Abstract
In this work, microspeaker frequency response was determined based on measurement and simulation. The vents after the rear chamber of the microspeaker were covered with ventilation cloths. Two types of ventilation cloths (acoustic cloths) are commonly used in electroacoustic products, non-woven and woven. Non-woven cloths (5 nos.) consist of irregular meshes and woven cloths (5 nos.) consist of regular meshes. The equivalent circuit model of the microspeaker was formulated by considering five types each of non-woven and woven ventilation cloths. The acoustic properties of the ventilation cloths were estimated from the measured frequency response of the microspeaker and by subsequent use of particle swarm optimization algorithm. Estimated value of the acoustic impedances of the ventilation cloths were used in an equivalent circuit model of the microspeaker for the simulated frequency responses and subsequently compared with the anechoic chamber measurements. Based on the results, the equivalent circuit adequately simulated the measured frequency response of the microspeaker and the estimations of the acoustic impedances of the ventilation cloths were in good agreement with the measured frequency responses of the microspeaker.
1. Introduction
A microspeaker is a tiny electroacoustic actuator that converts electrical signals into sound. With the rapid development of 4C (computer, communication, consumer electronics, and car electronics) products, such as smartphones, notebooks, true wireless stereo earphones, computers, and smart speakers, etc., the microspeaker has become indispensable. In 1924, a patent was awarded to Rice and Kellogg for the moving coil direct radiator loudspeaker. Today, this remains the most significant design in the electroacoustic product (loudspeaker, microspeaker, earphone, headphone, etc.) market. Its miniature version essentially involves the same fundamental components. Loudspeakers include horn loudspeaker, moving coil loudspeaker, electrostatic loudspeaker, ribbon loudspeaker, flat panel loudspeaker, bending wave loudspeaker, and balanced armature loudspeakers, in addition to MEMS speaker, etc. In 1957, the loudspeaker principles and design were carefully addressed in detail by McLean [], with loudspeaker design criteria have also been established by Chernof [] in 1957. In 2006, an optical measurement of loudspeaker cone vibration was reported by W. Klippel and Schlechter [], using the “Laser Triangulation” technique, which is a cost-effective alternative to “Doppler Interferometry” and has been proven to be the most versatile tool for loudspeaker research and industry. Loudspeaker modifications have been suggested for high fidelity sound reproduction [,,]. In a significant contribution, Small [,,,,,] made a significant contribution to this field by elaborating on loudspeaker performance in closed and vented boxes. An equivalent circuit method (ECM) for portable multimedia loudspeaker was discussed by Tashiro et al. []. Moreover, Hwang et al. published an extensive report on the microspeaker design and development [,,,]. Acoustic analysis and design of a miniature mobile phone loudspeaker (microspeaker) were carried out by Bai et al. [,] using an ECM and finite element method (FEM). Electroacoustic simulation and experimentation were conducted on cellular phone microspeaker have been performed by Huang et al. []. To improve the overall sound pressure level (SPL) performance over the mid-frequency spectrum for a microspeaker investigated by Shiah et al. [] analyzed a few key design parameters in 2008.
In 2003, Moholkar and Warmoeskerken [] attempted to identify the acoustical characteristics (effects of entrapped air pocket, power consumption of ultrasound horn, transmitted acoustic pressure amplitude, structural and hydrodynamic characteristics, and acoustic impedance) of textile materials using precision woven monofilament fabrics as a model textile. In 2013, Nordgren et al. [] discovered the influence of anisotropy in open-cell porous materials on the vibroacoustic response. Wintzell [] extensively documented on acoustic textiles for home wall panels and demonstrated that low-density textile materials are disadvantageous for the sound diffusion. In addition, textiles may be either acoustically absorbent or transparent, depending on the textile build up. The textile structure includes small air pockets that could affect the acoustic properties. Additionally, textiles can be non-woven, woven, or knitted and are normally not homogenous. Various methods are used to make acoustic textiles. In 2013, Ballantyne and Heden [] utilized an acoustic grille for the loudspeaker cabinet. Tsai et al. [] have tuned the acoustic impedance of porous materials used in an insert earphone for SPL response based on ECM modeling and measurements to validates and understand the effect of acoustic porous material in 2012. In another study, Liu et al. [] have investigated the acoustic parameters (air permeability, reflection coefficient, and acoustic impedance) of acoustic cloth used in electroacoustic products in 2014. McIntosh [] conducted measurements and modeling of circumaural headphones for a desktop computer speaker to investigate the correlation between the measurement and modeling. However, it has been reported that most electro-acoustic devices are designed through “experience” and “trial-and-error” due to the non-availability of acoustic component’s impedance, precisely a black cloth (very low acoustic flow resistance) and white cloth (much higher flow resistance) that generally covers the speaker flange. In their work, Klasco and Tatarunis [] measured the impedance of an acoustical speaker’s impedance and highlighted that the acoustic resistance of a meshed cloth could prove to be influential in optimizing the transient response of larger speaker drivers into smaller enclosures. Both woven and non-woven materials result in acoustic impedance. Woven materials are repeatable, uniform, and have less than 10% maximum performance deviation, however, they are costly. In contrast, non-woven materials are cheap but show 30% acoustic resistance variation and are affected by humidity. Acoustic meshes can improve impulse response settling time (damping) and be modeled as a “resistor” across an inductor or capacitor or other tuned circuit. Acoustic meshes control venting, air bearing, damping, acoustic transparency and absorption of dirt, dust, and moisture. Acoustic cloths also provide for the chuffing of the vented pole piece resulting from air velocity turbulence and reduces the volume of air in the vicinity of the vented pole piece to reduce the vent noise and cooling requirements. In 2017, Horoshenkov [] reviewed the acoustical laboratory methods for determination of porous material’s morphological characteristics. Various studies have been carried out on the ECM modeling of the microspeaker. For example, Tashiro et al. [] have used ECM to study the performance of a flat-panel loudspeaker, generally used for portable multimedia. To improve and control the overall sound-pressure performance of cellular phones, many scholars conducted SPL research on microspeakers of the cellular phones for SPL investigations.
The resistance of the ventilation cloths (papers) to the airflow changes the amount of air passing through it; hence, ventilation cloths can adjust the sound quality. The use of ventilation cloths has been widely adopted in the industry for acoustic purposes, but the knowledge required to properly choose ventilation cloths is not widely available in the literature. As aforementioned, the ventilation cloths are selected based on “experience” and “trial-and-error.” The lack of research data on and analyses of various ventilation cloths to determine resistance to the sound propagation limits the development of electroacoustic products (microspeakers, earmuff headphones, earphones, etc.). In this study, the influence of different ventilation cloths on the frequency response of the microspeaker was investigated. An inverse calculation method was used to obtain the acoustic resistance of the ventilation cloths to predict the frequency response curve with a greater accuracy. Particle swarm optimization (PSO) was employed to estimate the acoustic resistance of the ventilation cloths using initially measured frequency response as a target function. Furthermore, the acoustic impedance and frequency response of five different types of woven and five different types of non-woven acoustic ventilation cloths were studied.
2. Microspeaker
A schematic diagram of the microspeaker used in this study is shown in Figure 1a; the corresponding front side view, rear side view (without ventilation cloth), and rear side view (with ventilation cloth) are shown in Figure 1b–d, respectively. A typical microspeaker mainly consists of six parts: front cover, under yoke (UY), diaphragm, voice coil (VC), polar piece (PP), and magnet. The diaphragm is the crucial part of the loudspeaker for sound production and is generally made of paper, polymer, metal, fabric, or composite, etc. The microspeaker does not have a spider due to the space and size constraints; hence, the suspension is be taken care of by the diaphragm itself, resulting in the crucial role of diaphragm design. The magnetic loop is comprised of a magnet, an upper PP, and a lower PP; its primary function is to generate a uniform and fixed magnetic field to enable the VC to operate. The vibration thus generated by the diaphragm pushes the surrounding air to generate sound waves. Thus, the sound can be transmitted towards the front and rear sides of the diaphragm. There are 11 vents in the microspeaker casing which allow sound from the rear side of the diaphragm to travel to the rear side of the microspeaker (Figure 1c) via the rear chamber.


