Exploring the Potential of Moringa Leaf Extract for Mitigation of Cadmium Stress in Triticum aestivum L.
Abstract
1. Introduction
2. Material and Method
2.1. Study Site and Experimental Design
2.2. Harvesting and Data Collection
2.3. Determination of Photosynthetic Pigments
2.4. Determination of Anthocyanin (µg/g FW)
2.5. Determination of Total Phenolic Contents (µg/g FW)
2.6. Determination of Flavonoid (µg/g FW)
2.7. Determination of Total Soluble Sugars (µmol/g FW)
2.8. Determination of Malondialdehyde (MDA) (µmol/g FW)
2.9. Determination of Hydrogen Peroxide (H2O2) (µmol/g FWT)
2.10. Determination of Calcium (Ca) and Sodium (Na) and Potassium (K) (mg/g DW)
2.11. Statistical Analysis
3. Results
3.1. Effect of MLE on Morphological Attributes of Plants
3.1.1. Shoot Length
3.1.2. Root Length
3.1.3. Leaf Area
3.1.4. Number of Leaves
3.1.5. Number of Tillers
3.1.6. Stem Diameter
3.2. Effect of MLE on Plant Biomass
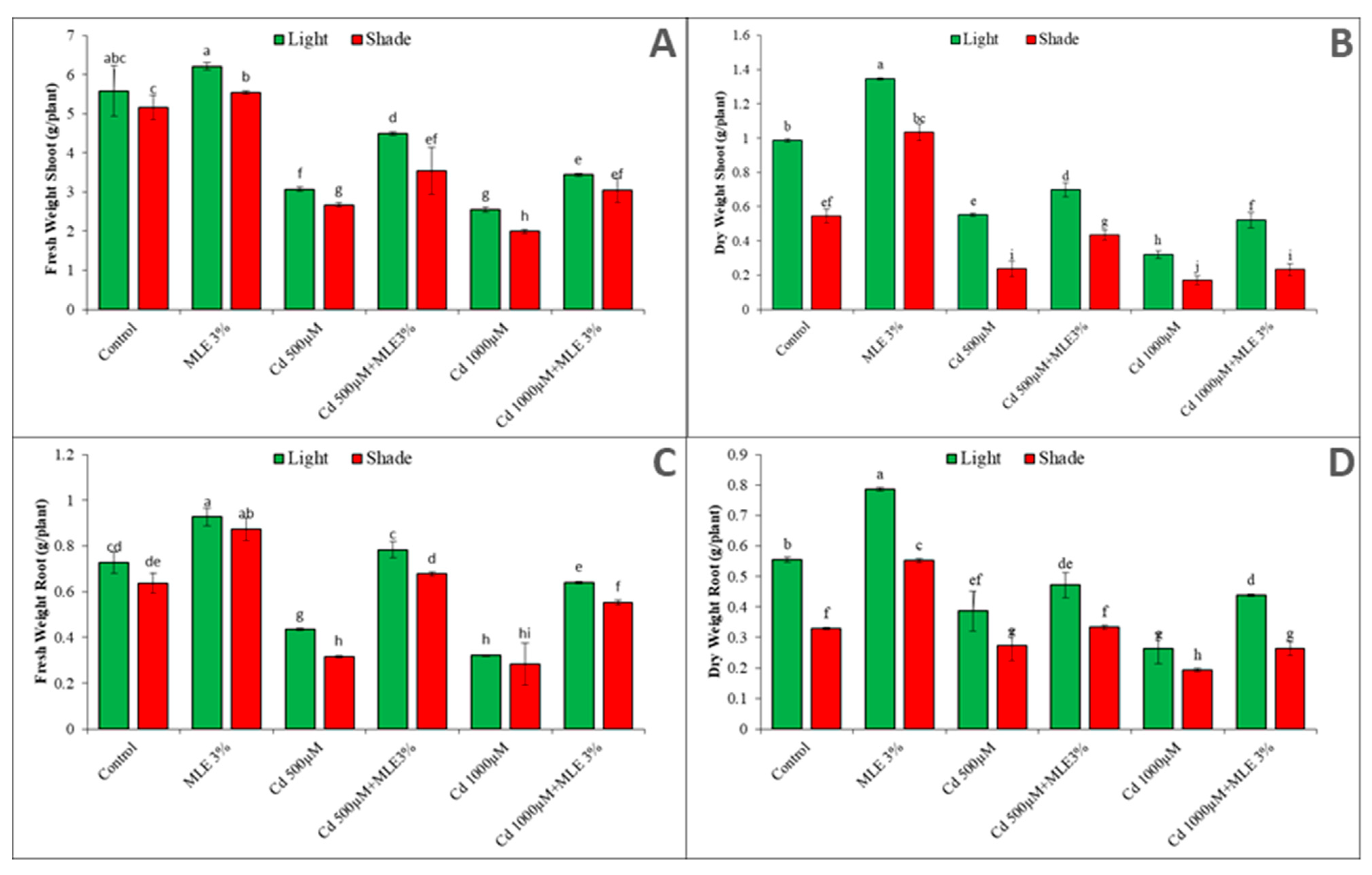
3.2.1. Shoot Fresh Weight
3.2.2. Shoot Dry Weight
3.2.3. Root Fresh Weight
3.2.4. Root Dry Weight
3.3. Effect of MLE on Plant Pigments
3.3.1. Chlorophyll a Contents
3.3.2. Chlorophyll b Content
3.3.3. Carotenoids
3.3.4. Shoot Anthocyanin
3.3.5. Root Anthocyanin
3.4. Effect of MLE on Reactive Oxygen Species
3.4.1. H2O2 Content of Shoot
3.4.2. MDA Content of Shoot
3.5. Effect of MLE on Plant Osmolytes Accumulation
3.5.1. Flavonoids Content of Shoot and Root
3.5.2. Phenolics Content of Shoot and Root
3.5.3. Total Soluble Sugar Content of Shoot and Root
3.6. Effect of MLE on Mineral Content
3.6.1. Calcium Content of Shoot and Root
3.6.2. Sodium Content of Shoot and Root
3.6.3. Potassium Content of Shoot and Root
4. Discussion
5. Conclusions
Author Contributions
Funding
Institutional Review Board Statement
Informed Consent Statement
Data Availability Statement
Acknowledgments
Conflicts of Interest
References
- Wang, X.; Cui, W.; Wang, M.; Liang, Y.; Zhu, G.; Jin, T.; Chen, X. The association between life-time dietary cadmium intake from rice and chronic kidney disease. Ecotoxicol. Environ. Saf. 2021, 211, 111933. [Google Scholar] [CrossRef] [PubMed]
- He, Z.L.; Yang, X.E.; Stofella, P.J. Trace elements in agroecosystems and impacts on the environment. J. Trace Elem. Med. Biol. 2005, 19, 125–140. [Google Scholar] [CrossRef] [PubMed]
- Chaney, R.L. How does contamination of rice soils with Cd and Zn cause high incidence of human Cd disease in subsistence rice farmers. Curr. Pollut. Rep. 2015, 1, 13–22. [Google Scholar] [CrossRef]
- Hao, S.; Ryu, D.; Western, A.; Perry, E.; Bogena, H.; Franssen, H.J.H. Performance of a wheat yield prediction model and factors influencing the performance: A review and meta-analysis. Agric. Syst. 2021, 194, 103278. [Google Scholar] [CrossRef]
- Abedi, T.; Mojiri, A. Cadmium uptake by wheat (Triticum aestivum L.): An overview. Plants 2020, 9, 500. [Google Scholar] [CrossRef]
