral equation is shown in Figure 1. The mathematical model is as follows:
s p 1 = l 3 a b 2 c o s 2 π l s p 2 = l 3 a b 2 s i n 2 π l s p = s p 1 + s p 2 / 2
a = 1 I t e r M a x _ I t e r
l = a 1 r a n d + 1
where b is a constant that defines the shape of this spiral, and b = 1 is taken in this paper. a is a spiral operator that decreases linearly in the [−2, −1], though the value of a can adaptively adjust the prey position to update the rotational angular velocity of the spiral search path. The smaller the value of a is, the larger the angular velocity, which guides the population to approach the optimal solution. l is a random angular velocity value based on a, approximated to the optimal solution in the optimal region based on a with random steps. The model of the Archimedes spiral search strategy position update is shown in Equation (15):
P n e w t + 1 = s p P i t + p R s i
where sp denotes the Archimedes spiral coefficient, and p is the step control factor.

3.2. Nonlinear Convex Decreasing Weight

In the equal-velocity ratio stage, both prey and predators are foraging, and the populations are divided into parallel architectures that perform exploitation and exploration simultaneously. However, the communication of populations is limited by the parallel architectures, and the imbalance of exploitation and exploration leads to the algorithm obtaining premature convergence. Therefore, a nonlinear convex weighting strategy is proposed in this paper. Convex decreasing weights w are introduced in the position update of prey exploitation and predator exploration, and they nonlinearly decrease with the increase in iterations. The predator position receives a large weight that ensures the search domain broadly in the intermediate phase of optimization. The weights decrease drastically in the late phase, allowing the exploitation performance to be enhanced gradually and as far as possible to accurately search around the optimal individual. To balance the global exploration and local exploitation capabilities. The model for the nonlinear convex decreasing weights w is shown in Equation (16):
w = w m a x w m i n 1 I t e r M a x _ I t e r η 1 η + w m i n
where wmax and wmin are the preset maximum and minimum values, respectively, and η is a regulating factor. After several experiments, the experimental results are optimal when wmax = 0.5, wmin = 0.05, and η = 3. The comparison chart of different η values is shown in Figure 2.
The fixed step size of MPA makes the search agents vary in the same proportion continuously, which results in a single search mode and reduced population diversity. In this paper, a dynamic step control factor p is proposed that changes adaptively with the iterations. The step-size factor is maintained at a large value to ensure the global optimal of FMMPA in the initial iteration [23], so that the search agents have a strong exploration ability and update the search space constantly. The algorithm is guided to approach the globally optimal individual with a small value of p in the late iteration. Reduce the convergence of populations. The mathematical model for the dynamic step control factor p is shown in (17):
p = p m a x I t e r M a x _ I t e r p m a x p m i n
where pmax and pmin are the bounds of p, which take the values of [0.05, 0.5]. The model of position updates that the nonlinear convex decreasing weight strategy as shown in Equations (18) and (19):
P n e w t + 1 = w P i t + p R s i ,     i n / 2
P n e w t + 1 = w E i t + p C F s i ,     i > n / 2
where w is the nonlinear convex decreasing weight and p is the dynamic step control factor. Position updating with w can ensure population diversity, and the global search ability of the predator is enhanced in the initial iteration. p makes the prey have strong local exploitation and accelerates the convergence. This strategy can balance global exploration and local exploitation even in practical problems.

3.3. Golden Sine Position Update Strategy

The golden sine algorithm (Golden-SA) is a new intelligent algorithm proposed by Tanyildizi et al. in 2017 [24], which is inspired by the periodic variation of the sine function in trigonometric functions. This algorithm has the advantages of fast optimization speed and strong robustness of the Golden-SA search according to the relationship between the sine function and the unit circle combined with the golden partition coefficient. It uses the sine function to scan the search space that is simulated by the unit circle, and introduces the golden ratio coefficient to narrow the search range while traversing the optimal solution region, which enhances the local optimization and accelerates the convergence accuracy [25]. The core of Golden-SA is the location update method, and its location update mathematical model is shown in Equation (20):
P n o v e l t + 1 = P i t s i n R 1 + R 2 s i n R 1 x 1 X i t x 2 P i t
x 1 = π + 2 π ( 1 τ ) x 2 = π + 2 π τ τ = 5 1 / 2
where P novel t + 1 is the position after agent Pi completes a search. P i t is the current position of the agent, R1 is a random number between [0, 2π], and R2 is a random number between [0, π]. X i t is the target position and is the global optimal position in Golden-SA. x1 and x2 are coefficients obtained by the golden section method, which can reduce the search space of the agents and improve the search efficiency of the agents. The coefficients allow the agents to move from the current position to the target position. τ is the golden ratio coefficient.
Although the Gold-SA strategy can improve the search accuracy of the algorithm, it cannot directly determine whether the resulting new individual position is superior to the original. Therefore, the greedy strategy is proposed to compare the old and new individual fitness values before deciding whether to update the individual positions. The search performance the of algorithm is improved by obtaining better solutions continuously [26]. The mathematical model of the greedy strategy is shown in Equation (22)
P n e w t + 1 = P n o v e l t + 1       f ( P i t + 1 ) > f ( P n o v e l t + 1 ) P i t + 1       f ( P i t + 1 ) f ( P n o v e l t + 1 )
At the global position update of the MPA, the Gold-SA strategy causes the top predator to navigate its neighborhood to avoid falling into a local optimum. At the same time, the top predator occupies the current fitness position, which guides other predators to the optimal solution, so that the optimal location information is transferred rapidly between the predators, and accelerates the convergence speed.

3.4. Detailed Steps for the Fusion Multi-Strategy Marine Predator Algorithm

By introducing the above three strategies into MPA, we can effectively improve the convergence speed and convergence accuracy of the algorithm, and balance the global exploration and local exploitation while enhancing the performance of the original MPA. Figure 3 shows the implementation process of FMMPA.
The pseudo-code of the proposed FMMPA is shown in Algorithm 1.
Algorithm 1 Pseudo-code of FMMPA
1   
Initialize the population to construct the Prey matrix
2   
Calculate the individual fitness and selected fitness optimal individual construct Elite matrix
3   
Define   CF ,   R L and R B
4   
if   Iter < 1 3 Max_Iter
5   
Updated prey based on Equation (15)
6   
else   if   1 3 Max_Iter < Iter < 2 3 Max_Iter
7   
if i < n/2
8   
Updated prey based on Equation (18)
9   
else n/2 <in
10 
Updated prey based on Equation (19)
11 
end
12 
else   if   Iter > 2 3 Max_Iter
13 
Updated prey based on Equation (10)
14 
end
15 
Calculate the fitness and update the Elite matrix
16 
Accomplish memory saving
17 
Applying FADs effect and update based on Equation (11)
18 
Updated prey based on Equation (22)
19 
Iter = Iter + 1
end while
Return the global optimal position and the optimum fitness value
Equation (15) is a position update formula incorporating the Archimedes spiral search strategy. Equations (18) and (19) are position update formulas incorporating the nonlinear convex decreasing weight strategy. Equation (22) is the formula with the golden sine position update strategy.