Figure 1.
(a) Microspeaker schematic, (b) Front view of microspeaker, (c) Rear view (without ventilation cloth) of microspeaker, and (d) Rear view (with ventilation cloth) of microspeaker.
The microspeaker investigated in this work was a 40 mm diameter unit (DSH742-005) from Merry Electronic Co., Ltd., Taichung, Taiwan (ROC), with 11 acoustic holes (vents) in the casing towards the rear side of the microspeaker. Table 1 shows the main specifications of this microspeaker. In addition, its fundamental frequency was 80 Hz ± 20 Hz.

Table 1.
Specification of microspeaker DSH 742–005.
3. Equivalent Circuit of Microspeaker
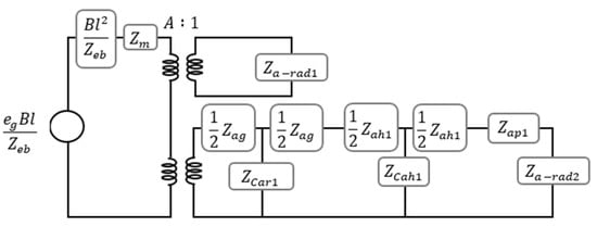
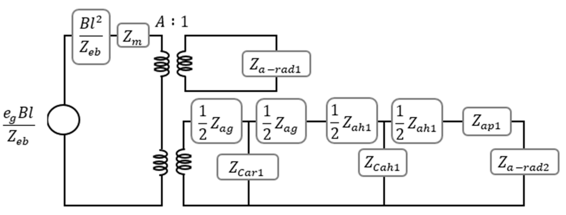
ECM was used to model the microspeaker when it was placed on an infinite baffle in an anechoic chamber for measurement of frequency response. The detailed ECM of microspeaker is given in our earlier work [], with the front chamber and holes in the front chamber after the diaphragm and towards the front. In brief, for quick reference, the ECM of the present microspeaker is discussed in brief as follows (Figure 2). The excitation voltage eg is input to the microspeaker that generates Lorentz force for driving VC. The product Bl is the force factor. The blocked electrical impedance of the VC is represented by Zeb and the mechanical impedance of diaphragm by Zm. The VC drives diaphragm with velocity v. The ECM circuit, which is shown in Figure 2, includes two transformers, one towards the front side of the microspeaker’s diaphragm and the other towards the rear side of the diaphragm. The area of the diaphragm is given by A, which acts as a transduction factor between the mechanical domain of the diaphragm and the associate acoustic domains.

