Abstract
Most existing studies are based on the hydroelastic response of oversized floating bodies under regular waves, ignoring the effect of wave conditions and incident wave angle on the vibration response of oversized floating bodies in real sea conditions. In this paper, the stability performance of a single module of a mega-floating body at an offshore airport was investigated by using STAR-CCM + numerical simulations based on a specific model, with the introduction of parameters under extreme random wind and wave combined sea conditions. By comparing and analyzing the distribution characteristics of the single module floating body under the action of regular waves and irregular waves, wind, and wave load, and by considering the wave angle along the flow direction, as well as the spreading direction and vertical displacement value under the action of mooring, the overall displacement amplitude of rigid displacement, elastic deformation displacement and considering the influence of both, and the distribution law of motion response along the length of the floating body, we summarize the influence of the wave angle on the dynamic response of an oversized floating body of an offshore airport. The results show that the maximum value of the hydro-elastic response tends to appear at the head and tail of the floating body, the rigid body vertical displacement dominates the role, the amplitude of all displacements of the floating body under the action of the cross wave is larger, and the stress area along the floating body is larger when the wave angle is between 15–30°. The floating body stress value is smaller with angles of 30–65°, and the ability to bear the load is stronger. The hydroelastic response under irregular wave conditions is more sensitive to the wave direction angle, and the elastic deformation has less influence.
1. Introduction
In recent years, there has been a boom in the research of Very Large Floating Structure (VLFS) in the international marine engineering community. Based on national conditions, China has also started a series of concept proofs for mega-floating structures [1], and numerous scholars have made various research results in this field. A floating airport at sea is a specific application of super-large floating structures, which can be used as a maritime supply base for aircraft to enhance their range and play an important strategic role in maintaining the sovereignty of our territorial waters from infringement. However, the most significant feature of floating airports at sea is the huge size of the structure compared to conventional floating platforms at sea [2]. The huge aspect ratio makes the mega-float an extremely flat and flexible structure at sea, whose elastic deformation is often of the same order of magnitude as the rigid body displacement [3]. The dynamic response of oversized floating bodies in complex marine environments exhibits significant nonlinearity and often requires consideration of the coupling between the fluid and the floating body, so it is particularly important to carry out research on the nonlinear dynamic response characteristics of oversized floating bodies in offshore airports under wind and wave environments.
For the floating airport model at sea, the initial study was to reduce it to a plate and beam model [4,5]; due to its huge scale, the modular structure design is a natural choice [6]. In order to reduce the wave action on large structures, semi-submersible floating modules are used, and simplified calculations usually treat such modules as rigid bodies [7]. With the rise of hydroelasticity theory [8] in the late 1970s, numerous scholars have started to analyze its hydroelastic response characteristics [9,10]. Hydroelasticity not only summarizes all the dynamical problems in each of the two fields of structure and fluid, but also includes the coupling problems between them [11]. Among them, Yousheng Wu [12] considered the structural elastic deformation in the calculation of the radiative velocity potential and concluded that the hydroelastic response of the floating body is affected by three components, namely, the incident velocity potential, the bypassing velocity potential generated around the floating body, and the radiative velocity potential generated by the motion and deformation of the floating body itself on the flow field. The current analysis of the dynamic response characteristics of offshore oversized floating structures is mostly limited to under regular waves. Watanabe et al. [13] were able to accurately calculate the structural deformation and stress distribution of the floating body under regular waves. Cheng et al. [14,15] used linear wave theory and classical thin-plate theory to carry out simplified hydroelastic analysis of VLFS under regular waves, and confirmed the feasibility of the method through experiments. Under irregular waves, Ding et al. [16] established a simplified calculation method and corresponding calculation software for the hydroelastic response of each module of VLFS under irregular waves. Xu, Dao-Lin [17] et al. modeled the dynamics of non-regular wave networks and established wave pools for experimental and numerical validation. If only the dynamic response characteristics of the floating body under regular and irregular waves at a specific frequency are analyzed, it is obviously not in line with the actual situation. During the actual operation of the floating body, it will encounter the influence of incident waves in different wave directions. Sun Yonggang et al. [3] carried out the analysis of the elastic response of oversized floating bodies under different wave angles of regular wave action, however, the analysis of the dynamic response of offshore airports under different wave angles of non-regular waves should not be neglected.