- Noctor, G.; Reichheld, J.P.; Foyer, C.H. ROS-related redox regulation and signaling in plants. Semin. Cell Dev. Biol. 2018, 80, 3–12. [Google Scholar] [CrossRef] [PubMed]
- Yakhin, O.L.; Lubyanov, A.A.; Yakhin, I.A.; Brown, P.H. Biostimulants in plant science: A global perspective. Front. Plant Sci. 2017, 7, 2049. [Google Scholar] [CrossRef] [PubMed]
- Araújo, C.S.T.; Carvalho, D.C.; Rezende, H.C.; Almeida, I.L.S.; Coelho, N.M.M.; Marques, T.L.; Alves, V.N. Bioremediation of waters contaminated with heavy metals using Moringa oleifera Seeds as biosorbent. In Applied Bioremediation: Active and Passive Approaches; Intech: London, UK, 2013; pp. 227–255. [Google Scholar]
- Kerdsomboon, K.; Chumsawat, W.; Auesukaree, C. Effects of Moringa oleifera leaf extracts and its bioactive compound gallic acid on reducing toxicities of heavy metals and metalloid in Saccharomyces cerevisiae. Chemosphere 2021, 270, 128659. [Google Scholar] [CrossRef]
- Khalofah, A.; Bokhari, N.A.; Migdadi, H.M.; Alwahibi, M.S. Antioxidant responses and the role of Moringa oleifera leaf extract for mitigation of cadmium stressed Lepidium sativum L. S. Afr. J. Bot. 2020, 129, 341–346. [Google Scholar] [CrossRef]
- Hassanein, R.A.; Abd El-kader, A.F.; Faramawy, H.M. Alleviation of cadmium toxicity in Triticum aestivum using the coagulant defatted Moringa oleifera and Moringa pererina seeds powder. Egypt. J. Bot. 2016, 56, 573–594. [Google Scholar]
- Othmani, A.; Magdouli, S.; Kumar, P.S.; Kapoor, A.; Chellam, P.V.; Gökkuş, Ö. Agricultural waste materials for adsorptive removal of phenols, chromium (VI) and cadmium (II) from wastewater: A review. Environ. Res. 2022, 204, 111916. [Google Scholar] [CrossRef] [PubMed]
- Hua, Y.P.; Chen, J.F.; Shen, D.D.; Zhou, T.; Feng, Y.N.; Huang, S.M.; Zhou, Z.F.; Yue, C.; Huang, J.Y. Multiomics reveals an essential role of long-distance cadmium translocation in regulating plant cadmium resistance and grain cadmium accumulation in allohexaploid wheat (Triticum aestivum L.) genotypes. Res. Sq. 2022; preprint. [Google Scholar]
- Kibria, M.G.; Osman, K.T.; Ahmed, M.J. Cadmium and lead uptake by rice (Oryza sativa L.) grown in three different textured soils. Soil Environ. 2006, 25, 70–77. [Google Scholar]
- Vongsak, B.; Sithisarn, P.; Mangmool, S.; Thongpraditchote, S.; Wongkrajang, Y.; Gritsanapan, W. Maximizing total phenolics, total flavonoids contents and antioxidant activity of Moringa oleifera leaf extract by the appropriate extraction method. Ind. Crops Prod. 2013, 44, 566–571. [Google Scholar] [CrossRef]
- Arnon, D.I. Copper Enzyme in isolated chloroplasts. Polyphenoloxidase in Beta vulgaris. Plant Physiol. 1949, 24, 1–15. [Google Scholar] [CrossRef] [PubMed]
- Stark, D.; Wray, V. Anthocyanins. In Methods in Plant Biology; Harborne, J.B., Ed.; Acdemic Press Ltd.: Cambridge, MA, USA, 1989; Volume 1, pp. 326–356. [Google Scholar]
