Model for Wall Shear Stress from Obliquely Impinging Planar Underexpanded Jets
Abstract
:1. Introduction
2. Methodology
2.1. Problem Description
2.2. Computational Method
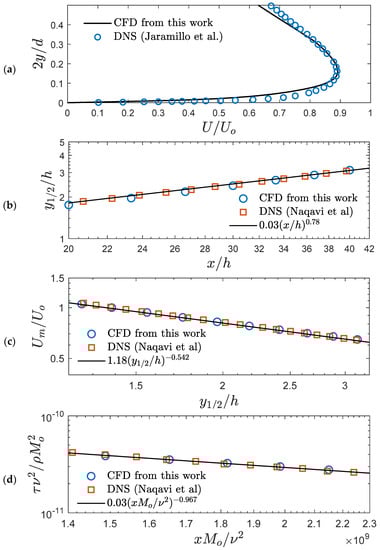
2.3. Model Validation
3. Results
4. Conclusions
Author Contributions
Funding
Institutional Review Board Statement
Informed Consent Statement
Data Availability Statement
Acknowledgments
Conflicts of Interest
References
- Coelho, P.J. Numerical simulation of radiative heat transfer from non-gray gases in three-dimensional enclosures. J. Quant. Spectrosc. Radiat. Transf. 2002, 74, 307–328. [Google Scholar] [CrossRef]
- Hofmann, H.M.; Kind, M.; Martin, H. Measurements on steady state heat transfer and flow structure and new correlations for heat and mass transfer in submerged impinging jets. Int. J. Heat Mass Transf. 2007, 50, 3957–3965. [Google Scholar] [CrossRef]
- Hwang, J.C.; Tsou, F.K.; Cho, W.C. K-EPSILON computations of flow and heat transfer in plane oblique impinging jets. In Computational Methods and Experimental Measurements; Springer: Berlin/Heidelberg, Germany, 1982. [Google Scholar]
- Martin, H. Heat and mass transfer between impinging gas jets and solid surfaces. In Advances in Heat Transfer; Elsevier: Amsterdam, The Netherlands, 1977; Volume 13, pp. 1–60. [Google Scholar]
- Schauer, J. The Flow Development And Heat Transfer Characteristics of Plane Turbulentimpinging Jets; ProQuest Dissertations Publishing: Ann Arbor, MI, USA, 1964. [Google Scholar]
- Kim, D.; Lee, J. Influence of shock structure on heat transfer characteristics in supersonic under-expanded impinging jets. Int. J. Therm. Sci. 2019, 141, 62–71. [Google Scholar] [CrossRef]
- Kim, W.-J.; Karuppuchamy, V.; Heldman, D.R. Evaluation of maximum wall shear stress from air impingement to remove food deposits from stainless steel surfaces. J. Food Eng. 2021, 316, 110825. [Google Scholar] [CrossRef]
- Maithani, R.; Sharma, S.; Kumar, A. Thermo-hydraulic and exergy analysis of inclined impinging jets on absorber plate of solar air heater. Renew. Energy 2021, 179, 84–95. [Google Scholar] [CrossRef]
- Kottapalli, K.; Novosselov, I.V. Aerodynamic resuspension and contact removal of energetic particles from smooth, rough, and fibrous surfaces. Talanta 2021, 231, 122356. [Google Scholar] [CrossRef]
- Novosselov, I.; SpecTree. Pulsed Jet Sampling of Particles and Vapors from Substrates. U.S. Patent 10274404, 30 April 2019. [Google Scholar]
- Novosselov, I.V.; Ariessohn, P.C.; Dengler, E.D.; Hickner, M.; Inventors; Enertechnix, Assignee. Particle Interrogation Devices and Methods. U.S. Patent 8561486, 22 October 2013. [Google Scholar]
- Fillingham, P.; Kottapalli, K.; Zhan, X.; Novosselov, I.V. Characterization of adhesion force in aerodynamic particle resuspension. J. Aerosol Sci. 2019, 128, 89–98. [Google Scholar] [CrossRef]
- Phares, D.J.; Smedley, G.T.; Flagan, R.C. The wall shear stress produced by the normal impingement of a jet on a flat surface. J. Fluid Mech. 2000, 418, 351–375. [Google Scholar] [CrossRef] [Green Version]
- Keedy, R.; Dengler, E.; Ariessohn, P.; Novosselov, I.; Aliseda, A. Removal rates of explosive particles from a surface by impingement of a gas jet. Aerosol Sci. Technol. 2012, 46, 148–155. [Google Scholar] [CrossRef] [Green Version]
- Kottapalli, K.; Novosselov, I.V. Experimental study of aerodynamic resuspension of RDX residue. Aerosol Sci. Technol. 2019, 53, 549–561. [Google Scholar] [CrossRef]