The sea conditions of very large offshore floating platforms in the actual ocean are extremely complex, and the wave heights and periods are random and do not have a specific pattern. That is, the offshore floating platform actually works under the excitation of random waves all the time. Therefore, it is particularly necessary to study the system response analysis under non-regular wave excitation. The dynamic response characteristics of the single-module structural system under the combined action of extreme random wind speeds and irregular waves in the sea state should be further considered. In view of this, this paper presents an intensity analysis of the self-storage sea state and operational sea state of the offshore airport. Based on the hydroelasticity theory, the dynamic response of the floating body under irregular waves with different wave angles of the single block model was analyzed and compared with the dynamic response and vertical displacement under the same working condition of regular waves, to reveal the influence of random wind and wave loads on the dynamic response of the oversized floating body of the offshore airport, which provides an engineering reference for the design and optimization of the offshore airport.
2. Materials and Methods
2.1. Wind and Wave Field Characteristic Parameters
2.1.1. Non-Operational Sea State
The wave parameters of one in fifty years were selected for the self-storage sea state. According to the long-term wave statistics in the South China Sea, the wave parameters of one in fifty years were calculated [18,19].
The wave statistics were analyzed using the Weibull method according to DNV-RP-C205 “Environmental Conditions and Environmental Loads” to derive the design wave heights. The Weibull distribution is shown in Equation (1).
Since the design wave considers a return period of one in fifty years, the reliability of wave height emergence R = 0.02 and the unreliability of wave height emergence F = 1 − R = 0.98 according to the linear fitting formula shown in Figure 1.
lnln(1/(1 − F)) = 5.926 lnH − 14.44
Figure 1.
Wave height linear fit.
The final design wave height for the fifty-year event is H50 = 14.4 m.
According to DNV-RP-C205 “Environmental Conditions and Environmental Loads”, the design wave period and the design wave height satisfy the following Equation:
DNV is given the reference values a = 2.94 and b = 0.5. According to the design wave height of one in fifty years, H50 = 14.4 m, the design wave period is obtained by Equation (3) 11.2 s.
According to the linear wave theory, the wavelength of the design wave can be determined by the following Equation (4):
By the 50-year design wave cycle 11.2 s, we calculated the wavelength of the design wave 196 m.
2.1.2. Random Wind and Waves
In this paper, for the intensity analysis and the study of the single module sensitivity of offshore airports with different wave angles under regular and irregular waves, the random wind and wave parameters used are shown in Table 1.
Table 1.
Random wind and wave parameters.
2.2. Numerical Simulation
2.2.1. Control Equations
Assuming that the fluid is incompressible viscous turbulent flow, the continuous Equation (5) and the N-S Equation (6) are used to describe its fluid motion:
where ρ is the density, t is the time, u, v, and w are the velocity components in the x, y, and z directions, μ is the viscosity coefficient, and p is the pressure.
Assuming that the structure is a linear elastic material, the stress–strain relationship satisfies Hooke’s law (generalized Hooke’s law):
where E is the modulus of elasticity of the material, G is the shear modulus of the material, σ is the positive stress, τ is the tangential stress, ε is the linear strain, and γ is the tangential strain.
σ = Eɛ
τ = Gγ
The motion of a large floating structure at sea, under the action of external loads such as wind and waves as well as the displacement constraint of a suspended chain line mooring system, was obtained by establishing Newton’s second law for a 6-degree-of-freedom system. The displacement, velocity and acceleration of the six degrees of freedom to be found, and the external load are written in vector form, and the Equation can be abbreviated as a matrix–vector multiplication:
where M is the mass matrix, C is the damping matrix, K is the stiffness matrix, F is the external load force vector, is the acceleration array, is the velocity array, and is the displacement array.
