Next Article in Journal
The Interdisciplinary Orthodontic–Surgical Diagnostic and Treatment Protocol for Odontogenic Cyst-like Lesions in Growing Patients—A Literature Review and Case Report
Next Article in Special Issue
Levels of IL-23/IL-17 Axis in Plasma and Gingival Tissue of Periodontitis Patients According to the New Classification
Previous Article in Journal
Assisted-Driven Design of Customized Maintenance Plans for Industrial Plants
Previous Article in Special Issue
Comparative Analysis of Temperature Variation with Three Continuous Wave Obturation Systems in Endodontics: An In Vitro Study
 
 
Font Type:
Arial Georgia Verdana
Font Size:
Aa Aa Aa
Line Spacing:
Column Width:
Background:
Article

Chronic Obstructive Pulmonary Disease and Apical Periodontitis and Other Oral Health Variables: A Case-Control Study

by
Anna Carrera-Cortés
1,
Yuliana Pascual-González
2,
Salud Santos
3,
Jenifer Martín-González
4,
Juan José Segura-Egea
4 and
José López-López
1,5,6,*
1
Department of Odontostomatology, Faculty of Medicine and Health Sciences (School of Dentistry), University of Barcelona, L’Hospitalet de Llobregat, 08907 Barcelona, Spain
2
Department of Pulmonary Medicine, Bellvitge University Hospital, L’Hospitalet de Llobregat, 08907 Barcelona, Spain
3
Biomedical Research Networking Center in Respiratory Diseases (CIBERES) & Head of the Department of Pulmonary Medicine, Bellvitge University Hospital, Institut d’Investigació Biomèdica de Bellvitge (IDIBELL), University of Barcelona, L’Hospitalet de Llobregat, 08907 Barcelona, Spain
4
Department of Stomatology, School of Dentistry, University of Sevilla, 41009 Sevilla, Spain
5
Oral Health and Masticatory System Group, Institut d’Investigació Biomèdica de Bellvitge (IDIBELL), University of Barcelona, L’Hospitalet de Llobregat, 08907 Barcelona, Spain
6
Service of the Surgical Medical Area, Hospital Odontològic de la Universitat de Barcelona, University of Barcelona, 08907 Barcelona, Spain
*
Author to whom correspondence should be addressed.
Appl. Sci. 2022, 12(14), 7141; https://doi.org/10.3390/app12147141
Submission received: 2 July 2022 / Revised: 8 July 2022 / Accepted: 13 July 2022 / Published: 15 July 2022
(This article belongs to the Special Issue Advances in Endodontics and Periodontics)

Abstract

Background: The relationship between chronic inflammatory diseases and their comorbidities and correlation with periodontal diseases has become an increasing focus of research. Objectives: The aim of this case-control study was to conclude if patients suffering from COPD (Chronic Obstructive Pulmonary Disease) tend to have more AP (Apical Periodontitis) than non-COPD patients. Materials and Methods: The study was conducted on 30 patients assigned as cases, associated with 30 control patients linked by age (+/−5 years) and sex. Results: A total of 60 patients were recorded, and a total of 12 radiographic variables were analyzed. A total of 43 (71.7%) patients were registered with PAI (Periapical Index) ≥ 3, and there was a slightly tendency in the patients from the control group 22 (73.3%) compared to those from the cases 21 (70%), respectively (p > 0.05). Conclusions: It was concluded that there was not a significant association between the levels of PAI (Periapical Index) ≥ 3 per patient in those suffering from COPD. In fact, it could be concluded that patients diagnosed with COPD tend to have more teeth with PAI ≥ 3, more endodontic treatments and their periodontitis tended to accumulate more caries. Clinical Significance: This study establishes, in a case-control study, some specific aspects of oral health in patients with COPD, as well as analyzing the importance of oral health in this disease.

1. Introduction

1.1. Apical Periodontitis (AP)

AP is a worldwide prevalent infectious disease, and it is characterized by an inflammatory response and bone destruction in the periapical tissues caused by microbial infection in the dental pulp. It is characterized radiographically by the presence of a Radiolucent Periapical Lesion (RPL) [1]. The bone destruction is caused by both microbial infection and the immune response as part of the defense reaction [2].
It is the most frequent pathological lesion in the jaws, mainly manifested as periapical granulomas and cysts [3]. Root canal treatment is the elective treatment for teeth with AP that must be preserved [2]. It is essentially an inflammatory disease of microbial etiology, and there is clear evidence that microbial interaction plays an important role for the pathogenesis of AP [3].