4. Analysis of Simulation Experiment Results

4.1. Experimental Design and Test Functions

The experimental running environment is a 64-bit Windows 10 operating system, the CPU is Intel(R) Core(TM) i7-11800H, the main frequency is 2.3 GHz, and the memory is 16 GB. The algorithm is written based on MATLAB 2019b.
In this section, test functions are used to evaluate the performance of the proposed FMMPA. The experiments are carried out on 16 standard benchmark functions: 5 continuous unimodal test functions (F1–F5), which are used to test the search accuracy and convergence speed; 7 complex multimodal test functions (F6–F12), which are used to evaluate the global exploration ability and the ability to get out of the local optimum; 4 fixed low-dimensional test functions (F13–F16), which are used to evaluate the comprehensive ability [27]. The detailed description and related information are shown in Table 1. To ensure fairness of the comparison between algorithms, the basic parameters of the algorithms are set to the same values, including the population size N = 30, the maximum number of iterations T max = 500, and the test function dimension dim = 30/50/100.

4.2. Comparative Analysis of Performance with Other Algorithms

To verify the overall performance of the FMMPA, six algorithms are selected for comparison, including the basic MPA, sine cosine algorithm (SCA) [28], whale optimization algorithm (WOA) [29], equilibrium optimizer (EO) [30], Archimedes’ optimization algorithm (AOA) [31], and grey wolf optimization (GWO) [32]. The internal parameters of each basic algorithm are set as shown in Table 2.
To avoid performance comparison errors caused by the randomness of the algorithms, each test function is run 30 times independently, and the mean and standard deviation (Std) are used to judge the performance of the corresponding optimization algorithm. The average value reflects the convergence speed of the algorithm, and the standard deviation reflects the stability of the algorithm. The comparison results are shown in Table 3.
According to the experimental results of Table 3, it can be seen that FMMPA can reach the theoretical optimal values for four continuous unimodal test functions F1~F4, six complex multimodal test functions F6~F7 and F9~F12, and two fixed low-dimensional test functions F15~F16 in three different dimensions for both evaluation indexes. However, the F5 shape is parabolic, with a large number of local optima, which easily leads the algorithm to fall into a local optimum with optimization search stagnation. The FMMPA shows an obvious advantage on the average value, which demonstrates a stronger convergence accuracy than the other comparison algorithms. For F8, FMMPA has a weak advantage of less orders of magnitude on the average value, but the standard deviation is 0 in different dimensions, demonstrating robustness superior to other algorithms. F13 and F14 are fixed low-dimensional test functions, which have a weak advantage over the original MPA algorithm. However, the theoretical optimal value can be reached in F15~F16, indicating that FMMPA has a better comprehensive optimization search performance.
Through the analysis of the convergence curves of the 15 functions in Figure 4, it can be seen that F14 can achieve better search accuracy than the original algorithm. F16 is second only to AOA in terms of the number of iterations and can reach the optimal theoretical optimum in approximately 150 generations, which is much stronger than other algorithms. However, for other different types of test functions, FMMPA is at the bottom of its iteration curve. It shows high convergence efficiency and verifies the effectiveness of the algorithm optimization strategy.

4.3. Comparison with Different Strategies

To verify the effectiveness and superiority of FMMPA, we compare the basic MPA and MPA1 which incorporates the Golden-SA, MPA2, which incorporates the nonlinear convex decreasing weight strategy, and MPA3, which incorporates Archimedes’ spiral search strategy on 16 benchmark test functions. The conditions were set to be the same, with the population size N = 30, the dimension dim = 30, and the maximum number of iterations Max_Iter = 1000. The experimental results are evaluated through four performance metrics that is optimal, worst, mean and standard deviation. The results of the experiment are shown in Table 4.
In Table 4, the experimental data of all algorithms can reach the theoretical optimal value in F7, F9, F11 and F15, indicating that the Original MPA algorithm has a better performance. There are a large number of local optimal values in F5, and the algorithm search easily falls into the local extreme value space, so none of them find the theoretical value. However, the four evaluation indexes of FMMPA, MPA1, MPA2 and MPA3 are all improved compared with the original MPA algorithm, which indicates that different strategies have improved the optimal performance of the algorithm to different degrees. From the optimal values, the accuracy of the MPA1 optimization is significantly higher than that of the other strategies algorithms when solving F1 to F4 and F10, which verifies the significant improvement of the Golden-SA position update strategy on the algorithm convergence accuracy and local perturbation ability. The standard deviation of all four improved algorithms at solution F8 is 0, which indicates the effective improvement of the stability and robustness of the three strategies. FMMPA has the best data for all four evaluation metrics on all remaining test functions, showing a significant improvement in all-around performance and demonstrating the synergistic complementarity between different improvement strategies.

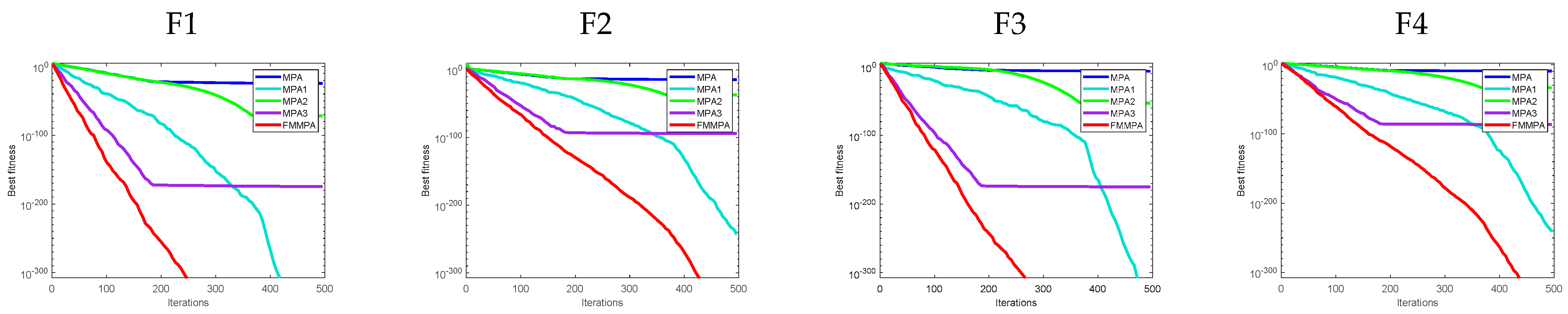
4.4. Convergence Analysis with Different Strategy Algorithms

Figure 5 shows the average convergence curves of the different strategy algorithms on the 15 benchmark test functions to verify the dynamic convergence characteristics. It can be seen that in the continuous unimodal test functions F1~F4, complex multimodal test functions F6~F8 and F10, and fixed low-dimensional test functions F12 and F16, MPA1 has the minimum iterations to find the optimal value in the whole process, and the convergence speed is significantly faster than the other strategies algorithms. The effectiveness of the Gold-SA strategy to accelerate the convergence speed and improve the convergence accuracy is demonstrated. The convergence curves of MPA2 for solving most of the test functions are significantly flatter, which proves that the nonlinear convex decreasing weight balances the exploitation and exploration ability of the algorithm. In F1~F4, F10, F12, and F16, MPA3 has better convergence accuracy at the same iterations in the initial iterations of optimization, which verifies the effective expansion of the global search domain of Archimedes’ spiral search strategy in the high-velocity ratio stage. FMMPA has the fastest convergence speed and the best convergence accuracy among all the tested functions, indicating that all strategies have a significant effect on the performance improvement of the algorithm.
In summary, Table 4 and Figure 5 verify the effectiveness of the improved algorithm proposed in this paper. The comprehensive capability of FMMPA is stronger and more robust than other strategy algorithms.

