Intelligent Detection of Parcels Based on Improved Faster R-CNN
Abstract
:1. Introduction
2. Method
2.1. Overall Framework
2.2. Edge Detection Branch
2.3. Self-Attention ROI Align
2.4. Loss Function
3. Experiments
3.1. Experimental Settings
3.2. Comparison with Different Methods
3.3. Ablation Experiment
3.4. Robustness Experiment
3.5. Experiment on Public Dataset
4. Conclusions
- (1)
- First, considering the problems of dense parcel stacking and mutual occlusion leading to false and missed detection, we constructed an edge detection branch using a Sobel filter to incorporate edge information into the network in the form of an additional auxiliary network. This strategy improves the model’s detail processing at the edges while accelerating the network’s convergence, allowing the model to learn more edge features of the parcels.
- (2)
- Second, we designed a self-attention ROI Align module for the problem of misaligned target features due to rounding in ROI Pooling. This module uses an attention mechanism to filter and enhance the features and uses bilinear interpolation to eliminate the misalignment of features caused by rounding operations.
- (3)
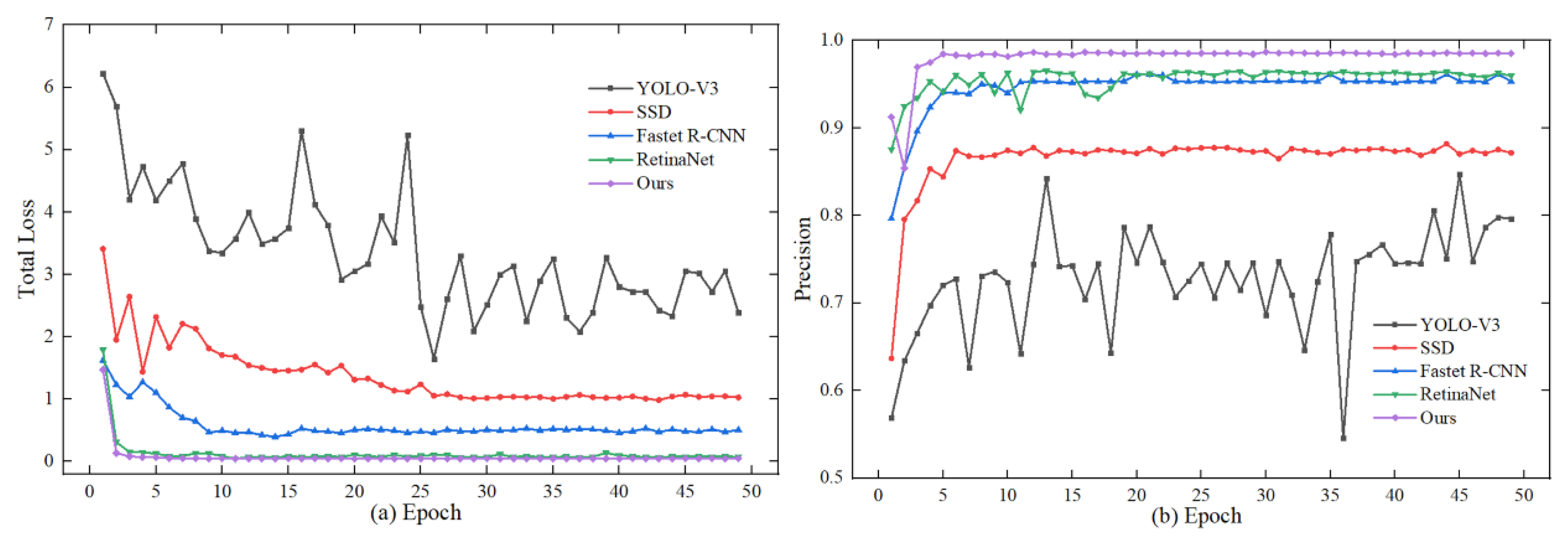
- Finally, we conducted a series of experiments on the parcel dataset and compared our approach with state-of-the-art deep learning methods (Faster R-CNN, YOLO-V3, SSD, and RetinaNet). In the parcel dataset, our method achieved 96.89% of Re, 98.76% of Pr, 97.72% of AP (0.5) and 22.83 of FPS, meeting the requirements for efficient and accurate parcel detection in natural industrial complex environments. To verify the generality of the method in this paper, we conducted comparative experiments on the public dataset SKU110K, and our method achieved 62.03% of Re, 60.65% of Pr, 61.01% of AP (0.5) and 24.47 of FPS. The experimental results show that our method is not only applicable to the detection of parcels but also to the detection of other dense objects.