2.2.2. Model Parameters
The floating body uses a multi-module semi-submersible floating platform in the water tank experiment; the single module with a numerical sink is shown in Figure 2. The parameters of the single module structure model are shown in Table 2. The numerical sink and suspension line parameters are shown in Table 3. Two parts, the fluid and floating body, were built separately in this model. We created a cutting body mesh for the fluid and assigned environmental parameters (Eulerian multiphase flow, Volume of fluid domain VOF, Implicit non-stationary, Turbulence, SST k-ω turbulence, VOF wave, Adaptive time step, Adaptive Grid, Gravity, Solution scheme interpolation, Unit quality correction). Then, we created surface reconstruction and tetrahedral meshes for floating bodies, assigning floating body parameters (Three-dimensional, Solids, Implicitly unstable, Solid Stress, Flexible DFBI Campaign, Fluid structure coupling, Riley Damping, Gravity, Solution scheme interpolation). We defined the numerical pool as a Block, subtracted the floating body and Block, named the fluid domain, and then embossed the fluid domain with the floating body. We created a region for the fluid domain and floating body, created a boundary for the surface, created a feature line, and created a contact mode interface based on the contact. The interface between fluid domain and floating body is defined as a mapped contact interface. It is used for data mapping to ensure the original boundaries are not broken when the model runtime. The boundary physical conditions are specified in six degrees of freedom deformation using the six degrees of freedom body method. Classification of the six boundaries of the pool: the top and left side were defined as the speed entrance, the right side was defined as the pressure outlet, and a VOF wave damping area of 1.5 to 2 times the wavelength was provided at the pressure outlet. For the velocity inlet and pressure outlet using the composite volume fraction, we entered the field functions for air and water respectively; the velocity field function and the pressure field function were also inputted in a targeted manner. The fluid motion was specified as a DFBI deformation; the floating body then generates solid stresses and displacements through the rotational and displacement constraints of the DFBI body-coupled suspension chain line. The specific operation method is shown in Figure 3.
Figure 2.
Perspective view of single float module with a numerical water tank.
Table 2.
Main parameters of single floating body module.
Table 3.
Numerical water tank and suspension chain line parameters table.
Figure 3.
Numerical simulation flow chart.
2.2.3. Mesh Division
A good quality bulk mesh is an important step in performing accurate numerical simulations, the fluid area uses a grid of cut bodies. To improve the accuracy of the numerical simulations, we created two different layers of body meshes in the fluid region as a double encryption (named as waterline 1, waterline 2); the two encrypted grids are located in the water areas near the floating bodies, defining the mapped contact at the interface between the floating body and the fluid. For irregular floating bodies, surface reconstruction and tetrahedral meshing were used. The flow field grid and floating body grid cell division are shown in Figure 4.
Figure 4.
Flow field mesh and floating body mesh cell division. (a) Fluid area meshing; (b) Two layers of waterline encryption grid location; (c) Floating body grid.
2.2.4. Power Characteristics Analysis
For the dynamic characteristics of the floating body structure, a dry modal analysis method was used. The comparison curves of the first 20 orders of self-oscillation frequencies between the structural model of the offshore airport and the model of Ding et al. [16,20] are given in Figure 5; as can be seen from the figure, the two models almost overlap in the first 4 orders with small self-oscillation frequencies, and gradually start to increase from the 4th order. The maritime airport model reaches the second growth inflection point at order 15 with a frequency of 0.26 Hz, the Ding et al. model reaches the second growth inflection point at order 14 with a frequency of 0.15 Hz, and both reach similar frequencies at order 16 and 17. From the 17th order onwards, the frequency shows a substantial increase, while the latter model frequency is greater than that of the maritime airport model, which is mostly due to the different connection methods of the models. The frequencies in the first 20 orders are less than 2.0 Hz.
Figure 5.
Frequency comparison of offshore airport models.