4.5. Wilcoxon Rank Sum Test

To demonstrate the effectiveness of the improved algorithm, the Wilcoxon rank sum test is used to verify whether FMMPA is statistically significantly different from standard MPA with SCA, WOA, EO, AOA, and GWO at the significance level of p = 5% and dimension 30. The symbols “+”, “−”, and “=” indicate that FMMPA performs better, worse and equivalent, respectively, compared to the comparison algorithm, and the “NaN” table is not applicable; no significant judgment can be made. The results are shown in Table 5. Among the 15 benchmark test functions, most of the p values are less than 5%, and overall, the performance of FMMPA is statistically significantly different from the other six algorithms, thus indicating that FMMPA possesses better effectiveness than the other algorithms.

4.6. Experimental Analysis of CEC2014 Test Function

To better verify the robustness of FMMPA, this paper optimizes part of the CEC2014 test functions with complex features of FMMPA and basic MPA, SCA, WOA, EO and AOA algorithms, which contain the unimodal function (CEC03), multimodal function (CEC05, CEC12, CEC16), hybrid function (CEC19) and composition function (CEC23, CEC24, CEC25, CEC27, CEC28, CEC29, CEC30) [33]. The specific information of the selected parts of the functions is shown in Table 6. To ensure the fairness of the comparison, the maximum number of iterations is set to 500, and each algorithm is run 30 times independently. The results are shown in Table 7.
Table 7 shows that the original MPA algorithm performs well on the unimodal function CEC03, and the convergence accuracy of FMMPA is lower than that of the original algorithm. The FMMPA needs to carry out more parameter calculations, resulting in a decrease in the convergence accuracy. On multiple functions CEC05, CEC12, and CEC16, the optimization accuracy of FMMPA is closer to the theoretical value. The MPA original algorithm is more stable on the hybrid function (CEC19). On the composite function, the convergence accuracy of FMMPA is much higher than that of the remaining comparison algorithms, which further proves that FMMPA has better robustness.

5. Application of Mobile Robot Path Planning Based on FMMPA

5.1. Path Planning Environment Model

In this paper, the robot path planning analysis of the FMMPA algorithm is based on the grid map, and the grid map is modelled as follows: the matrix M is constructed, and 0 and 1 in the defined matrix M denote the black grid and white grid, respectively [34], which constitute a two-dimensional grid of Nx × Ny to simulate the actual robot mobile environment. The black grid is denoted as the area where the obstacles exist, and the white grid is the robot moveable area. In Figure 6, the grid position hi coordinates as (xi, yi), grid (x1, y1) as the starting point, and (x10, y10) as the end point.

5.2. Path Planning Length Functions and Conditions

In practical path planning application problems, setting every predator is a solution. The set of position updates of each predator represents a path of the robot, finding an optimal path from the many path sets that meet the constraints. Since the model built by the grid method will discretize the space, to facilitate the analysis and rationalize the path planning, this paper requires the relevant constraints as follows:
(1)
Environmental boundary and obstacle constraints. The node hi of the planned path is not on the grid where the obstacle is located, and the connection between the adjacent nodes hi and hi+1 cannot cross the obstacle grid [35]. The motion path must be within the grid space and cannot exceed the grid boundary.
(2)
The path is not circuitous. The movement route cannot be circuitous. If the grid coordinates of the current position hi are (xi, yi), the next position node should satisfy xi+1 > xi or yi + 1 > yi.
(3)
The target path is the shortest. Among the many grid locations that satisfy the above two constraints, row j (j = 1,2,…,Ny) should take the abscissa minimum I (1 < I < Nx) as the path node to achieve the minimum path minimum condition.
The mathematical model of the path planning length according to the above modelling requirements can be expressed as:
H ( p a t h ) = i = 0 n 1 d ( h i , h i + 1 )
where d (hi, hi+1) is expressed as the distance between positions hi and hi+1, so the length function of path planning in the global coordinate system can be expressed as:
H ( p a t h ) = i = 0 n 1 ( x i + 1 x i ) 2 + d 2 d = y i + 1 y i

5.3. Simulation Experiments and Analysis

The simulation experiment was selected with a population size of 30 and a maximum number of iterations of 500. To verify the optimal performance of the FMMPA algorithm in solving the global path planning problem under different static environments, three normal grid environments of 10 × 10, 30 × 30 and 50 × 50 were selected and tested 20 times. Experimental verification of the performance improvement effect of FMMPA with the original MPA algorithm and the other five algorithms in terms of path length and finding efficiency. Table 8 shows the parameters of the normal experimental environment.
According to Figure 7a, FMMPA can successfully find the shortest path in a simpler map 1, while SSA cannot successfully avoid obstacles and fail in path planning. Only the path of EO is different from the other algorithms, and the paths of the SCA, GWO and WOA completely overlap with the MPA so that they are covered by the MPA curve According to Figure 7b, SSA has the worst search path length. The path length curves of SCA, GWO, WOA and EO almost coincide with the MPA curves. The number of iterations for WOA is slightly higher than the other algorithms. The FMMPA path lengths are decrease in a stepwise manner, indicating that the algorithm is constantly jumping out of the local optimum to the shortest path value during the iteration process. The algorithm can converge quickly in the initial phase optimization, verifying the effectiveness of the Archimedes spiral search strategy to avoid blind search and demonstrating the effectiveness of the nonlinear convex weight strategy to enhance the global exploration capability. In the intermediate and late-phase optimization, the convergence curve is continuously decreasing, indicating that the local exploitation ability of the algorithm is continuously enhanced, and suggesting that the effectiveness of the Gold-SA strategy to accelerate the convergence speed and constantly improve the convergence accuracy.
In Figure 8b, the FMMPA algorithm achieves better search accuracy than the original MPA in the first iteration, and finally achieves the optimal solution better than all other algorithms, verifying the effectiveness of Archimedes’ spiral search path strategy in expanding the global search domain and improving the search accuracy in the initial iteration.
In Figure 8a and Figure 9a, in both the different size normal environment map 2 and map 3, FMMPA can find the shortest paths that outperform the rest of the algorithms, and according to Figure 9b, the algorithm convergence curve is flatter, but the search for the best value is still the best.
In Table 9, the average path value of FMMPA is the shortest length in all three different environments, and the standard deviation of path length demonstrates significant improvement compared to the other algorithms.
To further verify FMMPA’s ability to solve the local optimum problem, experiments were conducted in two separate environments of greater complexity. The environment not only had a much higher percentage of obstacles than the normal environment but also had a higher complexity of obstacle shapes. Table 10 shows the complex environment parameters.
According to Figure 10a, both the original MPA and the FMMPA can successfully plan the path and obtain the optimal path in the complex environment of map 4, while the other algorithms cannot successfully plan the route, highlighting the superior performance of the original MPA algorithm. It is also seen that the path planned by FMMPA is better than MPA. As seen from Figure 10b, in the complex environment of map 5, only FMMPA can successfully plan the path, and the other algorithms cannot successfully avoid obstacles due to a weak ability to jump out of the local optimum, which further verifies the absolute advantage of FMMPA in solving local optimal problems. This shows that FMMPA can obtain the best solution to the robot path planning problem, further supporting the feasibility and applicability of FMMPA in practical applications.

