Long-Term Thermo-Hydraulic Numerical Assessment of Thermo-Active Piles—A Case of Tropical Soils
Abstract
:1. Introduction
2. Numerical, Modeling of the Long-Term Performance of Thermo-Active Piles
2.1. Heat Transfer Mechanisms
2.1.1. Heat Transfer between Thermo-Active Geostructures and Soil Masses
2.1.2. Thermal Exchange Power Evaluation
2.2. Energy Demand Assessment
2.2.1. Climatic Conditions in Brazil
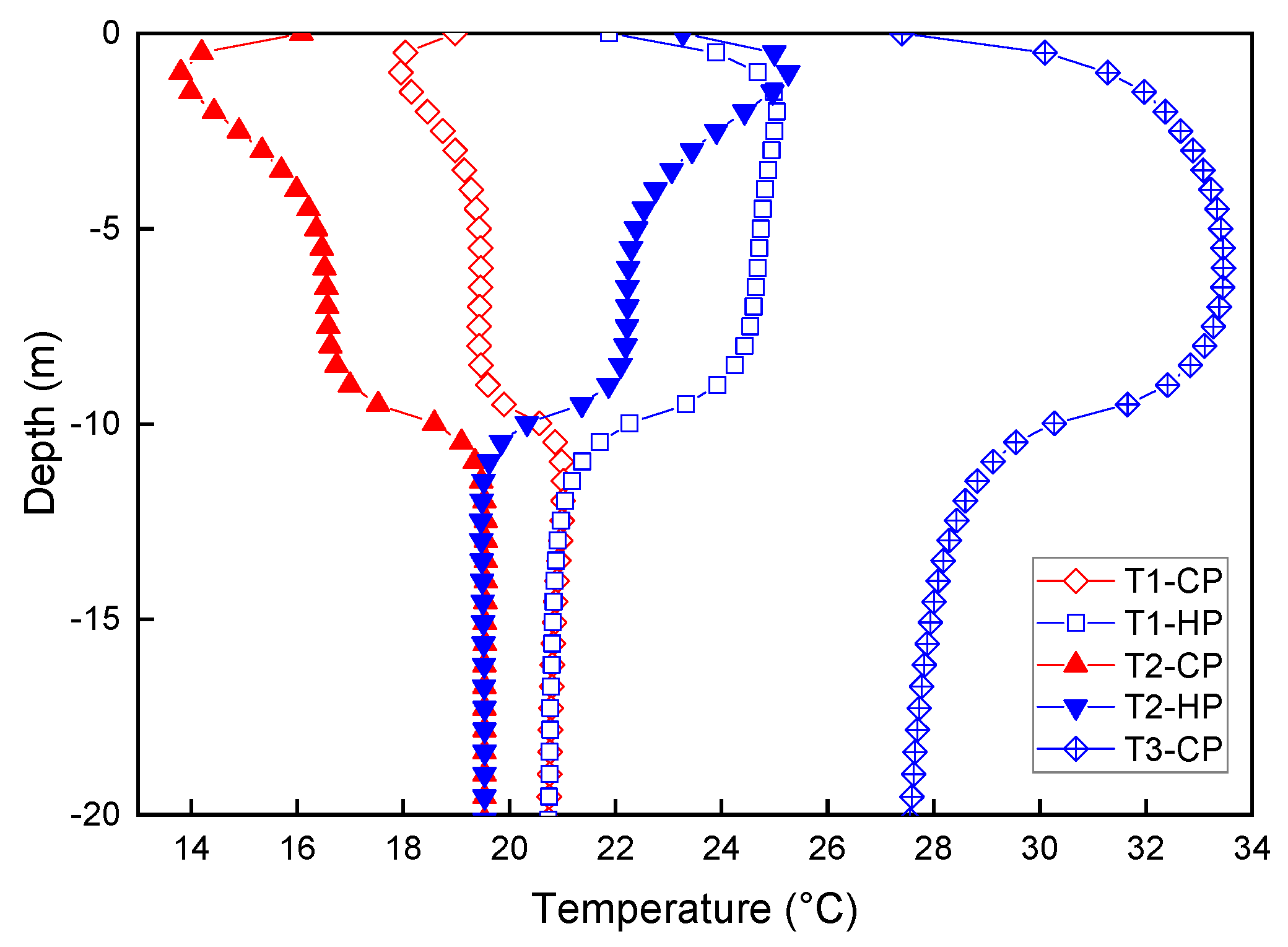
2.2.2. Thermal Solicitations
2.3. Ground Investigations
2.3.1. Tropical Soil Thermal Properties—In Situ Measurements (TRT)
- The undisturbed ground temperature: 297.85 K,
- The effective thermal conductivity λeff: 2.82 W/m/K,
- The average pile thermal resistance Rb: 0.13 m·K/W.