- Julkunen-Tiitto, R. Phenolic constituents in the leaves of northern willows: Methods for the analysis of certain phenolics. J. Agric. Food Chem. 1985, 33, 213–217. [Google Scholar] [CrossRef]
- Mukherjee, S.; Choudhuri, M. Implications of water stress-induced changes in the levels of endogenous ascorbic acid and hydrogen peroxide in Vigna seedlings. Physiol. Plant 1983, 58, 166–170. [Google Scholar] [CrossRef]
- Yoshida, Y.; Funahashi, Y. On the extraction and size distribution determination of large non-metallic inclusions in steel by slime method. Trans. Iron Steel Inst. Jpn. 1976, 16, 628–636. [Google Scholar] [CrossRef][Green Version]
- Heath, R.L.; Packer, L. Photoperoxidation in isolated chloroplasts: I. Kinetics and stoichiometry of fatty acid peroxidation. Arch. Biochem. Biophys. 1968, 125, 189–198. [Google Scholar] [CrossRef]
- Velikova, V.; Yordanov, I.; Edreva, A. Oxidative stress and some antioxidant systems in acid rain-treated bean plants: Protective role of exogenous polyamines. Plant Sci. 2000, 15, 59–66. [Google Scholar] [CrossRef]
- Kamran, M.; Malik, Z.; Parveen, A.; Zong, Y.; Abbasi, G.H.; Rafiq, M.T. Biochar alleviates Cd phytotoxicity by minimizing bioavailability and oxidative stress in pak choi (Brassica chinensis L.) cultivated in Cd-polluted soil. J. Environ. Manag. 2019, 250, 109500. [Google Scholar] [CrossRef]
- Maishanu, H.M.; Mainasara, M.M.; Yahaya, S.; Yunusa, A. The Use of Moringa Leaves Extract as a Plant Growth Hormone on Cowpea (Vigna Anguiculata). Path Sci. 2017, 3, 3001–3006. [Google Scholar] [CrossRef]
- Song, W.; Mendoza-cózatl, D.G.; Lee, Y.; Schroeder, J.I.; Ahn, S.; Lee, H.; Wicker, T.; Martinoia, E. Phytochelatin–metal(loid) transport into vacuoles shows different substrate preferences in barley and Arabidopsis. Plant Cell Environ. 2014, 37, 1192–1201. [Google Scholar] [CrossRef] [PubMed]
- Arif, Y.; Bajguz, A.; Hayat, S. Moringa oleifera Extract as a Natural Plant Biostimulant. J. Plant Growth Regul. 2022, 1–16. [Google Scholar] [CrossRef]
- Chen, Z.; Liu, Q.; Chen, S.; Zhang, S.; Wang, M.; Munir, M.A.M.; Feng, Y.; He, Z.; Yang, X. Roles of exogenous plant growth regulators on phytoextraction of Cd/Pb/Zn by Sedum alfredii Hance in contaminated soils. Environ. Pollut. 2022, 293, 118510. [Google Scholar] [CrossRef] [PubMed]
- Amirjani, M. Effects of cadmium on wheat growth and some physiological factors. Int. J. For. Soil Eros. 2012, 2, 50–58. [Google Scholar]
- Gao, M.; Liu, Y.; Dong, Y.; Song, Z. Effect of polyethylene particles on dibutyl phthalate toxicity in lettuce (Lactuca sativa L.). J. Hazard. Mater. 2021, 401, 123422. [Google Scholar] [CrossRef]
- Hussain, S.; Iqbal, N.; Ting, P.; Khan, M.N.; Liu, W.G.; Yang, W.Y. Weak stem under shade reveals the lignin reduction behavior. J. Integr. Agric. 2019, 18, 496–505. [Google Scholar] [CrossRef]