6. Conclusions

In this paper, FMMPA has been proposed to address the defects of MPA such as low convergence accuracy and weak ability to balance the global search and local exploitation. First, this paper adopts Archimedes’ spiral search strategy in the high-velocity ratio stage to enhance the exploitation ability of a high concentration prey population, improve the population diversity and expand the global search domain. Second, it introduces nonlinear convex decreasing weights in the equal-velocity ratio stage in the intermediate phase of optimization, so that the prey and predators exploiting and exploring, respectively, can realize dynamic position updates and avoid the algorithm falling into optimum. Finally, the Golden-SA position update strategy is introduced at the global position update of the algorithm, and the top predator guides other predators to precisely reduce the search space and accelerate the optimal position information propagation and sharing, which improves the convergence accuracy and accelerates the convergence speed. The improved algorithm is verified to have higher search performance and stronger robustness through experiments on 16 benchmark test functions and their Wilcoxon tests and part of the CEC2014 functions. The optimization test analysis is performed on the practical application problem of mobile robot path planning to verify the applicability of FMMPA in the practical application problem and provide a new way to solve the global static path planning problem for mobile robots.

Author Contributions

Conceptualization, L.Y. (Luxian Yang); methodology, L.Y. (Luxian Yang); software, L.Y. (Luxian Yang); validation, L.Y. (Luxian Yang), Q.H. and S.L.; formal analysis, Q.H. and S.L.; writing—original draft preparation, L.Y. (Luxian Yang); writing—review and editing, L.Y. (Luxian Yang), Q.H. and S.L.; resources, Q.H.; visualization, L.Y. (Liu Yang). All authors have read and agreed to the published version of the manuscript.

Funding

The research was funded by the National Natural Science Foundation of China “Research on the Evidence Chain Construction from the Analysis of the Investigation Documents (62166006)”, National Natural Science Foundation of China “Rural spatial restructuring in poverty-stricken mountainous areas of Guizhou based on Spatial equity: A case study of Dianqiangui Rocky Desertification Area (41861038)”, supported by Guizhou Provincial Science and Technology Projects (Guizhou Science Foundation-ZK [2021] General 335).

Institutional Review Board Statement

Not applicable.

Informed Consent Statement

Not applicable.

Data Availability Statement

The study did not report any data.

Conflicts of Interest

There are no conflicts to declare.