Figure 2.
Microspeaker equivalent circuit diagram.
As shown in Figure 3, the microspeaker was placed on an infinite barrier; hence, only the sound waves that radiated in the forward direction were received by the microphone, located 10 cm from the microspeaker center. This radiated sound was represented by acoustic resistance (Ra-rad1) and acoustic mass (ma-rad1), collectively giving the radiation impedance (Za-rad1). The sound waves that radiated backward were propagated through the volume of the rear chamber, which was responsible for the cavity compliance impedance ZCar1. Additionally, it was estimated that the cavity behind the diaphragm is thin, resulting in a slit-like effect due to acoustic resistance Rag and acoustic mass mag, leading to impedance Zag. Collectively, this cavity was expressed with a T-circuit. Similarly, the sound propagating through the rear openings (vents) of the microspeaker demonstrated acoustic resistance Rah1 and acoustic mass mah1, collectively giving acoustic impedance Zah1, which was expressed with a T-circuit. The effect of cavity volume of the rear openings was taken care of by the cavity compliance impedance (ZCah1) in the T-circuit. A ventilation cloth covered the rear openings, and their combined acoustic impedance was estimated as Zap1. Finally, sound that radiated to the external environment was represented as a parallel combination of acoustic radiation resistance Ra-rad2 and acoustic radiation mass ma-rad2 resulting in acoustic radiation impedance Za-rad2.

Figure 3.
Schematic diagram of microspeaker on the barrier in an anechoic chamber.
Our group has reported detailed ECM modeling of loudspeaker (woofer) [], microspeaker [], earphones [,], and headphone []. The mathematical formulation used in the ECM of the current microspeaker is given below in brief:
All symbols have their usual meaning. Zm is the mechanical impedance of the diaphragm (assuming it as a simple spring-mass-dashpot system), Rm is the mechanical resistance, mm is the mechanical mass, and Cm is the mechanical compliance of the diaphragm. The blocked electrical impedance, Zeb is modeled as a series combination of the electrical inductance of VC (Le) and electrical resistance of VC (Re), along with the addition of a parallel combination of resistance due to eddy current (R2) and inductance induced at high frequency (L2). The acoustic impedance of the small duct/port/tube along with the cavity is modeled analogously to the “Helmholtz Resonator” as a series combination of acoustic mass (ma) and acoustic resistance (Ra). Thus, Zag is the acoustic impedance of the air gap below the diaphragm, and Zah1 is the effective acoustic impedance of the vent, such that Nah1 is the number of vents. The acoustic impedance of the cavity (ZCa) is calculated by the compliance of cavity (Ca), volume of cavity (Vc), density of air (ρ0), and speed of sound in air (c). Thus, ZCar1 represents the acoustic impedance of cavity below the diaphragm and ZCah1 represents the acoustic impedance cavity due to all vents. Finally, the acoustic cloth covered all vents, so Zap1 represents the acoustic impedance of acoustic cloth, by considering the number of vents (Nah1). For more details, readers can refer to our group’s earlier works [,,,,]. Further, ECM circuit has to be simplified by removing transformers to form a typical three loop circuit to solve it according to Kirchhoff’s voltage law. Loops are driven by velocities v1, v2, and v3, respectively, and can be represented by
where the impedance matrix Z is given by
and
The diaphragm velocity can be obtained by
Finally, the sound pressure p can be obtained by
where r (=10 cm, see Figure 3) is the distance of the microphone from the microspeaker. Finally, the sound pressure level of the microspeaker is the pressure level of the sound measured in decibels (dB) and abbreviated dBSPL. On axis SPL can be obtained by
where pref is the reference sound pressure in air, 2 × 10−5 N/m2 (0.00002 Pa). The pref is the lowest sound pressure possible for human hearing.
4. Inverse Calculation for Acoustic Impedance of Ventilation Cloth
The acoustic impedance of the ventilation cloth placed over vents is not easy to obtain, and, hence, has mostly been neglected in earlier research. Moreover, it may compromise the accuracy of the ECM circuit. In this study, an estimation of the acoustic impedance of the ventilation cloth was attempted. Due to the porous nature and thickness of the ventilation cloth, it was assumed that the contribution to acoustic impedance (Zap) was due to acoustic resistance (Rap) only and the effect of acoustic mass (map) was negligible. The PSO algorithm was used to set the SPL measurement curve as the target function, and the acoustic resistance of the ventilation cloth was obtained by inverse calculation. The PSO algorithm was proposed by Kenned and Eberhart [,] in 1995. It was originally conceived to imitate the movement of birds or fishes.
The transmission behavior of natural swarms or flocks with a group of particles dropped in the search space has been reported []. The PSO optimization revolves around two primary component methodologies. It is understandable due to its ties to artificial life and bird flocking (swarming). It is also related to evolutionary computation and links both genetic algorithms and evolutionary programming. The PSO comprises a straightforward concept that can be executed in a few lines of computer code, requires only primitive mathematical operators, and is computationally inexpensive (in terms of memory requirement and speed). The implementation of PSO relies on two things, nearest-neighbor velocity matching and craziness. Random initialization of the population of birds is performed on a torus pixel grid with a position and X and Y velocities. At each iteration, for each bird, with other agent as its nearest neighbor, determinations are made and X and Y velocities are assigned to the bird in focus. This simple rule creates synchrony of movement. However, the flock quickly settles on a unanimous, unchanging direction. Therefore, a stochastic variable called craziness has been introduced. Each iteration adds some change to randomly chosen X and Y velocities. Such factors introduce enough variation into the system to provide an exciting and “lifelike” appearance to the simulation, while at the same time being wholly artificial. Thus, using the concept of information sharing in a biological society to provides opportunities for the particles in a group to communicate with each other and exchange information in the search for a more effective solution for finding the system optimization parameters. In recent years, PSO has been widely used in acoustics including automatic adjustment of off-the-shelf reverberation effects [], comparison of optimization methods for compression driver design [], optimization of micro-perforated sound absorber [], and optimization of acoustic filters [].
In this work, the parameter to be solved was treated as a particle swarm, and its initial position was x. An objective function J(x, f) was defined to derive the best position x_opt (best solution) of this particle swarm, as follows:
The SPLm is the measured sound pressure level, and SPLs is the simulated sound pressure level (from the ECM model) of the microspeaker. When the objective function J(x, f) reached the minimum value during the optimization, the simulated SPL approaches the measured SPL. This indicates that the unknown parameter x in the objective function has converged to the optimal solution x_opt. The particle positions and velocities have to be updated continuously during particle movement as follows:
where is the position of the ith particle at the (k + 1)th iteration (new position), is the position at the kth iteration (original position), is a new velocity, is the original velocity, ω is the inertia weight, is the empirical weight of the particle, is the empirical weight of the group, and and are the random variables between 0 and 1. The random variables change randomly with each iteration, representing the random directions of particles and groups, respectively. Moreover, is the best solution of ith particle at the kth iteration, and is the kth best solution of the group. The best solution can be judged by the following formula
The Rap of 10 commonly used ventilation cloths were estimated their Rap in this work. These ventilation cloths were sub grouped into two categories viz. (1) Non-woven (NW-1 to NW-5, varying in thicknesses) and (b) Meshed (M-250 to M-450, varying in number of meshes). The details of all 10 ventilation cloths are provided in Table 2 and Table 3 (non-woven and meshed ventilation cloths, respectively).