- Fillingham, P.; Vaddi, R.S.; Bruning, A.; Israel, G.; Novosselov, I.V. Drag, lift, and torque on a prolate spheroid resting on a smooth surface in a linear shear flow. Powder Technol. 2021, 377, 958–965. [Google Scholar] [CrossRef]
- Mercier-Bonin, M.; Dehouche, A.; Morchain, J.; Schmitz, P. Orientation and detachment dynamics of Bacillus spores from stainless steel under controlled shear flow: Modelling of the adhesion force. Int. J. Food Microbiol. 2011, 146, 182–191. [Google Scholar] [CrossRef]
- Kesavan, J.S.; Humphreys, P.D.; Bottiger, J.R.; Valdes, E.R.; Rastogi, V.K.; Knox, C.K. Deposition method, relative humidity, and surface property effects of bacterial spore reaerosolization via pulsed air jet. Aerosol Sci. Technol. 2017, 51, 1027–1034. [Google Scholar] [CrossRef] [Green Version]
- Henry, C.; Minier, J.-P. Progress in particle resuspension from rough surfaces by turbulent flows. Prog. Energy Combust. Sci. 2014, 45, 1–53. [Google Scholar] [CrossRef]
- Kalghatgi, G.; Hunt, B. The occurrence of stagnation bubbles in supersonic jet impingement flows. Aeronaut. Q. 1976, 27, 169–185. [Google Scholar] [CrossRef]
- Henderson, B.; Powell, A. Experiments concerning tones produced by an axisymmetric choked jet impinging on flat plates. J. Sound Vib. 1993, 168, 307–326. [Google Scholar] [CrossRef]
- Krothapalli, A.; Rajkuperan, E.; Alvi, F.; Lourenco, L. Flow field and noise characteristics of a supersonic impinging jet. J. Fluid Mech. 1999, 392, 155–181. [Google Scholar] [CrossRef]
- Fillingham, P.; Murali, H.; Novosselov, I.V. Nondimensional Parameter for Characterization of Wall Shear Stress From Underexpanded Axisymmetric Impinging Jets. J. Fluids Eng. 2017, 139, 111102. [Google Scholar] [CrossRef]
- Fillingham, P.; Novosselov, I.V. Wall jet similarity of impinging planar underexpanded jets. Int. J. Heat Fluid Flow 2020, 81, 108516. [Google Scholar] [CrossRef]
- Roy, S.; Patel, P. Study of heat transfer for a pair of rectangular jets impinging on an inclined surface. Int. J. Heat Mass Transf. 2003, 46, 411–425. [Google Scholar] [CrossRef]
- Attalla, M.; Maghrabie, H.M.; Specht, E. Effect of inclination angle of a pair of air jets on heat transfer into the flat surface. Exp. Therm. Fluid Sci. 2017, 85, 85–94. [Google Scholar] [CrossRef]
- Zhang, M.; Wang, N.; Han, J.-C. Internal heat transfer of film-cooled leading edge model with normal and tangential impinging jets. Int. J. Heat Mass Transf. 2019, 139, 193–204. [Google Scholar] [CrossRef]
- Miguel-González, C.; García-Díaz, M.; Pereiras, B.; Vigil, M.; Rodríguez de Castro, A. Numerical model of a planar jet wiping system for continuous strip lines. J. Mech. Sci. Technol. 2021, 35, 2929–2938. [Google Scholar] [CrossRef]
- Crafton, J.; Carter, C.; Elliott, G.; Sullivan, J. The impingement of sonic and sub-sonic jets onto a flat plate at inclined angles. Exp. Methods Appl. Fluid Flow 2006, 41, 699–710. [Google Scholar] [CrossRef]
- Nguyen, T.; Blake, M. Flowfield Characteristics of a Supersonic Jet Impinging on an Inclined Surface. Am. Inst. Aeronaut. Astronaut. AIAA J. 2020, 58, 1240–1254. [Google Scholar] [CrossRef]
- Dorrepaal, J.M. An exact solution of the Navier-Stokes equation which describes non-orthogonal stagnation-point flow in two dimensions. J. Fluid Mech. 1986, 163, 141–147. [Google Scholar] [CrossRef]