- Alharby, H.F.; Al-Zahrani, H.S.; Hakeem, K.R.; Alsamadany, H.; Desoky, E.-S.M.; Rady, M.M. Silymarin-enriched biostimulant foliar application minimizes the toxicity of cadmium in maize by suppressing oxidative stress and elevating antioxidant gene expression. Biomolecules 2021, 11, 465. [Google Scholar] [CrossRef]
- Lu, M.; Yu, S.; Lian, J.; Wang, Q.; He, Z.; Feng, Y. Physiological and metabolomics responses of two wheat (Triticum aestivum L.) genotypes differing in grain cadmium accumulation. Sci. Total Environ. 2021, 769, 145345. [Google Scholar] [CrossRef]
- Basu, S.; Prabhakar, A.A.; Kumari, S.; Kumar, R.R.; Shekhar, S.; Prakash, K.; Singh, J.P.; Singh, G.P.; Prasad, R.; Kumar, G. Micronutrient and redox homeostasis contribute to Moringa oleifera-regulated drought tolerance in wheat. Plant Growth Regul. 2022, 1–12. [Google Scholar] [CrossRef]
- Dawood, M.G. Effect of priming with proline on the performance of two wheat cultivars. Agric. Eng. Int. CIGR J. 2021, 23, 211–219. [Google Scholar]
- Farhat, F.; Arfan, M.; Wang, X.; Tariq, A.; Kamran, M.; Tabassum, H.N.; Tariq, I.; Mora-Poblete, F.; Iqbal, R.; El-Sabrout, A.M.; et al. The Impact of Bio-Stimulants on Cd-Stressed Wheat (Triticum aestivum L.): Insights Into Growth, Chlorophyll Fluorescence, Cd Accumulation, and Osmolyte Regulation. Front. Plant Sci. 2022, 13. [Google Scholar] [CrossRef] [PubMed]






Publisher’s Note: MDPI stays neutral with regard to jurisdictional claims in published maps and institutional affiliations. |
© 2022 by the authors. Licensee MDPI, Basel, Switzerland. This article is an open access article distributed under the terms and conditions of the Creative Commons Attribution (CC BY) license (https://creativecommons.org/licenses/by/4.0/).
Share and Cite
Mahmood, S.; Ahmad, W.; Ali, Z.; Eed, E.M.; Khalifa, A.S.; Naeem, M.; Bibi, A.; Tahir, A.; Waqas, K.; Wahid, A. Exploring the Potential of Moringa Leaf Extract for Mitigation of Cadmium Stress in Triticum aestivum L. Appl. Sci. 2022, 12, 8199. https://doi.org/10.3390/app12168199
Mahmood S, Ahmad W, Ali Z, Eed EM, Khalifa AS, Naeem M, Bibi A, Tahir A, Waqas K, Wahid A. Exploring the Potential of Moringa Leaf Extract for Mitigation of Cadmium Stress in Triticum aestivum L. Applied Sciences. 2022; 12(16):8199. https://doi.org/10.3390/app12168199
Chicago/Turabian StyleMahmood, Saba, Waqar Ahmad, Zeba Ali, Emad M. Eed, Amany S. Khalifa, Muhammad Naeem, Amir Bibi, Ayesha Tahir, Kashif Waqas, and Abdul Wahid. 2022. "Exploring the Potential of Moringa Leaf Extract for Mitigation of Cadmium Stress in Triticum aestivum L." Applied Sciences 12, no. 16: 8199. https://doi.org/10.3390/app12168199
APA StyleMahmood, S., Ahmad, W., Ali, Z., Eed, E. M., Khalifa, A. S., Naeem, M., Bibi, A., Tahir, A., Waqas, K., & Wahid, A. (2022). Exploring the Potential of Moringa Leaf Extract for Mitigation of Cadmium Stress in Triticum aestivum L. Applied Sciences, 12(16), 8199. https://doi.org/10.3390/app12168199