Table 2.
Detailed specifications of non-woven ventilation cloths of irregular meshes.

Table 3.
Detailed specifications of meshed ventilation cloths with thickness of 8 × 10−5 m.
As aforementioned, the acoustic resistances of all ventilation cloths were estimated by inverse calculation. The ventilation cloths were glued over the vents to the rear side of the microspeaker (Figure 1d), and the frequency response curves were obtained by anechoic chamber measurements. The measured curves were set as a target function in the PSO implementation to estimate the acoustic resistance. The built-in function “particleswarm” in MATLAB software [] was used to execute the PSO algorithm. The syntax of the MATLAB “particleswarm” in-built function was “x = particleswarm(fun,nvars,lb,ub,options)” to attempts to find a vector “x” that achieves a local minimum of “fun” for the given number of design variables “nvars”. The “lb” and “ub” are the set of lower (0.01) and upper bounds (20) on the design variables (x) to find a solution in the range (lb ≤ x ≤ ub). “Options” include the default optimization parameters. The PSO consists of seven steps. Step 1 confirms the known parameters (T/S parameters) and target curve (SPLm). Step 2 establishes an ECM model and defines a “particle swarm” (parameter) to be optimized in the model. Step 3 uses a random number function to initialize the particle’s position and velocity (say k = 0, for the first iteration). The particle solution is substituted into the ECM in Step 4 to calculate SPLs. Further, the objective function is used to evaluate . Step 5 updates the velocity and position of each particle group by updating the particle’s velocity and substituting it to obtain updated position . In Step 6, the updated position is used to obtain and . Step 7 tests the convergence. If the convergence is derived, then the best particle swarm solution is provided. Otherwise, the process is repeated from Step 4. Thus, the best value of acoustic resistances of all ventilation cloths is determined separately.
In this work, the number of iterations was used as the condition for the termination of the calculations. The upper and lower boundaries of 10 to 50 times, number of particles of 20 to 50, number of iterations of 50 to 200, inertia weight ω of 0.729, and acceleration constants of 1.494 were set during PSO execution. All the PSO parameters are were based on []. Since the PSO algorithm is a random search algorithm, the results of each operation are different, so for the stability of result, multiple calculations must be made to obtain stable and convergent results. Hence, the coefficient of variation was obtained to measure the degree of dispersion of the probability distribution. The closer the coefficient of variation is to 1, the greater the degree of dispersion and stability of results. Thus, the acoustic resistances of all ventilation cloths were obtained for use in ECM simulation.
5. Measurements
The KLIPPEL measurement system was used to measure the T/S parameters of microspeaker DSH742-005 by adopting the laser vibrometry principle and standard procedures. The T/S parameters are a set of electromechanical parameters of the loudspeaker driver that define the actual low-frequency performance of the loudspeaker. Loudspeaker manufacturers provide these parameters in specification sheets to aid designers in selecting an appropriate loudspeaker. With these parameters, the designers can simulate the diaphragm’s position, velocity, and acceleration. In addition, the input impedance and the sound output of a system comprising a loudspeaker and an enclosure can also be simulated with these parameters. The effective diaphragm area of microspeaker at different frequencies can also be obtained with the SCN module in the KLIPPEL measurement system (Figure 4). Measurement of the frequency response of the microspeaker was done in an anechoic chamber (free space—600 cm (L) × 600 cm (W) × 340 cm (H), cutoff frequency ≦ 100 Hz), as shown in Figure 3. The microspeaker was fixed on the barrier to avoid interference between sound propagated by the microspeaker from front and rear sides. The B&K measurement microphone (B&K 4191). It is an externally polarized ½ inch free-field microphone suitable for measurement at 3.15 Hz–40 kHz. It is used for high-precision sound measurements and must be used with a classical preamplifier. The B&K 4191 is complies with IEC 61672 class 1. Initial measurements were carried out to obtain frequency responses of the microspeaker. Next, measurements were carried out to obtain the frequency responses of the microspeaker with different ventilation cloths, as shown in Figure 1d. These frequency responses were used to estimate the effects of different ventilation cloths on the frequency responses for the inverse calculation of acoustic resistances of different ventilation cloths for use in the ECM simulation.