The natural mode of the oversized floating body of the offshore airport in air, which is the dry mode and the corresponding orders, is given in Table 4. As can be seen from Table 4, the low-order vibration pattern of the structure is mainly bending, with different degrees of vertical bending occurring at orders 7, 8, 9, and 10, corresponding to self-oscillation frequencies of 0.017, 0.046, 0.091, and 0.148 Hz, respectively. Transverse bending occurs at order 11 with a frequency of 0.182 Hz, longitudinal torsion occurs at orders 13 and 18 with frequencies of 0.275 and 0.835 Hz, respectively, and order 16 presents a superimposed mode of torsional bending and vertical bending with a frequency of 0.491 Hz.
Table 4.
Frequency and typical mode of maritime airport.
3. Results
3.1. Single Module Strength Analysis of Offshore Airports
The strength analysis of the offshore floating airport is very important because of its large volume and huge longitudinal dimension. Especially in bad sea conditions, the overall structure may be damaged. In the non-operational sea condition, the wave impact on the sea airport is more serious, and the oversized floating body structure will have a relatively obvious deformation, at which time, the aircraft should stop the take-off operation. Under normal operating conditions, the airport needs to ensure the normal take-off and landing of aircraft, so the upper deck must be sufficiently flat and must not produce excessive undulations under operating sea conditions.
Figure 6 shows that the maximum relative deformation of the single module floating body is 1.226 m under the self-storage condition. Figure 7 gives the structural deformation of the single module of the offshore airport in a Class 5 sea state. As can be seen from Figure 7, the maximum relative deformation of the single module floating body is 0.49 m, and the relative deformation at different positions on the floating body is very small, which fully meets the requirement of runway levelness for aircraft takeoff and landing as far as the single module is concerned.
Figure 6.
Deformation under non-operational sea state.
Figure 7.
Deformation under working sea conditions.
The structural stress clouds at the corresponding moments are given in Figure 8, From the figure, we can see that the maximum stress of the floating body module of the offshore airport occurs at the position where the column is linked to the upper and lower pontoons, and at the position where the lower cross brace is connected to the lower pontoon; the maximum stress is 5.15 Mpa. Figure 9 shows the stress cloud diagram of the single module of the offshore airport at Sea State 5. It can be seen from the figure that the stress distribution in the upper panel of the floating body is relatively uniform at this time, and the maximum stress is 1.88 Mpa. The deformation and stress analysis of the single module of the floating airport at sea under a non-operational sea state and operational sea conditions reveals that both deformation and stress were nearly three times higher in the self-storage sea state than in the working sea state; from the overall point of view, under a non-operational sea state, the floating body produced a slight longitudinal shaking. If the eight modules are connected, the longitudinal size is huge, and the longitudinal shaking will be significantly increased, while the stress distribution is also more uneven. On the surface of the pontoon, it is prone to a stress concentration phenomenon; at this time the sea floating airport is more dangerous. Although the single module floating body of the floating airport can meet the requirement of runway levelness for aircraft take-off and landing under the working sea condition and the stress distribution is relatively uniform, the maximum stress position occurs at the position where the column is connected with the upper and lower pontoons and the position where the lower cross brace is connected with the lower pontoon under both the non-operational and working sea conditions. Therefore, if the safety of the floating airport at sea is to be ensured, the strength of the structure at these locations needs to be increased by further design, pending further research.
Figure 8.
Stress under non-operational sea state.
Figure 9.
Stress under operating sea state.