Author Contributions
Funding
Conflicts of Interest
References
- Xia, K.; Weng, Z. Workpieces sorting system based on industrial robot of machine vision. In Proceedings of the 2016 3rd International Conference on Systems and Informatics (ICSAI), Shanghai, China, 19–21 November 2016; pp. 422–426. [Google Scholar]
- Zhao, Z.Q.; Zheng, P.; Xu, S.; Wu, X. Object detection with deep learning: A review. IEEE Trans. Neural Netw. Learn. Syst. 2019, 30, 3212–3232. [Google Scholar] [CrossRef] [PubMed] [Green Version]
- Girshick, R.; Donahue, J.; Darrell, T.; Malik, J. Rich feature hierarchies for accurate object detection and semantic segmentation. In Proceedings of the IEEE conference on computer vision and pattern recognition, Columbus, OH, USA, 23–28 June 2014; pp. 580–587. [Google Scholar]
- He, K.; Zhang, X.; Ren, S.; Sun, J. Spatial pyramid pooling in deep convolutional networks for visual recognition. IEEE Trans. Pattern Anal. Mach. Intell. 2015, 37, 1904–1916. [Google Scholar] [CrossRef] [PubMed] [Green Version]
- Girshick, R. Fast r-cnn. In Proceedings of the IEEE international conference on computer vision, Santiago, Chile, 7–13 December 2015; pp. 1440–1448. [Google Scholar]
- Ren, S.; He, K.; Girshick, R.; Sun, J. Faster r-cnn: Towards real-time object detection with region proposal networks. In Proceedings of the 28th International Conference on Neural Information Processing Systems, Montreal, QC, Canada, 7–12 December 2015; pp. 91–99. [Google Scholar]
- Dai, J.; Li, Y.; He, K.; Sun, J. R-fcn: Object detection via region-based fully convolutional networks. In Proceedings of the Neural Information Processing Systems, Barcelona, Spain, 5–10 December 2016; pp. 379–387. [Google Scholar]
- Lin, T.Y.; Dollár, P.; Girshick, R.; He, K.; Hariharan, B.; Belongie, S. Feature pyramid networks for object detection. In Proceedings of the IEEE Conference on Computer Vision and Pattern Recognition, Honolulu, HI, USA, 21–26 July 2017; pp. 2117–2125. [Google Scholar]
- Singh, B.; Li, H.; Sharma, A.; Davis, L.S. R-fcn-3000 at 30fps: Decoupling detection and classification. In Proceedings of the IEEE Conference on Computer Vision and Pattern Recognition, Salt Lake City, UT, USA, 18–23 June 2018; pp. 1081–1090. [Google Scholar]
- Cai, Z.; Vasconcelos, N. Cascade r-cnn: Delving into high quality object detection. In Proceedings of the IEEE Conference on Computer Vision and Pattern Recognition, Salt Lake City, UT, USA, 18–23 June 2018; pp. 6154–6162. [Google Scholar]
- Redmon, J.; Divvala, S.; Girshick, R.; Farhadi, A. You only look once: Unified, real-time object detection. In Proceedings of the IEEE Conference on Computer Vision and Pattern Recognition, Las Vegas, NV, USA, 27–30 June 2016; pp. 779–788. [Google Scholar]
- Liu, W.; Anguelov, D.; Erhan, D.; Szegedy, C.; Reed, S.; Fu, C.Y.; Berg, A.C. Ssd: Single shot multibox detector. In European Conference on Computer Vision; Springer: Cham, Switzerland, 2016; pp. 21–37. [Google Scholar]
- Redmon, J.; Farhadi, A. YOLO9000: Better, faster, stronger. In Proceedings of the IEEE Conference on Computer Vision and Pattern Recognition, Honolulu, HI, USA, 21–26 July 2017; pp. 7263–7271. [Google Scholar]
- Redmon, J.; Farhadi, A. Yolov3: An incremental improvement. arXiv 2018, arXiv:1804.02767. [Google Scholar]
- Lin, T.Y.; Goyal, P.; Girshick, R.; He, K.; Dollár, P. Focal loss for dense object detection. In Proceedings of the IEEE International Conference on Computer Vision, Venice, Italy, 22–29 October 2017; pp. 2980–2988. [Google Scholar]
- Yoo, D.; Park, S.; Lee, J.Y.; Paek, A.S.; So Kweon, I. Attentionnet: Aggregating weak directions for accurate object detection. In Proceedings of the IEEE International Conference on Computer Vision, Santiago, Chile, 7–13 December 2015; pp. 2659–2667. [Google Scholar]