2.3.2. Ground Temperature
2.3.3. Groundwater Conditions
3. Results
3.1. Geometry and Boundary Conditions
3.2. Results and Discussions
3.2.1. Influence of Imposed Thermal Solicitation
3.2.2. Influence of Pile Diameter
3.2.3. Influence of Groundwater Flow
4. Conclusions
Author Contributions
Funding
Institutional Review Board Statement
Informed Consent Statement
Data Availability Statement
Conflicts of Interest
References
- REN21. Renewables 2022 Global Status REPORT (GSR); REN21: Paris, France, 2022. [Google Scholar]
- Di Donna, A.; Rotta Loria, A.F.; Laloui, L. Numerical Study of the Response of a Group of Energy Piles under Different Combinations of Thermo-Mechanical Loads. Comput. Geotech. 2016, 72, 126–142. [Google Scholar] [CrossRef]
- Mohamad, Z.; Fardoun, F.; Meftah, F. A Review on Energy Piles Design, Evaluation, and Optimization. J. Clean. Prod. 2021, 292, 125802. [Google Scholar] [CrossRef]
- Cecinato, F.; Salciarini, D. Energy Performance Assessment of Thermo-Active Micro-Piles via Numerical Modeling and Statistical Analysis. Geomech. Energy Environ. 2022, 29, 100268. [Google Scholar] [CrossRef]
- Brandl, H. Energy Foundations and Other Thermo-Active Ground Structures. Geotechnique 2006, 56, 81–122. [Google Scholar] [CrossRef]
- VDI. Utilization of the Subsurface for Thermal Purposes—Underground Thermal Energy Storage; Beuth Verlag GmbH: Berlin, Germany, 2001. [Google Scholar]
- SIA. Nutzung Der Erdwärme Mit Fundationspfählen Und Anderen Erdberührten Betonbauteilen. Schweizer Ingenieur Und Architektenverband; SIA: Zürich, Switzerland, 2005. [Google Scholar]
- National House Building Council (NHBC). Efficient Design of Piled Foundations for Low Rise Housing, Design Guide; NHBC: Milton Keynes, UK, 2010. [Google Scholar]
- French Recommendations. Recommandations Pour La Conception, Le Dimensionnement et La Mise En Oeuvre Des Géostructures Thermiques. Rev. Fr. Geotech. 2016, 1, 149. [Google Scholar] [CrossRef]
- Alberdi-Pagola, M.; Poulsen, S.E.; Jensen, R.L.; Madsen, S. Thermal Design Method for Multiple Precast Energy Piles. Geothermics 2019, 78, 201–210. [Google Scholar] [CrossRef]
- Sterpi, D.; Angelotti, A.; Habibzadeh-Bigdarvish, O.; Jalili, D. Assessment of Thermal Behaviour of Thermo-Active Diaphragm Walls Based on Monitoring Data. J. Rock Mech. Geotech. Eng. 2018, 10, 1145–1153. [Google Scholar] [CrossRef]
- Cunha, R.P.; Bourne-Webb, P.J. A Critical Review on the Current Knowledge of Geothermal Energy Piles to Sustainably Climatize Buildings. Renew. Sustain. Energy Rev. 2022, 158, 112072. [Google Scholar] [CrossRef]
- Saggu, R. Cyclic Pile-Soil Interaction Effects on Load-Displacement Behavior of Thermal Pile Groups in Sand. Geotech. Geol. Eng. 2022, 40, 647–661. [Google Scholar] [CrossRef]
- Cherati, D.Y.; Ghasemi-Fare, O. Practical Approaches for Implementation of Energy Piles in Iran Based on the Lessons Learned from the Developed Countries Experiences. Renew. Sustain. Energy Rev. 2021, 140, 110748. [Google Scholar] [CrossRef]
- Olgun, C.G.; Ozudogru, T.Y.; Abdelaziz, S.L.; Senol, A. Long-Term Performance of Heat Exchanger Piles. Acta Geotech. 2015, 10, 553–569. [Google Scholar] [CrossRef]