3.2. Single Module Motion Response Analysis of Offshore Airports
3.2.1. Hydrodynamic Response
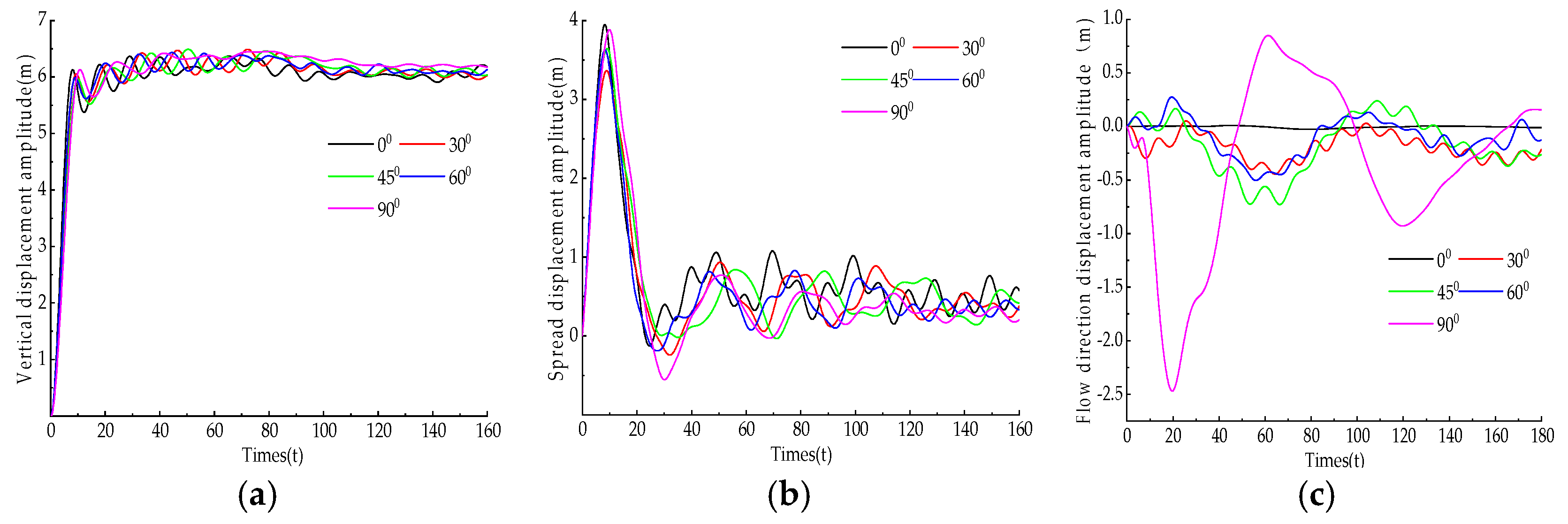
As seen in Figure 10 and Figure 11, the vertical oscillation response of the rigid floating plate dominates in both wave conditions, and the maximum value reaches about 6 m. Under regular wave conditions, the pendulum response and transverse rocking response of the floating body reached the maximum peak at the first 10 s, the minimum peak at about 20 s, and gradually reached a relatively stable state at 110 s. The effect of cross-waves on the flow displacement amplitude is large, floating up and down about 3 m, until about 180 s, at which it stabilizes. Under irregular wave conditions, the transverse rocking response is similar to the pattern under regular waves: the spreading displacement has a maximum peak at about 10 s, a minimum peak at about 20 s, and stabilizes at about 140 s, while the vertical oscillation response and longitudinal rocking response changed significantly. At an incident wave angle of 0°, the floating body has a small amplitude of vertical displacement. When the incident wave angle is 90°, the droop response curve is similar to that of 30°, producing a large negative displacement, while at 45°, it is similar to that of 60°, producing a large positive displacement, and the stabilization trend is not obvious. The longitudinal rocking response is the same as under regular waves, and the floating body stabilizes at about 180 s under different wave angles.
Figure 10.
Time course curve of rigid body displacement under different incident rule waves. (a) Pendulum response curve; (b) Transverse rocking response curve; (c) Longitudinal rocking response curve.
Figure 11.
Time course curve of rigid body displacement under different incident irregular waves. (a) Pendulum response curve; (b) Transverse rocking response curve; (c) Longitudinal rocking response curve.