- Caicedo, J.C.; Lazebnik, S. Active object localization with deep reinforcement learning. In Proceedings of the IEEE International Conference on Computer Vision, Santiago, Chile, 7–13 December 2015; pp. 2488–2496. [Google Scholar]
- Bueno, M.B.; Nieto, X.G.; Marqués, F.; Torres, J. Hierarchical object detection with deep reinforcement learning. In Deep Learning for Image Processing Applications; IOS Press: Amsterdam, The Netherlands, 2017; Volume 31, p. 3. [Google Scholar]
- Hossain, D.; Capi, G.; Jindai, M. Evolution of deep belief neural network parameters for robot object recognition and grasping. Procedia Comput. Sci. 2017, 105, 153–158. [Google Scholar] [CrossRef]
- Kumra, S.; Kanan, C. Robotic grasp detection using deep convolutional neural networks. In Proceedings of the 2017 IEEE/RSJ International Conference on Intelligent Robots and Systems (IROS), Vancouver, BC, Canada, 24–28 September 2017; pp. 769–776. [Google Scholar]
- Wang, Z.; Li, Z.; Wang, B.; Liu, H. Robot grasp detection using multimodal deep convolutional neural networks. Adv. Mech. Eng. 2016, 8, 1687814016668077. [Google Scholar] [CrossRef] [Green Version]
- Zhang, H.B.; Lan, X.G.; Zhou, X.W.; Tian, Z.; Zhang, Y.; Zheng, N. Robotic grasping in multi-object stacking scenes based on visual reasoning. Sci. Sin. Tech. 2018, 48, 1341–1356. (In Chinese) [Google Scholar] [CrossRef]
- Zeng, A.; Song, S.; Yu, K.T.; Donlon, E.; Hogan, F.R.; Bauza, M.; Ma, D.; Taylor, O.; Liu, M.; Romo, E.; et al. Robotic pick-and-place of novel objects in clutter with multi-affordance grasping and cross-domain image matching. In Proceedings of the 2018 IEEE International Conference on Robotics and Automation (ICRA), Brisbane, Australia, 21–25 May 2018; pp. 3750–3757. [Google Scholar]
- Han, X.; Liu, X.; Wang, G.; Han, S. Robotic Sorting Method in Complex Scene Based on Deep Neural Network. J. Beijing Univ. Posts Telecommun. 2019, 42, 22–28. (In Chinese) [Google Scholar]
- Nguyen, A.; Kanoulas, D.; Caldwell, D.G.; Tsagarakis, N.G. Object-based affordances detection with convolutional neural networks and dense conditional random fields. In Proceedings of the 2017 IEEE/RSJ International Conference on Intelligent Robots and Systems (IROS), Vancouver, BC, Canada, 24–28 September 2017; pp. 5908–5915. [Google Scholar]
- Viereck, U.; Pas, A.; Saenko, K.; Platt, R. Learning a visuomotor controller for real world robotic grasping using simulated depth images. In Proceedings of the Conference on Robot Learning, Brussels, Belgium, 11–12 September 2017; pp. 291–300. [Google Scholar]
- Gao, W.; Zhang, X.; Yang, L.; Liu, H. An improved Sobel edge detection. In Proceedings of the 2010 3rd International Conference on Computer Science and Information Technology, Chengdu, China, 9–11 July 2010; pp. 67–71. [Google Scholar]
- Everingham, M.; Winn, J. The pascal visual object classes challenge 2012 (voc2012) development kit. Pattern Anal. Stat. Model. Comput. Learn. Tech. Rep. 2011, 8, 5. [Google Scholar]
- Xie, S.; Tu, Z. Holistically-nested edge detection. In Proceedings of the IEEE International Conference on Computer Vision, Santiago, Chile, 7–13 December 2015; pp. 1395–1403. [Google Scholar]
- Yu, Z.; Feng, C.; Liu, M.Y.; Ramalingam, S. Casenet: Deep category-aware semantic edge detection. In Proceedings of the IEEE Conference on Computer Vision and Pattern Recognition, Honolulu, HI, USA, 21–26 July 2017; pp. 5964–5973. [Google Scholar]
- Zhao, H.; Jia, J.; Koltun, V. Exploring self-attention for image recognition. In Proceedings of the IEEE/CVF Conference on Computer Vision and Pattern Recognition, Seattle, WA, USA, 14–19 June 2020; pp. 10076–10085. [Google Scholar]
