Surface Topographical Control of a Liquid Crystal Microlens Array Embedded in a Polymer Network
Abstract
:1. Introduction
2. Materials and Methods
2.1. Materials
2.2. Sample Preparation
2.3. Microlens Array Fabrication
2.4. Surface Topographical Characterization
2.5. Focal Length Measurement
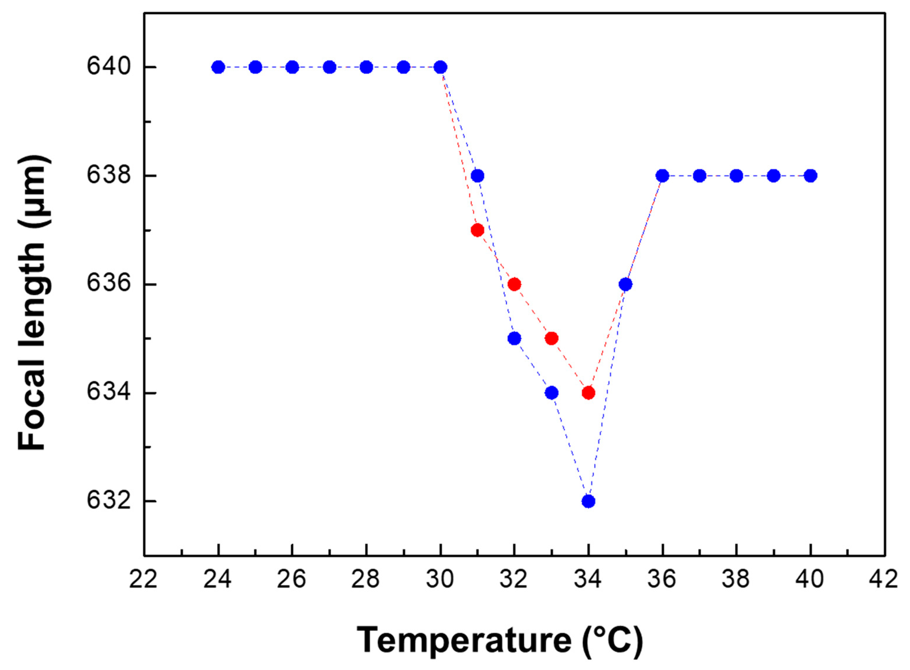
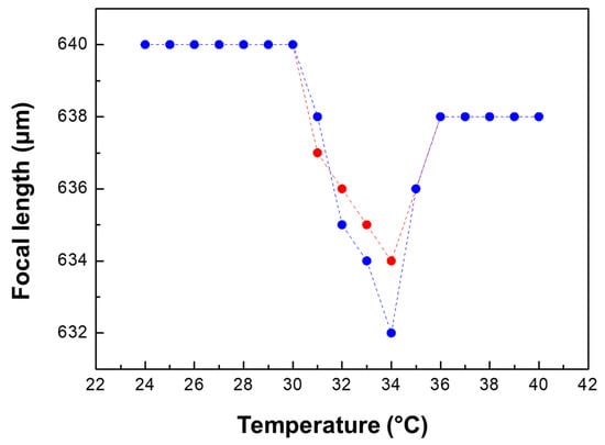
3. Results and Discussion
4. Conclusions
Author Contributions
Funding
Institutional Review Board Statement
Informed Consent Statement
Data Availability Statement
Acknowledgments
Conflicts of Interest
References
- Zel’Dovich, B.Y.; Pilipetskii, N.; Sukhov, A.; Tabiryan, N. Giant optical nonlinearity in the mesophase of a nematic liquid crystal (NCL). J. Exp. Theor. Phys. Lett. 1980, 31, 263–267. [Google Scholar]
- Zolot’Ko, A.S.; Kitaeva, V.F.; Kroo, N.; Sobolev, N.N.; Chillag, L. The effect of an optical field on the nematic phase of the liquid crystal OCBP. J. Exp. Theor. Phys. Lett. 1980, 32, 158–162. [Google Scholar] [CrossRef]
- Durbin, S.D.; Arakelian, S.M.; Shen, Y.R. Optical-Field-Induced Birefringence and Freedericksz Transition in a Nematic Liquid Crystal. Phys. Rev. Lett. 1981, 47, 1411–1414. [Google Scholar] [CrossRef]
- Tabiryan, N.V.; Zel’Dovich, B.Y. The Orientational Optical Non-linearity of Liquid Crystals. I. Nematics. Mol. Cryst. Liq. Cryst. 1980, 62, 237–250. [Google Scholar] [CrossRef]
- Khoo, I.C. Nonlinear optics of liquid crystalline materials. Phys. Rep. 2009, 471, 221–267. [Google Scholar] [CrossRef]
- Khoo, I.C. Extreme nonlinear optics of nematic liquid crystals. J. Opt. Soc. Am. B 2011, 28, A45–A55. [Google Scholar] [CrossRef]
- Zhang, H.; Shiino, S.; Shishido, A.; Kanazawa, A.; Tsutsumi, O.; Shiono, T.; Ikeda, T. A thiophene liquid crystal as a novel π-Conjugated dye for photo-manipulation of molecular alignment. Adv. Mater. 2000, 12, 1336–1339. [Google Scholar] [CrossRef]
- Zhang, H.; Shiino, S.; Tsutsumi, O.; Kanazawa, A.; Shiono, T.; Ikeda, T. Photoinduced Reorientation of Liquid Crystals Doped with a Mesogenic Oligothiophene. Mol. Cryst. Liq. Cryst. Sci. Technol. Sect. A 2001, 368, 369–376. [Google Scholar] [CrossRef]
- Jánossy, I.; Lloyd, A.D.; Wherrett, B.S. Anomalous Optical Freedericksz Transition in an Absorbing Liquid Crystal. Mol. Cryst. Liq. Cryst. 1990, 179, 1–12. [Google Scholar] [CrossRef]
- Janossy, I.; Kosa, T. Influence of anthraquinone dyes on optical reorientation of nematic liquid crystals. Opt. Lett. 1992, 17, 1183–1185. [Google Scholar] [CrossRef]
- Jánossy, I.; Lloyd, A.D. Low-Power Optical Reorientation in Dyed Nematics. Mol. Cryst. Liq. Cryst. 1991, 203, 77–84. [Google Scholar] [CrossRef]
- Aihara, Y.; Kinoshita, M.; Wang, J.; Mamiya, J.-I.; Priimagi, A.; Shishido, A. Polymer Stabilization Enhances the Orientational Optical Nonlinearity of Oligothiophene-Doped Nematic Liquid Crystals. Adv. Opt. Mater. 2013, 1, 787–791. [Google Scholar] [CrossRef]
