Using a Combination of Activated Carbon and Graphene Nanoparticles in a Consolidated Form for Adsorption Ice Maker: A System-Level Modeling
Abstract
:1. Introduction
2. Methods
2.1. Mathematical Modelling
2.2. Governing Equations
2.2.1. Heating and Cooling Fluids
2.2.2. Absorber Copper Tube
2.2.3. Composite Adsorbent Domain
2.2.4. Vacuum Chamber
2.2.5. Evaporator and Condenser Models
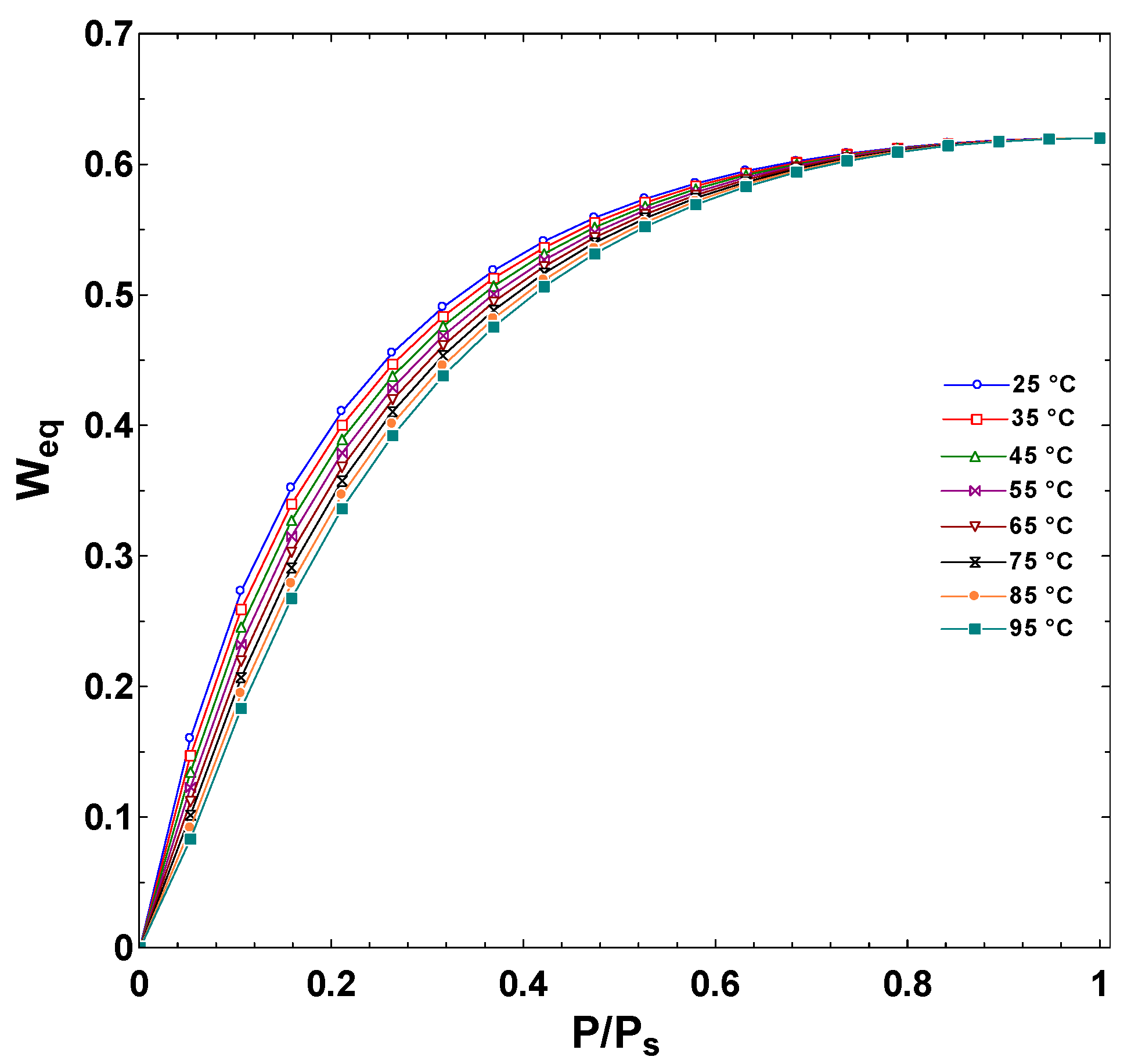
2.2.6. Isotherms and Kinetics Models
2.2.7. Performance Indicators
2.2.8. Numerical Procedure and Model Validation
3. Results and Discussion
3.1. Numerical Simulation
3.2. The Bed Average Pressure, Temperature and Uptake
The Performance of the Ice Production System
4. Conclusions
Supplementary Materials
Author Contributions
Funding
Institutional Review Board Statement
Informed Consent Statement
Conflicts of Interest
Nomenclature
| Coefficient of performance | |
| Specific heat | |
| Surface diffusivity | |
| Pre-exponent constant of surface diffusivity | |
| Specific Daily ice production | |
| The activation energy of surface diffusion | |
| Thermal conductivity | |
| Thermal turbulent conductivity | |
| Mass transfer coefficient | |
| Latent heat | |
| Mass | |
| Completed cycles per day | |
| Pressure | |
| Source term in conservation of mass equation | |
| Heat of adsorption | |
| Specific gas constant | |
| Radius | |
| Temperature | |
| Time | |
| Heat transfer conductance | |
| Fluid velocity | |
| Uptake | |
| Equilibrium adsorption uptake | |
| Greek Symbols: | |
| Density ) | |
| Dynamic viscosity | |
| Turbulent dynamic viscosity | |
| Total porosity | |
| Effectiveness | |
| Subscripts and Superscripts: | |
| Adsorbent | |
| Adsorbate | |
| Bed | |
| Cooling water | |
| Condenser | |
| Composite | |
| Ethylene Glycol | |
| Evaporator | |
| Equilibrium | |
| Fluid | |
| Heating water | |
| Inlet | |
| Initial | |
| Metal | |
| Outlet | |
| Refrigerant liquid | |
| Refrigerant Vapor | |
| Solid Adsorbent | |
| Saturation | |
| Vapor | |
| water | |
References
- Sah, R.P.; Choudhury, B.; Das, R.K. A review on low grade heat powered adsorption cooling systems for ice production. Renew. Sustain. Energy Rev. 2016, 62, 109–120. [Google Scholar] [CrossRef]
- Chauhan, P.; Kaushik, S.; Tyagi, S. A review on thermal performance enhancement of green cooling system using different adsorbent/refrigerant pairs. Energy Convers. Manag. X 2022, 14, 100225. [Google Scholar] [CrossRef]