From Figure 12, it is easy to find that the overall displacement under the same wave angle is always greater than the elastic deformation and rigid displacement, and the elastic deformation is greater than the rigid displacement, but the overall displacement is not a simple superposition of the two. Taking 0° as an example, the overall displacement maximum is 6.0187 m, the elastic deformation displacement maximum is 6.017 m, and the rigid displacement maximum is 6.016 m. So, it can be seen that for the offshore floating body, the scale is huge, and its elastic deformation should not be ignored. Furthermore, regardless of the wave angle, the difference between the three displacement amplitudes along the floating body distribution is small, but with the increase of the wave direction, the amplitude growth is more obvious. Especially when the wave angle is 90°, the amplitude reaches its maximum value when the safety of the floating body at sea is put to a greater test.
Figure 12.
Three-dimensional cloud map of the variation of vertical displacement amplitude with floating body length under different wave directions. (a) Elastic deformation; (b) Rigid displacement; (c) Overall displacement.
Figure 13 gives a cloud plot of the Von Mises stress variation along the float length when the float is loaded downward to 40, 70, and 140 s at different waves. From the figure, one can obviously see the distribution law of stress value with the change of floating body length: regardless of the wave direction angle, when the floating body is in the path of an incoming wave within 50 m that is slowly increasing, and the stress concentration is at 50 m with a triangular distribution, which is extremely unfavorable, the stress tends to be smooth from 50 to 300 m. At wave angles of 22.5, 67.5 and 86.25°, the floating body showed large stresses of 0.313, 0.305 and 0.307 MPa, respectively, at ±3.75°, the stresses were symmetrically decreasing in distribution, and with the increase of loading time, the peak value first decreased and then increased, showing a backward trend. For the rest of the angles, the floating body stress value is smaller and the load bearing capacity is higher.
Figure 13.
Von Mises stress variation clouds under different wave directions. (a) t = 40 s; (b) t = 70 s; (c) t = 140 s.
3.2.2. Vertical Displacement
For offshore oversized floating bodies, the amount of vertical deformation and vertical rigid body displacement are often on the same order of magnitude, which may lead to huge deformation of the structure and thus affect the safety performance of the offshore airport, so the amount of vertical displacement is an important reference indicator for the design of oversized floating bodies. Figure 14 shows the distribution curves of the vertical displacement amplitude of the single floating body with time under different incident rule waves; they are the amplitude of vertical displacement caused by elastic deformation, the amplitude of vertical rigid body displacement and the total vertical displacement amplitude after considering the influence of the first two, respectively. Figure 15 shows the amplitude of vertical displacement under the action of irregular waves incident in different wave directions.
Figure 14.
Magnitude of vertical displacement under waves with different incidence rules. (a) Elastic deformation; (b) Total displacement; (c) Rigid displacement.
Figure 15.
Magnitude of vertical displacement under different incident irregular waves. (a) Elastic deformation; (b) Total displacement; (c) Rigid displacement.
It is easy to see that as the wave angle increases, the amplitude of the vertical displacement of the floating body gradually increases. For regular waves, the loading will be initially displaced by the impact of wind and waves, and then will reach a relatively stable vibration range under the dragging effect of the mooring, with small undulations, which basically has no impact on the safety performance of the airport. On the contrary, with the changing curve of vertical displacement amplitude under irregular waves, the displacement amplitude caused by elastic deformation is small. The rigid body vertical displacement plays a dominant role, and when the wave incidence angle increases, the rigid body displacement peak peak increases, which is more obvious in extreme weather conditions, and will seriously affect the normal work of the offshore airport. It is worth noting that the total vertical displacement amplitude of the floating body cannot be considered as a simple superposition of the vertical displacement amplitude of the rigid body and the elastic deformation amplitude.