References

  1. Bakdi, A.; Hentout, A.; Boutami, H.; Maoudj, A.; Hachour, O.; Bouzouia, B. Optimal path planning and execution for mobile robots using genetic algorithm and adaptive fuzzy-logic control. Robot. Auton. Syst. 2017, 89, 95–109. [Google Scholar] [CrossRef]
  2. Xue, Y. Mobile robot path planning with a non-dominated sorting genetic algorithm. Appl. Sci.-Basel 2018, 8, 2253. [Google Scholar] [CrossRef]
  3. Gao, X.Y.; Li, J.H.; Fan, L.F.; Zhou, Q.; Yin, K.M.; Wang, J.X.; Song, C.; Huang, L.; Wang, Z.Y. Review of wheeled mobile robots’ navigation problems and application prospects in agriculture. IEEE Access 2018, 6, 49248–49268. [Google Scholar] [CrossRef]
  4. Namba, T.; Yamada, Y. Risks of deep reinforcement learning applied to fall prevention assist by autonomous mobile robots in the hospital. Big Data Cogn. Comput. 2018, 2, 13. [Google Scholar] [CrossRef]
  5. Zhang, H.Y.; Lin, W.M.; Chen, A.X. Path planning for the mobile robot: A review. Symmetry 2018, 10, 450. [Google Scholar] [CrossRef]
  6. Deng, X.; Li, R.F.; Zhao, L.J.; Wang, K.; Gui, X.C. Multi-obstacle path planning and optimization for mobile robot. Expert Syst. Appl. 2021, 183, 115445. [Google Scholar] [CrossRef]
  7. Dai, X.F.; Wei, Y. Application of Improved Moth-Flame Optimization Algorithm for Robot Path Planning. IEEE Access 2021, 9, 105914–105925. [Google Scholar] [CrossRef]
  8. Patle, B.K.; Babu, L.G.; Pandey, A.; Parhi, D.R.K.; Jagadeesh, A. A review: On path planning strategies for navigation of mobile robot. Def. Technol. 2019, 15, 582–606. [Google Scholar] [CrossRef]
  9. Zhang, T.W.; Xu, G.H.; Zhan, X.S.; Han, T. A new hybrid algorithm for path planning of mobile robot. J. Supercomput. 2022, 78, 4158–4181. [Google Scholar] [CrossRef]
  10. Li, K.R.; Hu, Q.Q.; Liu, J.P. Path planning of mobile robot based on improved multiobjective genetic algorithm. Wirel. Commun. Mob. Comput. 2021, 2021, 8836615. [Google Scholar] [CrossRef]
  11. Zhao, T.; Li, H.D.; Dian, S.Y. Multi-robot path planning based on improved artificial potential field and fuzzy inference system. J. Intell. Fuzzy Syst. 2020, 39, 7621–7637. [Google Scholar] [CrossRef]
  12. Song, T.; Huo, X.; Wu, X.K. A two-stage method for target searching in the path Planning for mobile robots. Sensors 2020, 20, 6919. [Google Scholar] [CrossRef] [PubMed]
  13. Zheng, J.; Mao, S.; Wu, Z.; Kong, P.; Qiang, H. Improved path planning for indoor patrol robot based on deep reinforcement learning. Symmetry 2022, 14, 132. [Google Scholar] [CrossRef]
  14. Ajeil, F.H.; Ibraheem, I.K.; Sahib, M.A.; Humaidi, A.J. Multi-objective path planning of an autonomous mobile robot using hybrid PSO-MFB optimization algorithm. Appl. Soft. Comput. 2020, 89, 106076. [Google Scholar] [CrossRef]
  15. Kumar, S.; Sikander, A. Optimum Mobile Robot Path Planning Using Improved Artificial Bee Colony Algorithm and Evolutionary Programming. Arab. J. Sci. Eng. 2022, 47, 3519–3539. [Google Scholar] [CrossRef]
  16. Faramarzi, A.; Heidarinejad, M.; Mirjalili, S.; Gandomi, A.H. Marine Predators Algorithm: A nature-inspired metaheuristic. Expert Syst. Appl. 2020, 152, 113377. [Google Scholar] [CrossRef]
  17. Abd Elaziz, M.; Mohammadi, D.; Oliva, D.; Salimifard, K. Quantum marine predators algorithm for addressing multilevel image segmentation. Appl. Soft. Comput. 2021, 110, 107598. [Google Scholar] [CrossRef]
  18. Abdel-Basset, M.; El-Shahat, D.; Chakrabortty, R.K.; Ryan, M. Parameter estimation of photovoltaic models using an improved marine predators algorithm. Energy Conv. Manag. 2021, 227, 113491. [Google Scholar] [CrossRef]
  19. Elaziz, M.A.; Thanikanti, S.B.; Ibrahim, I.A.; Lu, S.; Nastasi, B.; Alotaibi, M.A.; Hossain, A.; Yousri, D. Enhanced marine predators algorithm for identifying static and dynamic photovoltaic models parameters. Energy Conv. Manag. 2021, 236, 113971. [Google Scholar] [CrossRef]
  20. Abdel-Basset, M.; Mohamed, R.; Abouhawwash, M. Hybrid marine predators algorithm for image segmentation: Analysis and validations. Artif. Intell. Rev. 2022, 55, 3315–3367. [Google Scholar] [CrossRef]
  21. Shaheen, A.M.; Elsayed, A.M.; Ginidi, A.R.; El-Sehiemy, R.A.; Alharthi, M.M.; Ghoneim, S.S. A novel improved marine predators algorithm for combined heat and power economic dispatch problem. Alex. Eng. J. 2022, 61, 1834–1851. [Google Scholar] [CrossRef]
  22. Guo, M.W.; Wang, J.S.; Zhu, L.F.; Guo, S.S.; Xie, W. Improved ant lion optimizer based on spiral complex path searching patterns. IEEE Access 2020, 8, 22094–22126. [Google Scholar] [CrossRef]
  23. Rodrigues, D.; de Rosa, G.H.; Passos, L.A.; Papa, J.P. Adaptive improved flower pollination algorithm for global optimization. In Nature-Inspired Computation in Data Mining and Machine Learning; Springer: Cham, Switzerland, 2020; pp. 1–21. [Google Scholar]
  24. Tanyildizi, E.; Demir, G. Golden sine algorithm: A novel math-inspired algorithm. Adv. Electr. Comput. Eng. 2017, 17, 71–78. [Google Scholar] [CrossRef]
  25. Cheng-Han, L.; Qing, H. Golden Sine Chimp Optimization Algorithm Integrating Multiple Strategies. Acta Autom. Sin. 2021, 47, 1–14. [Google Scholar]
  26. Qing, H.; Shi-Hang, L. Chimp optimization algorithm based on hybrid improvement strategy and its mechanical application. Control Decis. 2021, 1–11. [Google Scholar]
  27. Shi-Hang, L.; Qing, H. Multi-strategy fusion improved Equilibrium Optimization Algorithm and its Application. Comput. Eng. Sci. 2022, 1–13. [Google Scholar]
  28. Mirjalili, S.M.; Mirjalili, S.Z.; Saremi, S.; Mirjalili, S. Sine cosine algorithm: Theory, literature review, and application in designing bend photonic crystal waveguides. Nat. Inspired Optim. 2020, 811, 201–217. [Google Scholar]
  29. Mirjalili, S.; Lewis, A. The whale optimization algorithm. Adv. Eng. Softw. 2016, 95, 51–67. [Google Scholar] [CrossRef]