- Santos Sá, L.M.; Hernandez Neto, A.; Tsuha, C.D.H.C.; Pessin, J.; Freitas, M.C.D.; Morais, T.D.S.O. Thermal Design of Energy Piles for a Hotel Building in Subtropical Climate: A Case Study in São Paulo, Brazil. Soils Rocks 2022, 45. [Google Scholar]
- Sittidumrong, J.; Jotisankasa, A.; Chantawarangul, K. Effect of Thermal Cycles on Volumetric Behaviour of Bangkok Sand. Geomech. Energy Environ. 2019, 20, 100127. [Google Scholar] [CrossRef]
- Morais, T.D.S.O.; Tsuha, C.D.H.C.; Neto, L.A.B.; Singh, R.M. Effects of Seasonal Variations on the Thermal Response of Energy Piles in an Unsaturated Brazilian Tropical Soil. Energy Build. 2020, 216, 109971. [Google Scholar] [CrossRef]
- Roy, D.; Chakraborty, T.; Basu, D.; Bhattacharjee, B. Feasibility and Performance of Ground Source Heat Pump Systems for Commercial Applications in Tropical and Subtropical Climates. Renew. Energy 2020, 152, 467–483. [Google Scholar] [CrossRef]
- Casagrande, B.; Saboya, F.; McCartney, J.S.; Tibana, S.; Saboya, F., Jr.; McCartney, J.S.; Tibana, S. Investigation of a Field-Scale Energy Micropile in Stratified Soil under Cyclic Temperature Changes. Geomech. Energy Environ. 2021, 29, 100263. [Google Scholar] [CrossRef]
- Rybach, L.; Eugster, W.J. Sustainability Aspects of Geothermal Heat Pump Operation, with Experience from Switzerland. Geothermics 2010, 39, 365–369. [Google Scholar] [CrossRef]
- Zanchini, E.; Lazzari, S.; Priarone, A. Long-Term Performance of Large Borehole Heat Exchanger Fields with Unbalanced Seasonal Loads and Groundwater Flow. Energy 2012, 38, 66–77. [Google Scholar] [CrossRef]
- Bidarmaghz, A.; Narsilio, G.A.; Johnston, I.W.; Colls, S. The Importance of Surface Air Temperature Fluctuations on Long-Term Performance of Vertical Ground Heat Exchangers. Geomech. Energy Environ. 2016, 6, 35–44. [Google Scholar] [CrossRef]
- Choi, W.; Ooka, R.; Nam, Y. Impact of Long-Term Operation of Ground-Source Heat Pump on Subsurface Thermal State in Urban Areas. Sustain. Cities Soc. 2018, 38, 429–439. [Google Scholar] [CrossRef]
- Iorio, M.; Carotenuto, A.; Corniello, A.; Di Fraia, S.; Massarotti, N.; Mauro, A.; Somma, R.; Vanoli, L. Low Enthalpy Geothermal Systems in Structural Controlled Areas: A Sustainability Analysis of Geothermal Resource for Heating Plant (the Mondragone Case in Southern Appennines, Italy). Energies 2020, 13, 1237. [Google Scholar] [CrossRef] [Green Version]
- Lou, Y.; Fang, P.; Xie, X.; Chong, C.S.A.; Li, F.; Liu, C.; Wang, Z.; Zhu, D. Numerical Research on Thermal Response for Geothermal Energy Pile Groups under Groundwater Flow. Geomech. Energy Environ. 2021, 28, 100257. [Google Scholar] [CrossRef]
- Rammal, D. Thermo-Mechanical Behaviour of Geothermal Structures: Numerical Modelling and Recommendations. 2017. Available online: https://www.theses.fr/2017LIL10172 (accessed on 9 July 2022).
- Delerablée, Y.; Rammal, D.; Mroueh, H.; Burlon, S.; Habert, J.; Froitier, C. Integration of Thermoactive Metro Stations in a Smart Energy System: Feedbacks from the Grand Paris Project. Infrastructures 2018, 3, 56. [Google Scholar] [CrossRef] [Green Version]
- US EIA. International Energy Outlook 2019; US EIA: Washington, DC, USA, 2019.