- Wang, J.; Aihara, Y.; Kinoshita, M.; Shishido, A. Effect of polymer concentration on self-focusing effect in oligothiophene-doped polymer-stabilized liquid crystals. Opt. Mater. Express 2015, 5, 538–548. [Google Scholar] [CrossRef]
- Kikuchi, H.; Yokota, M.; Hisakado, Y.; Yang, H.; Kajiyama, T. Polymer-stabilized liquid crystal blue phases. Nat. Mater. 2002, 1, 64–68. [Google Scholar] [CrossRef]
- Hisakado, Y.; Kikuchi, H.; Nagamura, T.; Kajiyama, T. Large electro-optic Kerr effect in polymer-stabilized liquid-crystalline blue phases. Adv. Mater. 2005, 17, 96–98. [Google Scholar] [CrossRef]
- Wang, J.; Aihara, Y.; Kinoshita, M.; Mamiya, J.-I.; Priimagi, A.; Shishido, A. Laser-pointer-induced self-focusing effect in hybrid-aligned dye-doped liquid crystals. Sci. Rep. 2015, 5, 9890. [Google Scholar] [CrossRef] [PubMed] [Green Version]
- Usui, K.; Katayama, E.; Wang, J.; Hisano, K.; Akamatsu, N.; Shishido, A. Effect of surface treatment on molecular reorientation of polymer-stabilized liquid crystals doped with oligothiophene. Polym. J. 2017, 49, 209–214. [Google Scholar] [CrossRef]
- Matsumoto, K.; Usui, K.; Akamatsu, N.; Shishido, A. Molecular reorientation behavior of oligothiophene-doped polymer-stabilized liquid crystals irradiated with collimated laser beam. Mol. Cryst. Liq. Cryst. 2020, 713, 46–54. [Google Scholar] [CrossRef]
- Matsumoto, K.; Usui, K.; Akamatsu, N.; Shishido, A. Nonlinear Molecular Reorientation of Polymer-Stabilized Dye-Doped Liquid Crystals by Depolarized Laser Beam. J. Photopolym. Sci. Technol. 2020, 33, 77–80. [Google Scholar] [CrossRef]
- Usui, K.; Matsumoto, K.; Katayama, E.; Akamatsu, N.; Shishido, A. A Deformable Low-Threshold Optical Limiter with Oligothiophene-Doped Liquid Crystals. ACS Appl. Mater. Interfaces 2021, 13, 23049–23056. [Google Scholar] [CrossRef]
- Wu, M.-H.; Park, C.; Whitesides, G.M. Fabrication of Arrays of Microlenses with Controlled Profiles Using Gray-Scale Microlens Projection Photolithography. Langmuir 2002, 18, 9312–9318. [Google Scholar] [CrossRef]
- Zhang, L.; Ma, X.Z.; Zhuang, J.L.; Qiu, C.K.; Du, C.L.; Tang, J.; Tian, Z.W. Microfabrication of a Diffractive Microlens Array on n-GaAs by an Efficient Electrochemical Method. Adv. Mater. 2007, 19, 3912–3918. [Google Scholar] [CrossRef]
- Yong, J.; Chen, F.; Yang, Q.; Du, G.; Bian, H.; Zhang, D.; Si, J.; Yun, F.; Hou, X. Rapid Fabrication of Large-Area Concave Microlens Arrays on PDMS by a Femtosecond Laser. ACS Appl. Mater. Interfaces 2013, 5, 9382–9385. [Google Scholar] [CrossRef] [PubMed]
- Wu, L.; Xie, H. A millimeter-tunable-range microlens for endoscopic biomedical imaging applications. IEEE J. Quantum Electron. 2010, 46, 1237–1244. [Google Scholar] [CrossRef]
- Choi, Y.; Kim, H.-R.; Lee, K.-H.; Lee, Y.-M.; Kim, J.-H. A liquid crystalline polymer microlens array with tunable focal intensity by the polarization control of a liquid crystal layer. Appl. Phys. Lett. 2007, 91, 221113. [Google Scholar] [CrossRef] [Green Version]