  30. Faramarzi, A.; Heidarinejad, M.; Stephens, B.; Mirjalili, S. Equilibrium optimizer: A novel optimization algorithm. Knowl. Based Syst. 2020, 191, 105190. [Google Scholar] [CrossRef]
  31. Hashim, F.A.; Hussain, K.; Houssein, E.H.; Mabrouk, M.S.; Al-Atabany, W. Archimedes optimization algorithm: A new metaheuristic algorithm for solving optimization problems. Appl. Intell. 2021, 51, 1531–1551. [Google Scholar] [CrossRef]
  32. Mirjalili, S.; Mirjalili, S.M.; Lewis, A. Grey wolf optimizer. Adv. Eng. Softw. 2014, 69, 46–61. [Google Scholar] [CrossRef]
  33. Tejani, G.G.; Savsani, V.J.; Patel, V.K.; Mirjalili, S. Truss optimization with natural frequency bounds using improved symbiotic organisms search. Knowl. Based Syst. 2018, 143, 162–178. [Google Scholar] [CrossRef] [Green Version]
  34. Tang, X.H.; Xin, S.J. Improved ant colony algorithm for mobile robot path planning. Comput. Eng. Appl. 2022, 58, 287–295. [Google Scholar]
  35. Luo, Y.Y.; Peng, X.Y. Global Path Planning of Four—Wheel Mobile Robot Based on Improved PSO. Comput. Simul. 2020, 37, 373–379. [Google Scholar]
Figure 1. Improved Archimedes’ spiral.
Figure 1. Improved Archimedes’ spiral.
Applsci 12 09170 g001
Figure 2. Comparison of different η.
Figure 2. Comparison of different η.
Applsci 12 09170 g002
Figure 3. Flow chart for the proposed FMMPA.
Figure 3. Flow chart for the proposed FMMPA.
Applsci 12 09170 g003
Figure 4. Convergence curves of FMMPA and other meta-heuristic algorithms on the benchmark test functions.
Figure 4. Convergence curves of FMMPA and other meta-heuristic algorithms on the benchmark test functions.
Applsci 12 09170 g004
Figure 5. Convergence curves of FMMPA and different strategies.
Figure 5. Convergence curves of FMMPA and different strategies.
Applsci 12 09170 g005aApplsci 12 09170 g005b
Figure 6. Grid map construction process.
Figure 6. Grid map construction process.
Applsci 12 09170 g006
Figure 7. Experimental results for map 1.
Figure 7. Experimental results for map 1.
Applsci 12 09170 g007
Figure 8. Experimental results for map 2.
Figure 8. Experimental results for map 2.
Applsci 12 09170 g008
Figure 9. Experimental results for map 3.
Figure 9. Experimental results for map 3.
Applsci 12 09170 g009
Figure 10. Complex environment experimental results.
Figure 10. Complex environment experimental results.
Applsci 12 09170 g010
Table 1. The benchmark test functions.
Table 1. The benchmark test functions.
Fun No.NameDimRangeOptimal Value
F1Sphere30/50/100[−100, 100]0
F2Schwefel2.2230/50/100[−100, 100]0
F3Schwefel1.230/50/100[−100, 100]0
F4Schwefel.2.2130/50/100[−100, 100]0
F5Quartic30/50/100[−1.28, 1.28]0
F6Zakharov30/50/100[−5, 10]0
F7Rastrigin30/50/100[−5.12, 5.12]0
F8Ackley30/50/100[−32, 32]0
F9Griewank30/50/100[−600, 600]0
F10Apline30/50/100[−10, 10]0
F11Rastrgin30/50/100[−100, 100]0
F12Sum spare30/50/100[−5.12, 5.12]0
F13Six-Hump2[−5, 5]−1.0316
F14Branin2[−5, 5]0.398
F15Schaffer2[−100, 100]0
F16Eggcrate2[−2π, 2π]0
Table 2. Algorithm parameter setting.
Table 2. Algorithm parameter setting.
AlgorithmParameter
MPAFADs = 0.2, p = 0.5, CF = 1
SCAa = 2
WOAb = 1
EOa1 = 2, a2 = 1, GP = 0.5, t = 1
AOAC1 = 2, C2 = 6, u = 0.9, l = 0.1
C3 = 1, C4 = 2
GWOa = 2
FMMPAFADs = 0.2, CF = 1
Table 3. Results of comparison with other basic algorithms in different dimensions.
Table 3. Results of comparison with other basic algorithms in different dimensions.
Fun No.Name30dim50dim100dim
MeanStdMeanStdMeanStd
F1MPA9.27 × 10−41.35 × 10−222.88 × 10−213.20 × 10−211.57 × 10−191.27 × 10−19
SCA5.48 × 1006.27 × 1001.08 × 1031.16 × 1031.28 × 1049.43 × 103
WOA5.25 × 10−741.96 × 10−731.22 × 10−716.37 × 10−711.38 × 10−724.32 × 10−72
EO8.47 × 10−411.88 × 10−401.19 × 10−341.38 × 10−344.06 × 10−294.45 × 10−29
AOA3.66 × 10−112.01 × 10−104.59 × 10−41.68 × 10−32.55 × 10−21.16 × 10−2
GWO9.08 × 10−288.48 × 10−289.78 × 10−209.83 × 10−201.66 × 10−121.81 × 10−12
FMMPA000000
F2MPA2.45 × 10−132.05 × 10−132.82 × 10−123.08 × 10−121.86 × 10−112.64 × 10−11
SCA3.23 × 10−25.27 × 10−24.89 × 10−18.78 × 10−15.48 × 1004.29 × 100
WOA7.08 × 10−503.67 × 10−492.15 × 10−506.29 × 10−502.09 × 10−505.16 × 10−50
EO7.20 × 10−247.68 × 10−241.81 × 10−202.41 × 10−201.77 × 10−171.35 × 10−17
AOA001.12 × 10−1625.88 × 10−1621.24 × 10−526.77 × 10−52
GWO8.68 × 10−175.11 × 10−172.73 × 10−121.57 × 10−125.00 × 10−81.68 × 10−8
FMMPA000000
F3MPA2.65 × 10−44.88 × 10−48.70 × 10−22.57 × 10−11.08 × 1011.58 × 101
SCA7.91 × 1035.53× 1034.75× 1041.89× 1042.25× 1055.90× 104
WOA4.77× 1041.47× 1042.00× 1053.76× 1041.07× 1062.51× 105
EO2.70 × 10−95.84 × 10−92.00 × 10−45.13 × 10−45.35 × 1001.08 × 101
AOA8.42 × 10−31.78 × 10−21.14 × 10−12.00 × 10−11.05 × 1008.34 × 10−1
GWO5.74 × 10−52.57 × 10−44.04 × 10−19.98 × 10−16.07 × 1026.24 × 102
FMMPA000000
F4MPA3.18 × 10−92.42 × 10−92.47 × 10−81.37 × 10−82.20 × 10−78.31 × 10−8
SCA3.50 × 1011.12 × 1016.74 × 1017.86 × 1008.97 × 1013.27 × 100
WOA5.96 × 1012.22 × 1017.07 × 1012.14 × 1018.34 × 1011.15 × 101
EO2.27 × 10103.01 × 10104.19 × 1075.50 × 1071.52 × 1032.61 × 103
AOA2.85 × 1021.95 × 1024.70 × 1021.29 × 1029.56 × 1021.30 × 102
GWO8.65 × 1077.16 × 1073.59 × 1041.96 × 1046.76 × 1016.16 × 101
FMMPA000000
F5MPA1.52 × 1038.91 × 1041.70 × 1031.11 × 1031.64 × 1037.97 × 104
SCA1.14 × 1011.20 × 1012.95 × 1003.31 × 1001.61 × 1029.22 × 101
WOA3.53 × 1033.41 × 1033.23 × 1034.83 × 1034.64 × 1035.05 × 103
EO1.08 × 1035.94 × 1042.13 × 1031.05 × 1032.54 × 1031.04 × 103
AOA7.24 × 1056.68 × 1056.34 × 1055.80 × 1057.93 × 1058.23 × 105
GWO2.04 × 1049.32 × 1043.59 × 1031.54 × 1037.83 × 1032.45 × 103
FMMPA5.39 ×10−55.15 ×1055.36 ×1054.21 ×1054.03 ×1053.30 ×105
F6MPA1.42 × 1031.58 × 1031.18 × 1016.40 × 1022.06 × 1009.25 × 101
SCA3.62 × 1011.85 × 1011.66 × 1026.49 × 1016.72 × 1021.70 × 102
WOA4.96 × 1029.19 × 1018.45 × 1021.22 × 1021.70 × 1033.31 × 102
EO2.05 × 1054.52 × 1051.17 × 1001.46 × 1001.69 × 1028.06 × 101
AOA3.00 × 1026.47 × 1017.83 × 1021.17 × 1022.14 × 1032.12 × 102