Figure 4.
Schematic diagram of T/S parameter measurements of microspeaker using KLIPPEL measurement system.
6. Results and Discussion
First, the T/S parameters of microspeaker DSH742-005 have been obtained from the KLIPPEL measurement system (Figure 4) using laser vibrometry and are given in Table 4. These parameters define the specified low-frequency performance of a microspeaker. Other important parameters are also shown in Table 4.

Table 4.
Thiele/Small (T/S) parameters of DSH742-005.
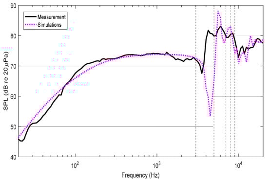
The frequency response curve of the microspeaker without ventilation cloth are shown in Figure 5. The simulated and measured curves are in agreement before the second resonance. The frequency response rises monotonously until the fundamental frequency and becomes flat afterwards until the next resonance frequency. The obvious error between frequency response is at the peak and valley, 4~5 kHz. This difference may arise from the impedance value of the rear openings (vents) of the microspeaker. It could also be due to the mode splitting of the diaphragm at high frequencies. Overall, based on the results, one can conclude that the ECM model of the microspeaker has accurately estimates the preliminary prediction of the characteristics of the microspeaker’s frequency response. Thus, the validity of the proposed ECM circuit (Figure 2) has been established, which leads to further was investigated.

Figure 5.
Simulated and measured of the frequency response curves of the microspeaker without ventilation cloth.
The initial results of the PSO algorithm implementation in terms of the number of particles and the number of iterations, are shown in Table 5. The coefficients of variation after 30 numbers of particles were all close to 0, indicating that the set of parameters exhibits stable convergence. With selection of the combination of 30 particles and 50 iterations, the result of the upper and lower boundaries are shown in Table 6. Stable and convergent results were obtained in the boundary range of 10 times to 40 times. However the boundary range of 50 times was too wide, resulting in error. Therefore, 10 times boundary range was decided on for the inverse calculation of ventilation cloth parameters. The acoustic resistances of each type of ventilation cloth are shown in Table 7.

Table 5.
Optimization of acoustic resistance of ventilation cloths, particle number, and coefficient of variation (Remarks: The upper and lower boundaries are in the range of 10 times the original parameter value (10~0.1)).

Table 6.
Optimization of acoustic resistance of ventilation cloths, upper and lower boundary tests (Remarks: 30 particles, 50 iterations).

Table 7.
Optimized values of acoustic resistance of various ventilation cloths.
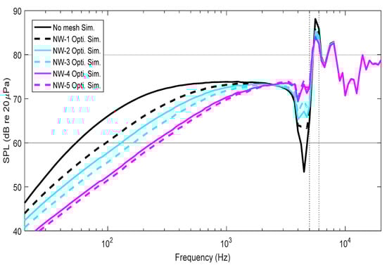
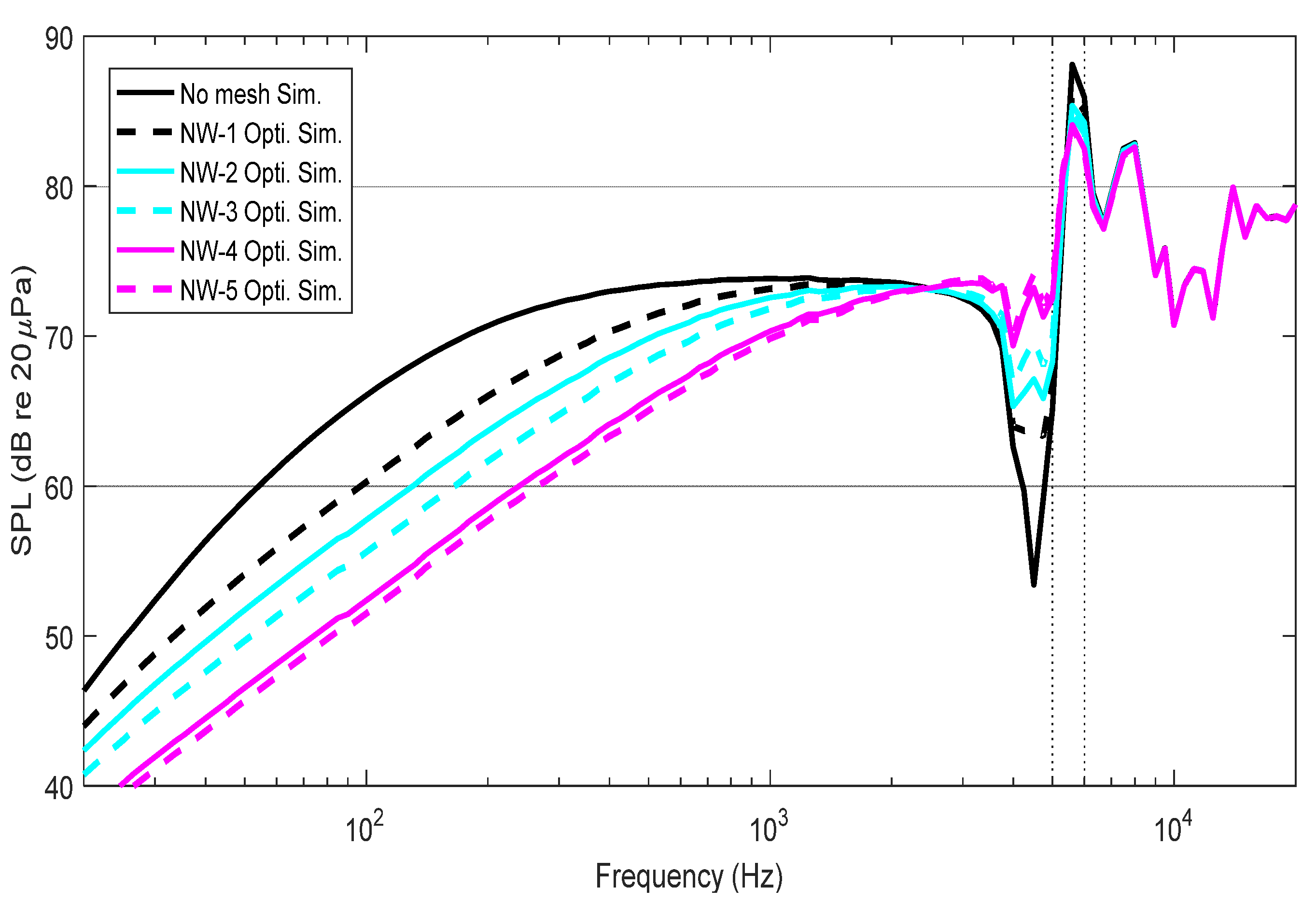
Figure 6 and Figure 7 present the measured and simulated results of the non-woven ventilation cloths, respectively. It can be observed from the measured curves that the influence of the type of ventilation cloth is mainly below 1 kHz. For comparison, the frequency response of microspeaker without ventilation cloth is also given. Below 1 kHz, the highest curve was for microspeaker without ventilation cloth and the remaining curves were progressively lowers as thickness of non-woven cloth increased. Moreover, the remaining curves tended to became relatively straight, facilitating ease of listening. The measurement curves with non-woven ventilation cloth exhibited flat frequency response after 1 kHz until the start of furious resonances. The sharp dip in the response without ventilation cloth was not evident among the remaining responses, ensuring the extension of the audible range to the microspeaker. The simulated curves (Figure 7) also showed similar trends to those of measured curves, thus confirming and validating the ECM model.