- Loveridge, F. The Thermal Performance of Foundation Piles Used as Heat Exchangers in Ground Energy Systems. Ph.D. Thesis, University of Southampton, Southampton, UK, 2012. [Google Scholar]
- De Carvalho, J.C.; de Rezende, L.R.; Cardoso, F.B.D.F.; Lucena, L.C.D.F.L.; Guimarães, R.C.; Valencia, Y.G. Tropical Soils for Highway Construction: Peculiarities and Considerations. Transp. Geotech. 2015, 5, 3–19. [Google Scholar] [CrossRef]
- Rocha, B.P.; Pedrini, R.A.A.; Giacheti, H.L. Go/N Ratio in Tropical Soils from Brazil. Electron. J. Geotech. Eng. 2015, 20, 1915–1933. [Google Scholar]
- Vargas, M. Structurally Unstable Soils in Southern Brazil: Conference. Session Four. 11F, 2T, 4R. PROC. EIGHTH INT. CONF. ON SOIL MECH. FOUND. ENGNG, MOSCOW, V2. 2, 1973, P239–246. In International Journal of Rock Mechanics and Mining Sciences & Geomechanics Abstracts; Elsevier: Pergamon, Turkey, 1975; Volume 12, p. 54. [Google Scholar]
- Ground Source Heat Pump Association. GSHP Thermal Pile Design, Installation and Materials Standards; Ground Source Heat Pump Association: London, UK, 2012. [Google Scholar]
- Morais, T.d.S.O.; Tsuha, C.d.H.C. In-Situ Measurements of the Soil Thermal Properties for Energy Foundation Applications in São Paulo, Brazil. Bulg. Chem. Commun. 2018, 50, 34–41. [Google Scholar]
- Fromentin, A.; Pahud, D.; Jacquier, C.; Morath, M. Recommandations Pour La Réalisation d’Installations Avec Pieux Échangeurs. Empfehlungen für Energiepfahlsysteme; SUPSI: Manno, Switzerland, 1997. [Google Scholar]
- Riederer, P.; Nguyen, B. Analyse Technico-Commerciale de Bâtiments Equipés de Fondations Géothermiques; 2007. [Google Scholar]
- Morais, T.; Tsuha, C. Energy Pile and Ground Temperature Response to Heating Test: A Case Study in Brazil. Bulg. Chem. Commun. 2016, 48, 115. [Google Scholar]
- Hillel, D. Introduction to Environmental Soil Physics; Academic Press: Cambridge, MA, USA, 2003. [Google Scholar]
- Mimouni, T.; Laloui, L. Towards a Secure Basis for the Design of Geothermal Piles. Acta Geotech. 2013, 9, 355–366. [Google Scholar] [CrossRef]
- Suryatriyastuti, M.E.; Mroueh, H.; Burlon, S. Understanding the Temperature-Induced Mechanical Behaviour of Energy Pile Foundations. Renew. Sustain. Energy Rev. 2012, 16, 3344–3354. [Google Scholar] [CrossRef]
- You, S.; Cheng, X.; Yu, C.; Dang, Z. Effects of Groundwater Flow on the Heat Transfer Performance of Energy Piles: Experimental and Numerical Analysis. Energy Build. 2017, 155, 249–259. [Google Scholar] [CrossRef]















| Parameters | T1—Brasilia | T2—Porto Alegre | T3—Manaus | |
|---|---|---|---|---|
| Heating | Time [day] | 133 | 187 | - |
| Pmax [W/m] | 30 | 45 | - | |
| Cooling | Time [day] | 227 | 173 | 360 |
| Pmax [W/m] | 45 | 45 | 45 | |
| Imbalance | % | 37–63 | 52–48 | 0–100 |
| City | T1—Brasilia | T2—Porto Alegre | T3—Manaus |
|---|---|---|---|
| Damping depth d [m] | 2.36 | 1.37 | - |