- Elsheniti, M.B.; El-Hamid, A.A.; Samni, O.E.; Elsherbiny, S.; Elsayed, E. Experimental evaluation of a solar two-bed lab-scale adsorption cooling system. Alex. Eng. J. 2021, 60, 2747–2757. [Google Scholar] [CrossRef]
- Sharafian, A.; Fayazmanesh, K.; McCague, C.; Bahrami, M. Thermal conductivity and contact resistance of mesoporous silica gel adsorbents bound with polyvinylpyrrolidone in contact with a metallic substrate for adsorption cooling system applications. Int. J. Heat Mass Transf. 2014, 79, 64–71. [Google Scholar] [CrossRef]
- Yagnamurthy, S.; Rakshit, D.; Jain, S.; Rocky, K.A.; Islam, A.; Saha, B.B. Adsorption of difluoromethane onto activated carbon based composites: Thermophysical properties and adsorption characterization. Int. J. Heat Mass Transf. 2021, 171, 121112. [Google Scholar] [CrossRef]
- Pal, A.; El-Sharkawy, I.I.; Saha, B.B.; Jribi, S.; Miyazaki, T.; Koyama, S. Experimental investigation of CO2 adsorption onto a carbon based consolidated composite adsorbent for adsorption cooling application. Appl. Therm. Eng. 2016, 109, 304–311. [Google Scholar] [CrossRef] [Green Version]
- Kumita, M.; Yamawaki, N.; Shinohara, K.; Higashi, H.; Kodama, A.; Kobayashi, N.; Seto, T.; Otani, Y. Methanol adsorption behaviors of compression-molded activated carbon fiber with PTFE. Int. J. Refrig. 2018, 94, 127–135. [Google Scholar] [CrossRef]
- Pal, A.; Shahrom, M.S.R.; Moniruzzaman, M.; Wilfred, C.D.; Mitra, S.; Thu, K.; Saha, B.B. Ionic liquid as a new binder for activated carbon based consolidated composite adsorbents. Chem. Eng. J. 2017, 326, 980–986. [Google Scholar] [CrossRef]
- El-Sharkawy, I.I.; Pal, A.; Miyazaki, T.; Saha, B.; Koyama, S. A study on consolidated composite adsorbents for cooling application. Appl. Therm. Eng. 2016, 98, 1214–1220. [Google Scholar] [CrossRef] [Green Version]
- Jin, Z.; Tian, B.; Wang, L.; Wang, R. Comparison on Thermal Conductivity and Permeability of Granular and Consolidated Activated Carbon for Refrigeration. Chin. J. Chem. Eng. 2013, 21, 676–682. [Google Scholar] [CrossRef]
- Cacciola, G.; Restuccia, G.; Mercadante, L. Composites of activated carbon for refrigeration adsorption machines. Carbon 1995, 33, 1205–1210. [Google Scholar] [CrossRef]
- Wang, L.; Wang, R.; Lu, Z.; Chen, C.; Wang, K.; Wu, J. The performance of two adsorption ice making test units using activated carbon and a carbon composite as adsorbents. Carbon 2006, 44, 2671–2680. [Google Scholar] [CrossRef]