Figure 6.
Measured frequency responses of microspeaker without and with non-woven ventilation cloths (NW-1 to NW-5).

Figure 7.
Simulated frequency responses of microspeaker without and with non-woven ventilation cloths (NW-1 to NW-5).
Figure 8 and Figure 9 show the measured and simulated results of the meshed ventilation cloths, respectively. The measured responses of microspeaker with and without ventilation cloths show a definite effect. As aforementioned, the measured curves were influenced by the meshed ventilation cloths at mainly below 1 kHz. Moreover, as the number of meshes increased, the curves became lower and straighter below the fundamental resonances. The frequency range after 1 kHz was flat until the start of spurious resonance.

Figure 8.
Measured frequency responses of microspeaker without and with meshed ventilation cloths (M-250 to M-450).

Figure 9.
Simulated frequency responses of microspeaker without and with meshed ventilation cloths (M-250 to M-450).
Figure 6 and Figure 7 show the measured and simulated frequency responses of microspeaker without and with non-woven ventilation cloths (NW-1 to NW-5). Additionally, Figure 10a,b illustrate the comparison of measured and simulated frequency responses of microspeaker without and with non-woven ventilation cloths (NW-1 to NW-5). The measured and simulated responses show a good match, indicating that the ECM model can accurately predict the frequency response of microspeakers.

Figure 10.
(a) Measured and simulated frequency responses of microspeaker without and with non-woven ventilation cloths (NW-1 to NW-2) and (b) Measured and simulated frequency responses of microspeaker with non-woven ventilation cloths (NW-3 to NW-5).
Furthermore, Figure 11a,b show the comparisons of the measured and simulated frequency responses of microspeaker without and with meshed ventilation cloths (M-250 to M-450). As observed in Figure 11a,b, measured and simulated responses of microspeaker with and without meshed ventilation cloth are satisfactory. However, some variations between measured and simulated responses are seen for NW-1 to NW-5 (Figure 10a,b) at the start of the curve that is due to low frequency (high wavelength) and microspeaker dimensions. The same types of variations were also observed for M-250 to M-450. However, the differences observed at the second resonance (NW-1 to NW-5) might be due to resonance conditions. These observations and their corresponding explanations are also applicable to Figure 11a,b.