4. Discussion
In this paper, the sensitivity of the oversized floating body of an offshore airport under the action of wind and waves was analyzed in terms of rigid body displacement, the distribution law along the length of the floating body and vertical displacement, using the single module of the offshore airport as a model and innovatively introducing the motion response of different waves on the floating body. There exists a certain contribution to the hydro-elastic response and structural strength analysis of offshore airports, which has some significance to the stability design of offshore airports. A lot of literature reading and research has been done before writing the paper, which is described in the introduction of the previous paper. The trends of stiffness displacement and vertical displacement amplitude changes of floating bodies under different waves of regular waves are more consistent with Sun Yong et al. [3] and other studies, because this paper only analyzes the motion response of a single module of a marine airport under different sea conditions, and fails to consider the multi-floating body motion and flexible connector load values [21,22], so the conclusions have some limitations, and the aspects not considered in this paper will be used as future research directions.
The main findings are as follows:
- The location where the column is connected to the upper and lower pontoons, and the location where the lower cross brace is connected to the lower pontoon have large stresses. Therefore, it is necessary to design to increase the strength of the structure at these locations to ensure the safety of the floating airport.
- The dynamic response of the offshore airport under wind and wave fields shows significant nonlinearity; for both regular and irregular waves, vertical shock is dominant. The difference between the two pendulum response curves is large. The hydroelastic response of floating bodies under irregular wave conditions is more sensitive to the wave direction angle than that of regular waves; when the wave direction angle is 90°, the stabilization trend of the droop response is not obvious. The difference in the hydroelastic response of the offshore airport along the length of the floating body varies less under different wave angles. The stress concentration in the floating body at 50 m in the direction of incoming waves is triangularly distributed and extremely unfavorable. At wave angles of 22.5, 67.5, and 86.25°, the floating body shows a large stress, and at an angle of ±3.75° the stress symmetrically decreases in distribution. For this reason, the strength of the suspension line can be strengthened in the design and the rotation angle can be reasonably set to adapt to the influence of different wave angles on the sea airport.
- The total vertical displacement amplitude of the marine airport cannot be regarded as a simple superposition of the vertical displacement amplitude of the rigid body and the elastic deformation amplitude, because the two often cannot reach the maximum value at the same time.
Author Contributions
Methodology, W.L. and J.C.; Resources, S.K.; Writing—original draft, L.W.; Writing—review & editing, S.K. All authors have read and agreed to the published version of the manuscript.
Funding
This research was funded by Natural Science Foundation of Jiangsu Province, “Typhoon-wave coupled driving mechanism and nonlinear load model of large semi-submersible offshore airport platform” (No. BK20210309), Jiangsu Provincial Postgraduate Research and Practice Innovation Program, “Study on the nonlinear vibration mechanism of offshore floating airport with typhoon-wave-aircraft coupling” (No. KYCX21_0234) and Nanjing University of Aeronautics and Astronautics Postgraduate Research and Practice Innovation Program Project, “Typhoon-wave-current-seabed multi-scale coupling effect of offshore airport floating platform flow field driving mechanism and load model” (No. xcxjh20210719).
Institutional Review Board Statement
Not applicable.
Informed Consent Statement
Not applicable.
Conflicts of Interest
The authors declare no conflict of interest.