- Oliveira, R.G.; Wang, R.Z. A consolidated calcium chloride-expanded graphite compound for use in sorption refrigeration systems. Carbon 2007, 45, 390–396. [Google Scholar] [CrossRef]
- Rocky, K.A.; Pal, A.; Moniruzzaman, M.; Saha, B.B. Adsorption characteristics and thermodynamic property fields of polymerized ionic liquid and polyvinyl alcohol based composite/CO2 pairs. J. Mol. Liq. 2019, 294, 111555. [Google Scholar] [CrossRef]
- Wang, L.; Tamainot-Telto, Z.; Thorpe, R.; Critoph, R.; Metcalf, S.; Wang, R. Study of thermal conductivity, permeability, and adsorption performance of consolidated composite activated carbon adsorbent for refrigeration. Renew. Energy 2011, 36, 2062–2066. [Google Scholar] [CrossRef]
- Zhao, Y.; Wang, L.; Wang, R.; Jin, Z.Q.; Jiang, L.; Fleurance, M. Simulation of heat and mass transfer performance with consolidated composite activated carbon. Heat Transf. Res. 2015, 46, 109–122. [Google Scholar] [CrossRef]
- Wang, L.; Metcalf, S.; Critoph, R.; Thorpe, R.; Tamainot-Telto, Z. Development of thermal conductive consolidated activated carbon for adsorption refrigeration. Carbon 2012, 50, 977–986. [Google Scholar] [CrossRef] [Green Version]
- Jjagwe, J.; Olupot, P.W.; Menya, E.; Kalibbala, H.M. Synthesis and Application of Granular Activated Carbon from Biomass Waste Materials for Water Treatment: A Review. J. Bioresour. Bioprod. 2021, 6, 292–322. [Google Scholar] [CrossRef]
- Ghazy, M.; Askalany, A.; Kamel, A.; Khalil, K.M.; Mohammed, R.H.; Saha, B.B. Performance enhancement of adsorption cooling cycle by pyrolysis of Maxsorb III activated carbon with ammonium carbonate. Int. J. Refrig. 2020, 126, 210–221. [Google Scholar] [CrossRef]
- Shabir, F.; Sultan, M.; Miyazaki, T.; Saha, B.B.; Askalany, A.; Ali, I.; Zhou, Y.; Ahmad, R.; Shamshiri, R.R. Recent updates on the adsorption capacities of adsorbent-adsorbate pairs for heat transformation applications. Renew. Sustain. Energy Rev. 2019, 119, 109630. [Google Scholar] [CrossRef]
- Boruta, P.; Bujok, T.; Mika, Ł.; Sztekler, K. Adsorbents, Working Pairs and Coated Beds for Natural Refrigerants in Adsorption Chillers—State of the Art. Energies 2021, 14, 4707. [Google Scholar] [CrossRef]
- Jribi, S.; Miyazaki, T.; Saha, B.B.; Koyama, S.; Maeda, S.; Maruyama, T. Corrected adsorption rate model of activated carbon–ethanol pair by means of CFD simulation. Int. J. Refrig. 2016, 71, 60–68. [Google Scholar] [CrossRef]