| Material Properties | Units | Soil | Pile |
|---|---|---|---|
| Density, ρ | [kg/m3] | 2000 | 2500 |
| Thermal conductivity, λeff | [W/m/K] | 2.82 | 1.8 |
| Specific heat capacity, cp | [J/kg/K] | 2200 | 1000 |
| Hydraulic conductivity, k | [m/s] | 1 × 10−6 | - |
| Saturation, S | - | 1 | - |
| Porosity, n | - | 0.5 | - |
| Time | vD (m/day) | Qin/out | Energy Exchanged (kWh/m3) | |||||||||
|---|---|---|---|---|---|---|---|---|---|---|---|---|
| DCV_1 | DCV_2 | DCV_3 | DCV_4 | DCV_5 | ||||||||
| Q_cond | Q_adv | Q_cond | Q_adv | Q_cond | Q_adv | Q_cond | Q_adv | Q_cond | Q_adv | |||
| Year 1 | 0 | Qin | 12.52 | - | 10.11 | - | 8.36 | - | 7.02 | - | 5.96 | - |
| Qout | 7.13 | - | 5.72 | - | 4.72 | - | 3.98 | - | 3.41 | - | ||
| 0.1 | Qin | 11.05 | 10.53 | 8.57 | 8.11 | 6.89 | 5.87 | 5.69 | 4.09 | 4.82 | 2.81 | |
| Qout | 6.74 | 4.64 | 5.22 | 3.66 | 4.20 | 2.77 | 3.49 | 2.07 | 2.98 | 1.57 | ||
| 1 | Qin | 4.60 | 90.10 | 2.84 | 30.16 | 2.15 | 6.68 | 1.81 | 2.68 | 1.60 | 1.46 | |
| Qout | 3.26 | 36.62 | 2.11 | 12.59 | 1.66 | 3.19 | 1.44 | 1.60 | 1.31 | 1.14 | ||
| Year 10 | 0 | Qin | 9.06 | - | 7.38 | - | 6.17 | - | 5.24 | - | 4.51 | - |
| Qout | 9.06 | - | 7.38 | - | 6.17 | - | 5.24 | - | 4.51 | - | ||
| 0.1 | Qin | 8.00 | 13.14 | 6.25 | 10.29 | 5.08 | 7.71 | 4.25 | 5.66 | 3.63 | 4.15 | |
| Qout | 8.00 | 4.80 | 6.25 | 3.73 | 5.08 | 2.77 | 4.25 | 2.02 | 3.63 | 1.49 | ||
| 1 | Qin | 3.42 | 91.51 | 2.23 | 30.76 | 1.77 | 6.94 | 1.53 | 2.87 | 1.39 | 1.58 | |
| Qout | 3.43 | 36.79 | 2.24 | 12.58 | 1.77 | 3.10 | 1.54 | 1.51 | 1.39 | 1.03 | ||
Publisher’s Note: MDPI stays neutral with regard to jurisdictional claims in published maps and institutional affiliations. |
© 2022 by the authors. Licensee MDPI, Basel, Switzerland. This article is an open access article distributed under the terms and conditions of the Creative Commons Attribution (CC BY) license (https://creativecommons.org/licenses/by/4.0/).
Share and Cite
Zhang, J.; Dias, D.; Pan, Q.; Ma, C.; Tsuha, C.d.H.C. Long-Term Thermo-Hydraulic Numerical Assessment of Thermo-Active Piles—A Case of Tropical Soils. Appl. Sci. 2022, 12, 7653. https://doi.org/10.3390/app12157653
Zhang J, Dias D, Pan Q, Ma C, Tsuha CdHC. Long-Term Thermo-Hydraulic Numerical Assessment of Thermo-Active Piles—A Case of Tropical Soils. Applied Sciences. 2022; 12(15):7653. https://doi.org/10.3390/app12157653
Chicago/Turabian StyleZhang, Jiamin, Daniel Dias, Qiujing Pan, Chunjing Ma, and Cristina de Hollanda Cavalcanti Tsuha. 2022. "Long-Term Thermo-Hydraulic Numerical Assessment of Thermo-Active Piles—A Case of Tropical Soils" Applied Sciences 12, no. 15: 7653. https://doi.org/10.3390/app12157653
APA StyleZhang, J., Dias, D., Pan, Q., Ma, C., & Tsuha, C. d. H. C. (2022). Long-Term Thermo-Hydraulic Numerical Assessment of Thermo-Active Piles—A Case of Tropical Soils. Applied Sciences, 12(15), 7653. https://doi.org/10.3390/app12157653