- Park, M.-K.; Park, H.; Joo, K.-I.; Lee, T.-H.; Kwon, K.-C.; Erdenebat, M.-U.; Lim, Y.-T.; Kim, N.; Kim, H.-R. Fast-switching laterally virtual-moving microlens array for enhancing spatial resolution in light-field imaging system without degradation of angular sampling resolution. Sci. Rep. 2019, 9, 11297. [Google Scholar] [CrossRef] [Green Version]
- Krupenkin, T.; Yang, S.; Mach, P. Tunable liquid microlens. Appl. Phys. Lett. 2003, 82, 316–318. [Google Scholar] [CrossRef]
- Mishra, K.; Murade, C.; Carreel, B.; Roghair, I.; Oh, J.M.; Manukyan, G.; van den Ende, D.; Mugele, F. Optofluidic lens with tunable focal length and asphericity. Sci. Rep. 2014, 4, 6378. [Google Scholar] [CrossRef] [Green Version]
- Yaegashi, M.; Kinoshita, M.; Shishido, A.; Ikeda, T. Direct Fabrication of Microlens Arrays with Polarization Selectivity. Adv. Mater. 2007, 19, 801–804. [Google Scholar] [CrossRef]
- Kinoshita, M.; Kobayashi, T.; Shishido, A.; Ikeda, T. Fabrication of a Liquid Crystal Microlens Array Film with Oligothiophene-Doped Polymerizable Liquid Crystals. Mol. Cryst. Liq. Cryst. 2009, 511, 298–308. [Google Scholar] [CrossRef]
- Ishiguro, M.; Sato, D.; Shishido, A.; Ikeda, T. Bragg-Type Polarization Gratings Formed in Thick Polymer Films Containing Azobenzene and Tolane Moieties. Langmuir 2007, 23, 332–338. [Google Scholar] [CrossRef] [PubMed]










Publisher’s Note: MDPI stays neutral with regard to jurisdictional claims in published maps and institutional affiliations. |
© 2022 by the authors. Licensee MDPI, Basel, Switzerland. This article is an open access article distributed under the terms and conditions of the Creative Commons Attribution (CC BY) license (https://creativecommons.org/licenses/by/4.0/).
Share and Cite
Mejia, J.C.; Aizawa, M.; Hisano, K.; Matsumoto, K.; Hashimoto, S.; Kubo, S.; Shishido, A. Surface Topographical Control of a Liquid Crystal Microlens Array Embedded in a Polymer Network. Appl. Sci. 2022, 12, 7901. https://doi.org/10.3390/app12157901
Mejia JC, Aizawa M, Hisano K, Matsumoto K, Hashimoto S, Kubo S, Shishido A. Surface Topographical Control of a Liquid Crystal Microlens Array Embedded in a Polymer Network. Applied Sciences. 2022; 12(15):7901. https://doi.org/10.3390/app12157901
Chicago/Turabian StyleMejia, Jose Carlos, Miho Aizawa, Kyohei Hisano, Kohsuke Matsumoto, Sayuri Hashimoto, Shoichi Kubo, and Atsushi Shishido. 2022. "Surface Topographical Control of a Liquid Crystal Microlens Array Embedded in a Polymer Network" Applied Sciences 12, no. 15: 7901. https://doi.org/10.3390/app12157901
APA StyleMejia, J. C., Aizawa, M., Hisano, K., Matsumoto, K., Hashimoto, S., Kubo, S., & Shishido, A. (2022). Surface Topographical Control of a Liquid Crystal Microlens Array Embedded in a Polymer Network. Applied Sciences, 12(15), 7901. https://doi.org/10.3390/app12157901