- Khanam, P.N.; AlMaadeed, M.A.; Ouederni, M.; Mayoral, B.; Hamilton, A.; Sun, D. Effect of two types of graphene nanoplatelets on the physico–mechanical properties of linear low–density polyethylene composites. Adv. Manuf. Polym. Compos. Sci. 2016, 2, 67–73. [Google Scholar] [CrossRef] [Green Version]
- Geng, Y.; Wang, S.J.; Kim, J.-K. Preparation of graphite nanoplatelets and graphene sheets. J. Colloid Interface Sci. 2009, 336, 592–598. [Google Scholar] [CrossRef] [PubMed]
- Pal, A.; Uddin, K.; Thu, K.; Saha, B.B. Activated carbon and graphene nanoplatelets based novel composite for performance enhancement of adsorption cooling cycle. Energy Convers. Manag. 2018, 180, 134–148. [Google Scholar] [CrossRef]
- Rupa, M.J.; Pal, A.; Saha, B.B. Activated carbon-graphene nanoplatelets based green cooling system: Adsorption kinetics, heat of adsorption, and thermodynamic performance. Energy 2019, 193, 116774. [Google Scholar] [CrossRef]
- Elsheniti, M.B.; Rezk, A.; Shaaban, M.; Roshdy, M.; Nagib, Y.M.; Elsamni, O.A.; Saha, B.B. Performance of a solar adsorption cooling and desalination system using aluminum fumarate and silica gel. Appl. Therm. Eng. 2021, 194, 117116. [Google Scholar] [CrossRef]
- Ingham, D.B.; Pop, I. Transport Phenomena in Porous Media; Elsevier: Amsterdam, The Netherlands, 1998. [Google Scholar]
- Elsheniti, M.B.; Hassab, M.A.; Attia, A.-E. Examination of effects of operating and geometric parameters on the performance of a two-bed adsorption chiller. Appl. Therm. Eng. 2019, 146, 674–687. [Google Scholar] [CrossRef]
- Albaik, I.; Elsheniti, M.B.; Al-Dadah, R.; Mahmoud, S.; Solmaz, I. Numerical and experimental investigation of multiple heat exchanger modules in cooling and desalination adsorption system using metal organic framework. Energy Convers. Manag. 2021, 251, 114934. [Google Scholar] [CrossRef]
- Wong, D.; Parasrampuria, J. Polyvinyl Alcohol. In Analytical Profiles of Drug Substances and Excipients; Academic Press: Cambridge, MA, USA, 1996; Volume 24, pp. 397–441. [Google Scholar]
- American Elements. Graphene Nanoplatelets. Available online: https://www.americanelements.com/graphene-nanoplatelets-1034343-98-0 (accessed on 8 July 2021).
- XG Sciences. Graphene Nanoplatelets. Available online: https://xgsciences.com/materials/graphene-nano-platelets/ (accessed on 10 July 2021).