References
- Weng, Z.P. Research and Development Direction of Green Ultra-large Floating Structures. In Proceedings of the 2010 Academic Conference of China Steel Structure Association Marine Steel Structure Branch and the Third Meeting of the Sixth Council, Luoyang, China, 8–10 September 2010. [Google Scholar]
- Daokun, L. Structural Design of Offshore Floating Airports; China University of Petroleum (East China): Shandong, China, 2016. [Google Scholar]
- Yonggang, S.; Jianqun, S.; Fei, G.; Shixiao, F.; Gang, Z. Characterization of multi-segment beam model for ultra-large floating bodiesof T. J. PLA Univ. Echnology 2015, 16, 456–464. [Google Scholar]
- Mansheng, H. Plate Model Analysis of Hydroelastic Response of Very Large Floating Structures. Master’s Thesis, Ocean University of China, Qingdao, China, 2005. [Google Scholar]
- Hu, J. Analysis of Beam-Slab Model for Hydro-Elastic Response of Super-Large Floating Body Structure. Master’s Thesis, Hohai University, Nanjing, China, 2007. [Google Scholar]
- Paulling, J.R.; Tyagi, S. Multi-module floating ocean structures. Mar. Struct. 1993, 6, 187–205. [Google Scholar] [CrossRef]
- Wu, Y.; Du, S. Fluid-structure interaction analysis of very large floating structures. Ship Sci. Technol. 1995, 1, 1–9. (In Chinese) [Google Scholar]
- Bishop, R.E.D.; Price, W.G. Hydroelasticity of Ships; Cambridge University Press: Cambridge, UK, 1979. [Google Scholar]
- Kashiwagi, M. Research on hydroelastic responses of VLFS: Recentprogress and future work. Int. J. Shore Po-Lar Eng. 2000, 10, 1053–5381. [Google Scholar]
- Watanabe, E.; Utsunomiya, T.; Wang, C.M. Hydroelastic analysis ofpontoon-type VLFS: A literature survey. Eng. Struct. 2004, 26, 245–256. [Google Scholar] [CrossRef]
- Heller, S.R. Hydroelasticity, Advances in Hydrody-Namics; Academic Press: New York, NY, USA, 1964. [Google Scholar]
- Yousheng, W. Hydroelasticity of Floating Bodies; University of Brunel: London, UK, 1984. [Google Scholar]
- Watanabe, E.; Utsunomiya, T.; Wang, C.M. Benchmark hydroelastic responses of a circular VLFS under wave action. Eng. Struct. 2006, 28, 423–430. [Google Scholar] [CrossRef]
- Cheng, Y.; Zhai, G.; Ou, J. Time-domain numerical and experimental analysis of hydroelastic response of a very large floating structure edged with a pair of submerged horizontal plates. Mar. Struct. 2014, 39, 198–224. [Google Scholar] [CrossRef]
- Cheng, Y.; Ji, C.; Zhai, G.; Oleg, G. Fully nonlinear numerical investigation on hydroelastic responses of floating elastic plate over variable depth sea-bottom. Mar. Struct. 2017, 55, 37–61. [Google Scholar] [CrossRef]
- Ding, J.; Tian, C.; Wu, Y.S.; Wang, X.F.; Liu, X.L.; Zhang, K. A simplified method to estimate the hydroelastic responses of VLFS in the inhomogeneous waves. Ocean. Eng. 2019, 172, 434–445. [Google Scholar] [CrossRef]
- Xu, D.-L.; Lu, C.; Zhang, H. Mechanical modeling and nonlinear dynamic response characteristics of offshore floating airports. J. Mech. 2015, 47, 289–300. [Google Scholar]
- Feng, Y.; Weibing, F.; Haijin, C. Analysis of wave spatial and temporal characteristics in the South China Sea based on ERA-Interim data for the past 37 years. Ocean. Forecast. 2018, 35, 44–51. [Google Scholar]
- Mei, Y.; Song, S.; Zhou, L. Interannual variability of wave and wind fields in the North Indian Ocean-South China Sea. Ocean. Forecast. 2010, 27, 27–33. [Google Scholar]
- Sun, Z.; Tian, C.; Ding, J. Hydroelastic response analysis of an oversized floating body on an island reef under wind and wave environment. Ship Mech. 2020, 24, 1024–1035. [Google Scholar]
- Bo, Z.; Qianqing, C.; Chunhui, Z. Study on the dynamic characteristics of multi-module MOB connectors. Ship Sci. Technol. 2017, 39, 77–81+87. [Google Scholar]
- Hongxian, L.; Yanmao, C.; Qixian, L. Analysis of hydrodynamic response of multi-floating offshore platform. Ship Sci. Technol. 2017, 39, 75–78. [Google Scholar]
Publisher’s Note: MDPI stays neutral with regard to jurisdictional claims in published maps and institutional affiliations. |
© 2022 by the authors. Licensee MDPI, Basel, Switzerland. This article is an open access article distributed under the terms and conditions of the Creative Commons Attribution (CC BY) license (https://creativecommons.org/licenses/by/4.0/).