Figure 11.
(a) Measured and simulated frequency responses of microspeaker with meshed ventilation cloths (M-250 to M-300) and (b) Measured and simulated frequency responses of microspeaker with meshed ventilation cloths (M-350 to M-450).
7. Conclusions
PSO for the inverse calculations of the acoustic impedance of ventilation cloths provided good estimation of the acoustic impedance. The measured frequency response of the microspeaker was successfully used for PSO to produce stable and convergent results. Upper and lower boundaries of 10 to 50 times, number of particles of 20 to 50, and the number of iterations of 50 to 200 have provided acceptable results. When it is placed on the infinite baffle, the equivalent circuit of the microspeaker was successfully formed using the estimated values of the acoustic impedances of 10 common types of ventilation cloths (non-woven and woven). The measured and simulated responses of the microspeaker were found in good agreement. The simulated and measured responses showed variations in the low-frequency range; however, there was no significant deviation after the fundamental responses.
Author Contributions
Conceptualization, J.-H.H.; Methodology, J.-H.H.; Writing—Original Draft Preparation, S.J.P.; Writing—Review and Editing, Y.-C.L. All authors have read and agreed to the published version of the manuscript.
Funding
This research was supported by the Ministry of Science and Technology of Taiwan under Contract Nos. MOST 107-2221-E-035-074-MY3 and MOST 108-2218-E-035-007.
Institutional Review Board Statement
The study did not require ethical approval.
Informed Consent Statement
Not applicable.
Data Availability Statement
Not applicable.
Acknowledgments
The authors thank Merry Electronic Co. Taichung, Taiwan, and Listen Inc. for supplying the microspeaker and SoundCheck software, respectively.
Conflicts of Interest
The authors declare no conflict of interest.
References
- McLean, A. Loudspeaker design and application. IRE Trans. Audio 1957, 5, 30–40. [Google Scholar] [CrossRef]
- Chernof, J. Principles of loudspeaker design and operation. IRE Trans. Audio 1957, 5, 117–127. [Google Scholar] [CrossRef]
- Klippel, W.; Schlechter, J. Measurement and visualization of loudspeaker cone vibration. In Proceedings of the 121st Audio Engineering Society Convention, San Francisco, CA, USA, 5–8 October 2006. [Google Scholar]
- Aarts, R.M. High-efficiency low-Bl loudspeakers. J. Audio Eng. Soc. 2005, 53, 579–592. [Google Scholar]
- Aarts, R.M.; Nieuwendijk, J.A.M.; Ouweltjes, O. Efficient resonant loudspeakers with large form-factor design freedom. J. Audio Eng. Soc. 2006, 54, 940–953. [Google Scholar]
- Takewa, H.; Saiki, S.; Kano, S.; Inaba, A. Slim-type speaker for flat-panel televisions. IEEE Trans. Consum. Electron. 2006, 52, 189–195. [Google Scholar] [CrossRef]
- Small, R.H. Closed-box loudspeaker systems part I: Analysis. J. Audio Eng. Soc. 1972, 20, 798–808. [Google Scholar]
- Small, R.H. Closed-box loudspeaker systems—Part 2: Synthesis. J. Audio Eng. Soc. 1973, 21, 11–18. [Google Scholar]
- Small, R.H. Vented-box loudspeaker systems part I: Small-signal analysis. J. Audio Eng. Soc. 1973, 21, 363–372. [Google Scholar]
- Small, R.H. Vented box loudspeaker systems—Part II. J. Audio Eng. Soc. 1973, 21, 326–332. [Google Scholar]
- Small, R.H. Vented-box loudspeaker systems, part 3: Synthesis. J. Audio Eng. Soc. 1973, 21, 549–554. [Google Scholar]
- Small, R.H. Vented-box loudspeaker systems, part 4: Appendices. J. Audio Eng. Soc. 1973, 21, 635–639. [Google Scholar]
- Tashiro, M.; Bank, G.; Roberts, M. A new flat panel loudspeaker for portable multimedia. In Proceedings of the 103rd Audio Engineering Society Convention, New York, NY, USA, 26–29 September 1997. [Google Scholar]
- Hwang, G.Y.; Kim, H.G.; Hwang, S.M.; Kang, B.S. Analysis of harmonic distortion due to uneven magnetic field in a microspeaker used for mobile phones. IEEE Trans. Magn. 2002, 38, 2376–2378. [Google Scholar] [CrossRef]
- Hwang, G.Y.; Kim, K.T.; Chung, S.U.; Hwang, S.M.; Kang, B.S.; Hwang, I.C. Analysis of a dynamic speaker in mobile phones by considering mechanical, electrical, and magnetic coupling effects. J. Appl. Phys. 2002, 91, 6979–6981. [Google Scholar] [CrossRef]
- Hwang, S.M.; Hong, K.S.; Lee, H.J.; Kim, J.H.; Jeung, S.K. Reduction of harmonic distortion in dual magnet type microspeaker. IEEE Trans. Magn. 2004, 40, 3054–3056. [Google Scholar] [CrossRef]
- Hwang, S.M.; Kwon, J.H.; Hong, K.S. Development of woofer microspeakers used for cellular phones. IEEE Trans. Magn. 2005, 41, 3808–3810. [Google Scholar] [CrossRef]
- Bai, M.R.; Liao, J. Acoustic analysis and design of miniature loudspeakers for mobile phones. J. Audio Eng. Soc. 2005, 53, 1061–1076. [Google Scholar]
- Bai, M.R.; Liu, C.Y.; Chen, R.L. Optimization of microspeaker diaphragm pattern using combined finite element–lumped parameter models. IEEE Trans. Magn. 2008, 44, 2049–2057. [Google Scholar]
- Huang, J.H.; Her, H.C.; Shiah, Y.C.; Shin, S.J. Electroacoustic simulation and experiment on a miniature loudspeaker for cellular phones. J. Appl. Phys. 2008, 103, 033502. [Google Scholar] [CrossRef]