- Pinheiro, J.M.; Salústio, S.; Geraldes, V.; Valente, A.A.; Silva, C.M. Copper foam coated with CPO-27(Ni) metal–organic framework for adsorption heat pump: Simulation study using OpenFOAM. Appl. Therm. Eng. 2020, 178, 115498. [Google Scholar] [CrossRef]
- Shaaban, M.; Elsheniti, M.B.; Rezk, A.; Elhelw, M.; Elsamni, O.A. Performance investigation of adsorption cooling and desalination systems employing thermally enhanced copper foamed bed coated with SAPO-34 and CPO-27(Ni). Appl. Therm. Eng. 2022, 205, 118056. [Google Scholar] [CrossRef]
- Elsheniti, M.B.; Eissa, M.S.; Al-Ansary, H.; Orfi, J.; Elsamni, O.; El-Leathy, A. Examination of Using Aluminum-Foam/Finned-Tube Beds Packed with Maxsorb III for Adsorption Ice Production System. Energies 2022, 15, 2757. [Google Scholar] [CrossRef]











| Parameter | Value | Unit | Ref |
|---|---|---|---|
| Thermophysical Properties and Isotherms’ Parameters | |||
| 2200 | ) | [22] | |
| 1290 | ) | [31] | |
| 2300 | ) | [32,33] | |
| 614 | ) | [26] | |
| 790 | [25] | ||
| 4 × 10−11 | [16] | ||
| 0.3483 | |||
| 1.550 | [26] | ||
| Pre-exponent constant | 2.84 × 10−2 | ||
| 272.4050 | |||
| 1056.445 | |||
| 0.62 | |||
| 134.07 | |||
| 1.88 | |||
| Antoine’s equation constant | 8.1122 | ||
| Antoine’s equation constant | 1592.8641 | ||
| Antoine’s equation constant | 226.184 | ||
| The adsorbent beds | |||
| Tube length | 0.4 | [29] | |
| 3.15 | |||
| 3.96 | |||
| 2.5 | |||
| 2 | |||
| Vapour in/out opening length | 8 | ||
| 0.56 | |||
| Average cold-water velocity | 0.792 | ||
| 90 | |||
| 25 | |||
Publisher’s Note: MDPI stays neutral with regard to jurisdictional claims in published maps and institutional affiliations. |
© 2022 by the authors. Licensee MDPI, Basel, Switzerland. This article is an open access article distributed under the terms and conditions of the Creative Commons Attribution (CC BY) license (https://creativecommons.org/licenses/by/4.0/).
Share and Cite
Elsheniti, M.B.; Eissa, M.S.; Al-Ansary, H.; Orfi, J.; El-Leathy, A.; Elsamni, O. Using a Combination of Activated Carbon and Graphene Nanoparticles in a Consolidated Form for Adsorption Ice Maker: A System-Level Modeling. Appl. Sci. 2022, 12, 7602. https://doi.org/10.3390/app12157602
Elsheniti MB, Eissa MS, Al-Ansary H, Orfi J, El-Leathy A, Elsamni O. Using a Combination of Activated Carbon and Graphene Nanoparticles in a Consolidated Form for Adsorption Ice Maker: A System-Level Modeling. Applied Sciences. 2022; 12(15):7602. https://doi.org/10.3390/app12157602
Chicago/Turabian StyleElsheniti, Mahmoud Badawy, Mohamed Shaaban Eissa, Hany Al-Ansary, Jamel Orfi, Abdelrahman El-Leathy, and Osama Elsamni. 2022. "Using a Combination of Activated Carbon and Graphene Nanoparticles in a Consolidated Form for Adsorption Ice Maker: A System-Level Modeling" Applied Sciences 12, no. 15: 7602. https://doi.org/10.3390/app12157602
APA StyleElsheniti, M. B., Eissa, M. S., Al-Ansary, H., Orfi, J., El-Leathy, A., & Elsamni, O. (2022). Using a Combination of Activated Carbon and Graphene Nanoparticles in a Consolidated Form for Adsorption Ice Maker: A System-Level Modeling. Applied Sciences, 12(15), 7602. https://doi.org/10.3390/app12157602