GWO8.21 × 1081.55 × 1071.29 × 1012.59 × 1011.01 × 1024.37 × 101
FMMPA000000
F7MPA000000
SCA3.80 × 1013.73 × 1019.54 × 1016.03 × 1012.75 × 1021.00 × 102
WOA1.46 × 1018.02 × 1010000
EO00003.32 × 1021.82 × 101
AOA000000
GWO2.06 × 1003.59 × 1004.25 × 1005.50 × 1009.17 × 1005.65 × 100
FMMPA000000
F8MPA1.54 × 10121.04 × 10129.60 × 10124.80 × 10125.52 × 10113.47 × 1011
SCA1.38 × 1019.08 × 1001.88 × 1014.85 × 1001.89 × 1013.84 × 100
WOA3.97 × 10152.23 × 10154.32 × 10152.55 × 10155.15 × 10152.54 × 1015
EO8.47 × 10151.80 × 10151.62 × 10144.29 × 10153.33 × 10145.95 × 1015
AOA8.88 × 101608.88 × 101605.36 × 1041.07 × 103
GWO1.08 × 10131.98 × 10144.38 × 10112.27 × 10111.15 × 1073.73 × 108
FMMPA8.88 ×10−1608.88 ×101608.88 ×10160
F9MPA000000
SCA1.03 × 1004.40 × 1018.51 × 1008.16 × 1008.90 × 1015.39 × 101
WOA3.08 × 1031.69 × 1020000
EO000000
AOA2.10 × 1011.59 × 1011.06 × 1002.74 × 1016.07 × 1021.72 × 102
GWO4.17 × 1038.41 × 1031.61 × 1034.95 × 1033.23 × 1038.76 × 103
FMMPA000000
F10MPA7.21 × 10147.43 × 10144.06 × 10133.49 × 10133.40 × 10124.62 × 1012
SCA1.29 × 1003.01 × 1006.30 × 1004.78 × 1002.53 × 1011.28 × 101
WOA1.07 × 1005.85 × 1003.44 × 10−511.20 × 10−511.02 × 10−512.83 × 10−51
EO2.47 × 10−242.99 × 10−246.64 × 10−216.08 × 10−214.45 × 10−185.99 × 10−18
AOA002.13 × 10−16403.31 × 10−511.81 × 10−50
GWO4.36 × 10−45.76 × 10−41.04 × 10−31.20 × 10−33.83 × 10−32.63 × 10−3
FMMPA000000
F11MPA000000
SCA001.33 × 1026.86 × 1012.52 × 1021.57 × 102
WOA003.79 × 10−152.08 × 10−1400
EO000000
AOA000000
GWO00009.74 × 1008.46 × 100
FMMPA000000
F12MPA2.40 × 10−242.76 × 10−242.36 × 10−222.84 × 10−221.90 × 10−201.88 × 10−20
SCA2.61 × 10−13.75 × 10−15.00 × 1014.48 × 1011.01 × 1037.57 × 102
WOA1.61 × 10−738.72 × 10−737.83 × 10−753.53 × 10−748.75 × 10−724.46 × 10−71
EO1.95 × 10−425.65 × 10−421.91 × 10−362.52 × 10−364.80 × 10−301.06 × 10−29
AOA00008.22 × 10−1850
GWO6.49 × 10−291.32 × 10−283.98 × 10−19.55 × 10−71.18 × 10−137.54 × 10−14
FMMPA000000
F13MPA−1.03 × 1004.70 × 10−16−1.03 × 1004.55 × 1016−1.03 × 1004.61 × 1016
SCA−1.03 × 1005.36 × 105−1.03 × 1004.23 × 105−1.03 × 1007.12 × 105
WOA−1.03 × 1007.25 × 1010−1.03 × 1003.62 × 1010−1.03 × 1006.25 × 1010
EO−1.03 × 1006.25 × 1016−1.03 × 1006.18 × 1016−1.03 × 1006.18 × 1016
AOA−1.03 × 1001.39 × 107−1.03 × 1001.37 × 107−1.03 × 1001.76 × 107
GWO−1.03 × 1001.31 × 108−1.03 × 1005.56 × 109−1.03 × 1008.44 × 109
FMMPA−1.03 ×1003.55 ×1016−1.03 ×1005.53 ×1016−1.03 ×1005.89 ×1016
F14MPA3.98 × 1017.67 × 10153.98 × 1011.68 × 10143.98 × 1013.03 × 1015
SCA3.99 × 1011.92 × 1034.00 × 1012.09 × 1034.00 × 1013.45 × 103
WOA3.98 × 1013.78 × 1053.98 × 1014.77 × 1053.98 × 1018.86 × 106
EO3.98 × 10103.98 × 10103.98 × 1010
AOA4.14 × 1011.68 × 1024.13 × 1011.26 × 1024.11 × 1019.39 × 103
GWO3.98 × 1013.87 × 1043.98 × 1019.55 × 1073.98 × 1011.58 × 106
FMMPA3.98 ×10−18.83 ×10−153.98 ×1014.16 ×10153.98 ×1011.26 ×1015
F15MPA000000
SCA000000
WOA1.82 × 1046.96 × 1041.07 × 1045.00 × 1041.10 × 1066.03 × 106
EO000000
AOA000000
GWO000000
FMMPA000000
F16MPA7.86 × 10634.26 × 10624.80 × 10652.63 × 10644.55 × 10682. × 1067
SCA9.63 × 10705.00 × 10691.90 × 10706.89 × 10703.47 × 10701.65 × 1069
WOA1.39 × 101095.34 × 101093.46 × 101081.89 × 101074.03 × 101141.89 × 10113
EO4.03 × 1020902.10 × 1020908.08 × 102070
AOA000000
GWO9.07 × 1020404.48 × 1020207.75 × 102070
FMMPA000000
Table 4. Comparison results of FMMPA and improved MPA on 16 test functions.
Table 4. Comparison results of FMMPA and improved MPA on 16 test functions.
Fun No. MPAMPA1MPA2MPA3FMMPA
F1Best8.11 × 10−5402.52 × 10−13800
Worst3.92 × 10−4903.77 × 10−13300
Mean6.00 × 10−5002.17 × 10−13400
Std8.58 × 10−5006.90 × 10−13400
F2Best9.38 × 10−3003.35 × 10−734.91 × 10−1950
Worst5.77 × 10−2703.47 × 10−691.38 × 10−1640
Mean7.81 × 10−2804.24 × 10−705.60 × 10−1660
Std1.22 × 10−2708.27 × 10−7000
F3Best1.97 × 10−2101.12 × 10−10700
Worst2.09 × 10−1109.38 × 10−992.64 × 10−2810
Mean2.24 × 10−1206.33 × 10−1008.79 × 10−2830
Std4.92 × 10−1201.85 × 10−9900
F4Best1.94 × 10−2008.58 × 10−621.53 × 10−1740
Worst2.16 × 10−1801.11 × 10−623.60 × 10−1450
Mean2.69 × 10−1901.50 × 10−621.26 × 10−1460
Std3.88 × 10−1908.58 × 10−626.58 × 10−1460
F5Best2.13 × 10−44.35 × 10−61.10 × 10−52.58 × 10−69.03 × 10−7
Worst1.44 × 10−31.59 × 10−44.86 × 10−41.45 × 10−41.25 × 10−4
Mean6.08 × 10−44.25 × 10−51.82 × 10−44.63 × 10−52.65 × 10−5
Std2.74 × 10−44.20 × 10−51.45 × 10−44.29 × 10−52.65 × 10−5
F6Best2.01 × 10−1306.44 × 10−10000
Worst4.62 × 10−904.92 × 10−954.47 × 10−2450
Mean9.97 × 10−1002.52 × 10−961.49 × 10−2460
Std9.26 × 10−1009.05 × 10−9600
F7Best00000
Worst00000
Mean00000
Std00000
F8Best8.88 × 10−168.88 × 10−168.88 × 10−168.88 × 10−168.88 × 10−16
Worst4.44 × 10−158.88 × 10−168.88 × 10−168.88 × 10−168.88 × 10−16
Mean4.32 × 10−158.88 × 10−168.88 × 10−168.88 × 10−168.88 × 10−16
Std6.49 × 10−160000
F9Best00000
Worst00000
Mean00000
Std00000
F10Best1.16 × 10−3102.25 × 10−733.24 × 10−1970
Worst3.98 × 10−2701.85 × 10−695.04 × 10−1630
Mean5.20 × 10−2802.12 × 10−701.68 × 10−1640
Std9.90 × 10−2803.69 × 10−7000
F11Best00000
Worst00000
Mean00000
Std00000
F12Best1.48 × 10−5301.73 × 10−13900
Worst2.48 × 10−5001.70 × 10−13500
Mean2.82 × 10−5102.32 × 10−13600
Std5.50 × 10−5103.98 × 10−13600
F13Best−1.03 × 100−1.03 × 100−1.03 × 100−1.03 × 100−1.03 × 100
Worst−1.03 × 100−1.03 × 100−1.03 × 100−1.03 × 100−1.03 × 100
Mean−1.03 × 100−1.03 × 100−1.03 × 100−1.03 × 100−1.03 × 100
Std6.58 × 10−169.77 × 10−166.58 × 10−166.58 × 10−164.29 × 10−16
F14Best3.98 × 10−13.98 × 10−13.98 × 10−13.98 × 10−13.98 × 10−1
Worst3.98 × 10−13.98 × 10−13.98 × 10−13.98 × 10−13.98 × 10−1
Mean3.98 × 10−13.98 × 10−13.98 × 10−13.98 × 10−13.98 × 10−1
Std02.34 × 10−13009.73 × 10−16
F15Best00000
Worst00000
Mean00000
Std00000
F16Best3.23 × 10−16307.72 × 10−24100
Worst7.71 × 10−13702.04 × 10−21100
Mean2.59 × 10−13806.81 × 10−21300
Std1.41 × 10−1370000
Table 5. Wilcoxon rank sum test results.
Table 5. Wilcoxon rank sum test results.
Fun No.MPASCAWOAEOAOAGWO