- Shiah, Y.C.; Her, H.C.; Huang, J.H. Parametric analysis for a miniature loudspeaker used in cellular phones. J. Appl. Phys. 2008, 104, 104905. [Google Scholar] [CrossRef]
- Moholkar, V.S.; Warmoeskerken, M.M.C.G. Acoustical characteristics of textile materials. Text. Res. J. 2003, 73, 827–837. [Google Scholar] [CrossRef]
- Nordgren, E.L.; Peter, G.; Deü, J.F.; Olivier, D. Vibroacoustic response sensitivity due to relative alignment of two anisotropic poro-elastic layers. J. Acoust. Soc. Am. 2013, 133, EL426–EL430. [Google Scholar] [CrossRef] [PubMed]
- Wintzell, L. Acoustic textiles: The case of wall panels for home environment. Bachelor’s Thesis, The Swedish School of Textiles, Borås, Sweden, 2013. [Google Scholar]
- John, R.B.; Axel, M.H. Grille for loudspeaker cabinet. J. Acoust. Soc. Am. 1981, 69, 892. [Google Scholar]
- Tsai, Y.T.; Shiah, Y.C.; Huang, J.H. Effects of porous materials in an insert earphone on its frequency response—Experiments and simulations. IEEE Trans. Ultrason. Ferroelectr. Freq. Control 2012, 59, 2537–2547. [Google Scholar] [PubMed]
- Liu, Y.C.; Huang, J.H.; Huang, C.H.; Her, H.C.; Chuang, Y.C. Evaluation of acoustic characteristics for various composite ventilation material by using impedance tube. Adv. Mater. Res. 2014, 910, 78–81. [Google Scholar] [CrossRef]
- McIntosh, J. Measurements of acoustical speaker loading impedance in headphones and loudspeakers. In Proceedings of the 139th Audio Engineering Society Convention, New York, NY, USA, 29 October–1 November 2015. [Google Scholar]
- Voice Coil. Acoustic Resistance Secret Sauce for Speakers. May 2011. Available online: https://audioxpress.com/article/Acoustic-Resistance-Secret-Sauce-for-Speakers (accessed on 1 October 2021).
- Horoshenkov, K.V. A review of acoustical methods for porous material characterisation. Int. J. Acoust. Vib. 2017, 22, 92–103. [Google Scholar] [CrossRef]
- Pawar, S.J.; Her, H.C.; Huang, J.H. Parametric simulation study of miniature loudspeaker for performance evaluation and improvement. In Proceedings of the 20th International Congress on Acoustics, ICA 2010, Sydney, Australia, 23–27 August 2010. [Google Scholar]
- Pawar, S.J.; Tsai, Y.T.; Huang, J.H. Acoustic simulation and frequency response analysis of 10 inch woofer incorporating reverse engineering. In Proceedings of the 1st International Conference on Recent Advances in Mechanical Engineering, ICRAME 2010, Kumaracoil, India, 8–9 April 2010. [Google Scholar]
- Huang, C.H.; Pawar, S.J.; Hong, Z.J.; Huang, J.H. Insert earphone modeling and measurement by IEC-60711 coupler. IEEE Trans. Ultrason. Ferroelectr. Freq. Control 2011, 58, 461–469. [Google Scholar] [CrossRef]
- Huang, C.H.; Pawar, S.J.; Hong, Z.J.; Huang, J.H. Earbud-type earphone modeling and measurement by head and torso simulator. Appl. Acoust. 2012, 73, 461–469. [Google Scholar] [CrossRef]
- Chen, J.R.; Pawar, S.J.; Huang, J.H. Structural modifications of headphone front chamber for better frequency response: Experimental and simulation studies. Acoust. Aust. 2021, 49, 69–82. [Google Scholar] [CrossRef]
- Kennedy, J.C.; Eberhart, R. Particle swarm optimization. In Proceedings of the ICNN’95—International Conference on Neural Networks, Perth, WA, Australia, 27 November–1 December 1995. [Google Scholar]
- Eberhart, R.C.; Kennedy, J. A new optimizer using particle swarm theory. In Proceedings of the MHS’95—Sixth International Symposium on Micro Machine and Human Science, Nagoya, Japan, 4–6 October 1995. [Google Scholar]
- Banks, A.; Vincent, J.; Anyakoha, C. A review of particle swarm optimization. Part I: Background and development. Nat. Comput. 2007, 6, 467–484. [Google Scholar] [CrossRef]
- Heise, S.; Hlatky, M.; Loviscach, J. Automatic adjustment of off-the-shelf reverberation effects. In Proceedings of the 126th Audio Engineering Society Convention, Munich, Germany, 7–10 May 2009. [Google Scholar]
- Gasparini, M.; Capucci, E.; Cecchi, S.; Toppi, R.; Piazza, F. A comparison of optimization methods for compression driver design. In Proceedings of the 140th Audio Engineering Society Convention, Paris, France, 4–7 June 2016. [Google Scholar]
- Tan, W.H.; Haslina, R.; Lim, E.A.; Chuah, H.G. Optimization of micro-perforated sound absorber using Particle Swarm Optimization (PSO). IOP Conf. Ser. Mater. Sci. Eng. 2019, 670, 012046. [Google Scholar] [CrossRef]
- Barbieri, R.; Barbieri, N.; Lima, K.F. Some applications of the PSO for optimization of acoustic filters. Appl. Acoust. 2015, 89, 62–70. [Google Scholar] [CrossRef]
- MathWorks R2021b. Particleswarm. Available online: https://in.mathworks.com/help/gads/particleswarm.html?s_tid=srchtitle_particleswarm_1 (accessed on 19 October 2021).
- Clerc, M.; Kennedy, J. The particle swarm-explosion, stability, and convergence in a multidimensional complex space. IEEE Trans. Evol. Comput. 2002, 6, 58–73. [Google Scholar] [CrossRef] [Green Version]
Publisher’s Note: MDPI stays neutral with regard to jurisdictional claims in published maps and institutional affiliations. |
© 2022 by the authors. Licensee MDPI, Basel, Switzerland. This article is an open access article distributed under the terms and conditions of the Creative Commons Attribution (CC BY) license (https://creativecommons.org/licenses/by/4.0/).