- He, K.; Gkioxari, G.; Dollár, P.; Girshick, R. Mask r-cnn. In Proceedings of the IEEE International Conference on Computer Vision, Venice, Italy, 22–29 October 2017; pp. 2961–2969. [Google Scholar]
- Goldman, E.; Herzig, R.; Eisenschtat, A.; Goldberger, J.; Hassner, T. Precise detection in densely packed scenes. In Proceedings of the IEEE/CVF Conference on Computer Vision and Pattern Recognition, Long Beach, CA, USA, 15–20 June 2019; pp. 5227–5236. [Google Scholar]
- Russell, B.C.; Torralba, A.; Murphy, K.P.; Freeman, W.T. LabelMe: A database and web-based tool for image annotation. Int. J. Comput. Vis. 2008, 77, 157–173. [Google Scholar] [CrossRef]
- Zou, Z.; Shi, Z.; Guo, Y.; Ye, J. Object detection in 20 years: A survey. arXiv 2019, arXiv:1905.05055. [Google Scholar]



















| Method | Backbone | Loss Function |
|---|---|---|
| Faster R-CNN | ResNet-50 | MSE |
| SSD | VGG-16 | MSE |
| YOLO-V3 | Darknet-53 | MSE |
| RetinaNet | ResNet-50 | Focal loss |
| Ours | ResNet-50 | MSE |
| Method | Re (%) | Pr (%) | AP (0.5) % | FPS |
|---|---|---|---|---|
| Faster R-CNN | 93.24 | 92.47 | 94.08 | 27.21 |
| SSD | 90.88 | 88.69 | 89.75 | 37.81 |
| YOLO-V3 | 83.59 | 80.13 | 81.92 | 44.25 |
| RetinaNet | 94.71 | 94.65 | 96.26 | 22.77 |
| Ours | 96.89 | 98.76 | 98.42 | 22.83 |
| Backbone | Re (%) | Pr (%) | AP (0.5) % | FPS |
|---|---|---|---|---|
| VGG-16 | 84.64 | 88.71 | 88.59 | 32.74 |
| VGG-19 | 86.69 | 89.52 | 89.12 | 32.91 |
| ResNet-18 | 92.83 | 90.15 | 91.95 | 27.35 |
| ResNet-50 | 96.89 | 98.76 | 98.42 | 22.83 |
| ResNet-101 | 93.79 | 92.53 | 94.83 | 12.87 |
| MobileNet-V2 | 82.17 | 83.62 | 83.31 | 57.59 |
| Method | AP (0.5) % | MD Rate (%) | FD Rate (%) | FPS |
|---|---|---|---|---|
| Faster R-CNN | 94.08 | 5.16 | 5.83 | 27.21 |
| Faster R-CNN + Edge Detection | 95.32 | 3.47 | 4.51 | 26.45 |
| Faster R-CNN + self-attention ROI Align | 95.48 | 3.86 | 4.29 | 26.92 |
| Ours (Faster R-CNN + Edge Detection + self-attention ROI Align) | 98.42 | 3.02 | 3.98 | 22.83 |
| Category | Image Number | Parcel Number | Precision | Recall | MD Rate | FD Rate |
|---|---|---|---|---|---|---|
| Lab Scene | 50 | 324 | 99.32% | 99.76% | 1.18% | 1.03% |
| Ordinary Scene | 50 | 339 | 96.54% | 96.69% | 3.22% | 3.47% |
| weakly illuminated | 50 | 318 | 95.78% | 95.11% | 4.48% | 5.25% |
| Method | Re (%) | Pr (%) | AP (0.5) % | FPS |
|---|---|---|---|---|
| Faster R-CNN | 60.39 | 55.97 | 58.70 | 24.03 |
| SSD | 48.28 | 53.61 | 50.27 | 35.71 |
| YOLO-V3 | 58.44 | 55.19 | 56.59 | 83.33 |
| RetinaNet | 60.42 | 58.99 | 59.73 | 23.84 |
| Ours | 62.03 | 60.65 | 61.01 | 24.47 |
Publisher’s Note: MDPI stays neutral with regard to jurisdictional claims in published maps and institutional affiliations. |
© 2022 by the authors. Licensee MDPI, Basel, Switzerland. This article is an open access article distributed under the terms and conditions of the Creative Commons Attribution (CC BY) license (https://creativecommons.org/licenses/by/4.0/).
Share and Cite
Zhao, K.; Wang, Y.; Zhu, Q.; Zuo, Y. Intelligent Detection of Parcels Based on Improved Faster R-CNN. Appl. Sci. 2022, 12, 7158. https://doi.org/10.3390/app12147158
Zhao K, Wang Y, Zhu Q, Zuo Y. Intelligent Detection of Parcels Based on Improved Faster R-CNN. Applied Sciences. 2022; 12(14):7158. https://doi.org/10.3390/app12147158
Chicago/Turabian StyleZhao, Ke, Yaonan Wang, Qing Zhu, and Yi Zuo. 2022. "Intelligent Detection of Parcels Based on Improved Faster R-CNN" Applied Sciences 12, no. 14: 7158. https://doi.org/10.3390/app12147158
APA StyleZhao, K., Wang, Y., Zhu, Q., & Zuo, Y. (2022). Intelligent Detection of Parcels Based on Improved Faster R-CNN. Applied Sciences, 12(14), 7158. https://doi.org/10.3390/app12147158