p Value Rp Value Rp Value Rp Value Rp Value Rp Value R
F11.21 × 10−121.21 × 10−121.21 × 10−121.21 × 10−121.21 × 10−121.21 × 10−12
F21.21 × 10−121.21 × 10−121.21 × 10−121.21 × 10−121.21 × 10−12NaN
F31.21 × 10−121.21 × 10−121.21 × 10−121.21 × 10−121.21 × 10−121.21 × 10−12
F41.21 × 10−121.21 × 10−121.21 × 10−121.21 × 10−121.21 × 10−121.21 × 10−12
F51.21 × 10−121.21 × 10−121.21 × 10−121.21 × 10−121.21 × 10−121.21 × 10−12
F61.21 × 10−121.21 × 10−121.21 × 10−121.21 × 10−121.21 × 10−121.21 × 10−12
F7NaN1.21 × 10−123.34 × 10−1NaN1.16 × 10−12NaN
F81.21 × 10−121.21 × 10−123.80 × 10−84.16 × 10−141.16 × 10−12NaN
F9NaN1.21 × 10−12NaN3.34 × 10−11.10 × 10−21.21 × 10−12
F101.21 × 10−121.21 × 10−121.21 × 10−121.21 × 10−121.21 × 10−12NaN
F111.34 × 10−31.36 × 10−111.36 × 10−112.47 × 1091.36 × 10−111.36 × 10−11
F123.87 × 10−17.85 × 10−127.85 × 10−125.57 × 10−37.85 × 10−127.85 × 10−12
F14NaN1.21 × 10−128.15 × 10−2NaN1.19 × 10−12NaN
F151.21 × 10−121.21 × 10−121.21 × 10−121.21 × 10−121.21 × 10−12NaN
F161.21 × 10−121.21 × 10−121.21 × 10−121.21 × 10−121.21 × 10−12NaN
+/=/−11/3/115/0/012/1/212/2/115/0/08/7/0
Table 6. Part of CEC2014 test function.
Table 6. Part of CEC2014 test function.
Fun No.Function TypeFunction NameOptimal Value
CEC03Unimodal FunctionRotated Discus Function300
CEC05Multimodal FunctionShifted and Rotated Ackley’s Function500
CEC12Shifted and Rotated Katsuura Function1200
CEC16Shifted and Rotated Expanded Scaffer’s F6 Function1600
CEC19Hybrid FunctionHybrid Function 3 (N = 4)1900
CEC23Composition FunctionComposition Function 1 (N = 5)2300
CEC24Composition Function 2 (N = 3)2400
CEC25Composition Function 3 (N = 3)2500
CEC27Composition Function 5 (N = 5)2700
CEC28Composition Function 6 (N = 5)2800
CEC29Composition Function 7 (N = 3)2900
CEC30Composition Function 8 (N = 3)3000
Table 7. CEC2014 function optimization comparison.
Table 7. CEC2014 function optimization comparison.
Fun No.IndexMPASCAWOAEOAOAFMMPA
CEC03Mean7.2178 × 1028.0775 × 1041.1978 × 1052.2556 × 1042.9917 × 1043.7731 × 104
Std3.1105 × 1021.1774 × 1045.8546 × 1049.4562 × 1031.1000 × 1048.6068 × 103
CEC05Mean5.2009 × 1025.2104 × 1025.2086 × 1025.2101 × 1025.2098 × 1025.2005 × 102
Std6.8116 × 10−27.4268 × 10−21.0665 × 10−17.8632 × 10−21.6005 × 10−11.0706 × 10−2
CEC12Mean1.2002 × 1031.2035 × 1031.2024 × 1031.2019 × 1031.2031 × 1031.2001 × 103
Std6.6729 × 10−24.2382 × 10−16.3031 × 10−15.6946 × 10−11.0118 × 1002.7214 × 10−2
CEC16Mean1.6117 × 1031.6133 × 1031.6131 × 1031.6117 × 1031.6130 × 1031.6117 × 103
Std5.6360 × 10−12.1320 × 10−13.6559 × 10−16.8461 × 10−14.5856 × 10−14.9863 × 10−1
CEC19Mean1.9092 × 1032.0561 × 1032.0233 × 1031.9121 × 1031.9639 × 1031.9718 × 103
Std1.2900 × 1005.4108 × 1015.9458 × 1011.3623 × 1012.9979 × 1012.3130 × 101
CEC23Mean2.6154 × 1032.7239 × 1032.6992 × 1032.6153 × 1032.6106 × 1032.5000 × 103
Std1.6493 × 10−12.3784 × 1017.6091 × 1011.3431 × 10−14.4673 × 1010
CEC24Mean2.6000 × 1032.6347 × 1032.6111 × 1032.6000 × 1032.6021 × 1032.6000 × 103
Std7.0853 × 10−32.2328 × 1016.9209 × 1006.2998 × 10−39.5714 × 10−11.8033 × 10−6
CEC25Mean2.7000 × 1032.7480 × 1032.7211 × 1032.7017 × 1032.7000 × 1032.7000 × 103
Std1.1397 × 10−91.4158 × 1012.2967 × 1014.4335 × 1002.8799 × 10−20
CEC27Mean3.1090 × 1033.8576 × 1033.9008 × 1033.3462 × 1033.5646 × 1032.9000 × 103
Std5.9633 × 1003.0976 × 1023.5214 × 1029.7379 × 1013.2151 × 1020
CEC28Mean3.7734 × 1035.7821 × 1035.7870 × 1033.8277 × 1035.2010 × 1033.0000 × 103
Std6.5935 × 1015.8025 × 1027.8043 × 1021.6676 × 1021.5732 × 1030
CEC29Mean2.9903 × 1054.0180 × 1071.7341 × 1072.1242 × 1063.4406 × 1083.1000 × 103
Std1.5943 × 1061.4679 × 1078.6890 × 1063.9111 × 1062.1196 × 1080
CEC30Mean7.5278 × 1036.6879 × 1055.2305 × 1051.0078 × 1044.4952 × 1033.2000 × 103
Std2.9400 × 1032.1695 × 1054.5827 × 1056.4788 × 1031.6897 × 1030
Table 8. Normal experimental environment parameters.
Table 8. Normal experimental environment parameters.
EnvironmentGrid SpecificationNumber of ObstaclesObstacle Percentage
Map 110 × 103131%
Map 230 × 3011713%
Map 350 × 5026710.68%
Table 9. Experimental results of 3 different environmental.
Table 9. Experimental results of 3 different environmental.
SSAGWOSCAWOAEOMPAFMMPA
Map 1Average path length74.9530.029.5328.2828.5727.8023.33
Standard Deviation32.1201.491.911.422.741.14
Map 2Average path length514.22198.55114.33261.33243.44131.6671.77
Standard Deviation273.2430.5920.9561.5766.3266.3212.57
Map 3Average path length1496.57301.52228.47284.76333.42150.85135.71
Standard Deviation577.1155.4832.7773.9292.8347.3522.52
Table 10. Complex experimental environmental parameters.
Table 10. Complex experimental environmental parameters.
EnvironmentGrid SpecificationNumber of ObstaclesObstacle Percentage
Map 430 × 3021824.22%
Map 550 × 5053621.44%
Publisher’s Note: MDPI stays neutral with regard to jurisdictional claims in published maps and institutional affiliations.

Share and Cite

MDPI and ACS Style

Yang, L.; He, Q.; Yang, L.; Luo, S. A Fusion Multi-Strategy Marine Predator Algorithm for Mobile Robot Path Planning. Appl. Sci. 2022, 12, 9170. https://doi.org/10.3390/app12189170

AMA Style

Yang L, He Q, Yang L, Luo S. A Fusion Multi-Strategy Marine Predator Algorithm for Mobile Robot Path Planning. Applied Sciences. 2022; 12(18):9170. https://doi.org/10.3390/app12189170

Chicago/Turabian Style

Yang, Luxian, Qing He, Liu Yang, and Shihang Luo. 2022. "A Fusion Multi-Strategy Marine Predator Algorithm for Mobile Robot Path Planning" Applied Sciences 12, no. 18: 9170. https://doi.org/10.3390/app12189170

APA Style

Yang, L., He, Q., Yang, L., & Luo, S. (2022). A Fusion Multi-Strategy Marine Predator Algorithm for Mobile Robot Path Planning. Applied Sciences, 12(18), 9170. https://doi.org/10.3390/app12189170

Note that from the first issue of 2016, this journal uses article numbers instead of page numbers. See further details here.

Article Metrics

Back to TopTop