- Beltaos, S. Oblique impingement of plane turbulent jets. J. Hydraul. Div. 1976, 102, 1177–1192. [Google Scholar] [CrossRef]
- Chin, D.; Agarwal, M. Mass-Transfer from an Oblique Impinging Slot Jet. J. Electrochem. Soc. 1991, 138, 2643–2650. [Google Scholar] [CrossRef]
- Mazurek, K.A.; Rajaratnam, N. Erosion of sand beds by obliquely impinging plane turbulent air jets. J. Hydraul. Res. 2005, 43, 567–573. [Google Scholar] [CrossRef]
- Kesavan, J.; Humphreys, P.; Nasr, B.; Ahmadi, G.; Knox, C.K.; Valdes, E.; Rastogi, V.; Dhaniyala, S. Experimental and computational study of reaerosolization of 1 to 5 μm PSL microspheres using jet impingement. Aerosol Sci. Technol. 2017, 51, 377–387. [Google Scholar] [CrossRef]
- Nasr, B.; Ahmadi, G.; Ferro, A.R.; Dhaniyala, S. A model for particle removal from surfaces with large-scale roughness in turbulent flows. Aerosol Sci. Technol. 2020, 54, 291–303. [Google Scholar] [CrossRef]
- Jaramillo, J.; Trias, F.; Gorobets, A.; Pérez-Segarra, C.; Oliva, A. DNS and RANS modelling of a turbulent plane impinging jet. Int. J. Heat Mass Transf. 2012, 55, 789–801. [Google Scholar] [CrossRef]
- Alvi, F.; Ladd, J.; Bower, W. Experimental and computational investigation of supersonic impinging jets. Am. Inst. Aeronaut. Astronaut. AIAA J. 2002, 40, 599–609. [Google Scholar] [CrossRef]
- Menter, F. (Ed.) Zonal two equation kw turbulence models for aerodynamic flows. In Proceedings of the 23rd Fluid Dynamics, Plasmadynamics, and Lasers Conference, Orlando, FL, USA, 6–9 July 1993. [Google Scholar]
- Shukla, A.K.; Dewan, A. Flow and thermal characteristics of jet impingement: Comprehensive review. Int. J. Heat Technol. 2017, 35, 153–166. [Google Scholar] [CrossRef] [Green Version]
- Naqavi, I.Z.; Tyacke, J.C.; Tucker, P.G. Direct numerical simulation of a wall jet: Flow physics. J. Fluid Mech. 2018, 852, 507–542. [Google Scholar] [CrossRef] [Green Version]







| Standoff Distance, H (mm) | 15.0, 17.5, 30.0, 35.0, 60.0, 100.0 |
| Width of the nozzle, W (mm) | 0.5, 1.0, 2.0 |
| Jet Angle, (°) | 0, 15, 20, 30, 45, 60 |
| Nozzle exit pressure ratio, NPR | 1.0, 1.2, 1.4, 1.6, 1.8, 2.0, 2.2, 2.4, 2.6, 2.8, 3.0, 3.2, 3.4 |
Publisher’s Note: MDPI stays neutral with regard to jurisdictional claims in published maps and institutional affiliations. |
© 2022 by the authors. Licensee MDPI, Basel, Switzerland. This article is an open access article distributed under the terms and conditions of the Creative Commons Attribution (CC BY) license (https://creativecommons.org/licenses/by/4.0/).
Share and Cite
Fillingham, P.; Viswanathan, A.; Novosselov, I.V. Model for Wall Shear Stress from Obliquely Impinging Planar Underexpanded Jets. Appl. Sci. 2022, 12, 7311. https://doi.org/10.3390/app12147311
Fillingham P, Viswanathan A, Novosselov IV. Model for Wall Shear Stress from Obliquely Impinging Planar Underexpanded Jets. Applied Sciences. 2022; 12(14):7311. https://doi.org/10.3390/app12147311
Chicago/Turabian StyleFillingham, Patrick, Arjun Viswanathan, and Igor V. Novosselov. 2022. "Model for Wall Shear Stress from Obliquely Impinging Planar Underexpanded Jets" Applied Sciences 12, no. 14: 7311. https://doi.org/10.3390/app12147311
APA StyleFillingham, P., Viswanathan, A., & Novosselov, I. V. (2022). Model for Wall Shear Stress from Obliquely Impinging Planar Underexpanded Jets. Applied Sciences, 12(14), 7311. https://doi.org/10.3390/app12147311