1.2. Periapical Index (PAI)

There are different indices to evaluate AP, but one of the most-used is the PAI proposed by Ørstavik et al. in 1986 [4]. The scoring system for the registration of AP in radiographs is presented. The system is called PAI and provides an ordinal scale of five scores ranging from one (healthy) to five (severe periodontitis with exacerbating features). Its validity is based on the use of reference radiographs of teeth with verified histological diagnoses. The system may be suitable for the analysis of periapical radiographs in epidemiological studies, clinical trials and the retrospective analysis of treatment results in endodontics [4].

1.3. AP and Systemic Diseases

Chronic AP develops as a chronic inflammatory process characterized radiographically by the presence of periapical radiolucency, a radiolucent image surrounding the apex of the affected tooth [5]. In recent years there has been a biological basis for suggesting that different systemic diseases may influence BP (Blood Pressure). One of the most studied is DM (diabetes mellitus). DM can affect the periapical immune response, causing a delayed healing process, and, consequently, there could be expected to be a higher prevalence of periapical lesions and a higher rate of post-treatment disease in diabetic patients than in control subjects without diabetes. Different studies have clinically investigated in humans the possible association between DM and AP; Falk et al. in 1989 [6], Bender and Bender in 2003 [7], Britto et al. in 2003 [8], Fouad and Burlesson in 2003 [9] and Pérez-Losada et al. in 2020 [10].
Other studies support the concept that smoking is associated with an increase in the prevalence of AP (Aleksejuniene et al. in 2000 [11], Kirkevang and Wenzel in 2003 [12], Kirkevang et al. in 2007 [13], Segura-Egea et al. in 2008 [14] and 2011 [15], and López-López et al. in 2011 [16]) and is able to act as a risk factor for AP [17].
It has also been related to a lesser degree with other systemic diseases, such as: hypertension [18], osteoporosis [19,20,21], multiple myeloma [21], cardiovascular diseases [22,23], metabolic syndrome [24], and transplanted [25] and coagulation disorders [5]. There is a significant association between ICD (Inherited Coagulation Disorders) and the presence of radiographically diagnosed periapical lesions, an aspect that shows that coagulopathies hardly can be regarded as a primary cause of root canal infection and AP [10]. It can also be stated that there is an association between AP and MetS (Metabolic Syndrome) and ACVD (Atherosclerotic Cardiovascular Disease) [7].
During these last two years of the pandemic, it has been hypothesized that periodontopathic bacteria are also involved in COVID-19 aggravation, and, therefore, the management of good oral hygiene potentially contributes to its prevention [26,27,28].

1.4. Chronic Obstructive Pulmonary Disease (COPD) and Periodontal Diseases

In recent years, it has been recognized that periodontitis is linked to the severity of COPD through the microbial colonization of the respiratory system by dental plaque or airway inflammation caused by periodontal pathogens. Oral pathogens may be related to elevated circulating levels of cytokines and systemic inflammation, which has been implicated in the pathogenesis of COPD [29]. Both chronic periodontitis and COPD have a common element of host susceptibility to environmental factors [30].
It commonly appears associated with other comorbidities that are thought to share an underlying inflammatory process, whether systemic or organ-specific, including chronic inflammatory oral diseases such as periodontitis [31]. Recognized as a heterogeneous disease with different contributions from airway and parenchymal abnormalities, the diagnosis and monitoring of patients are currently made using airflow measurements. It is a chronic lung condition characterized by progressive, irreversible airway obstruction [29].
COPD is characterized by an abnormal inflammatory response of the lungs to noxious particles or gases, particularly cigarette smoke, and is defined by the presence of airflow obstruction. It consists of several pathological subtypes, such as emphysema, small-airways disease and chronic bronchitis, which are distinct entities, although often combined in a single patient. There has been growing interest in the hypothesis that COPD forms part of a ‘chronic systemic inflammatory syndrome’. Patients with COPD have higher levels of circulating inflammatory cytokines including C-reactive protein, IL-8 and TNF α, which have been shown to relate to disease severity [30,31].

1.5. Justification

Despite all the revised literature exposed previously, it cannot be concluded from the scientific evidence that COPD is correlated with chronic AP; in fact, this study sets up a hypothesis: due to the lack of scientific evidence on a possible correlation between AP and COPD, a comparative work analyzing if COPD patients tend to suffer more AP than non-COPD patients was set up. Based on the hypothesis, the comparative work was classified as a clinical study of cases and controls to contrast it.

2. Materials and Methods

This case-control study was formed by 30 panoramic radiographies from COPD patients assigned as cases, which were associated with 30 panoramic radiographies from patients assigned as controls linked by age and sex without diagnosed COPD or any other confusing disease with inflammatory responses, such as DM or CVD (Cardiovascular Diseases), among others.
The panoramic radiographies assigned as cases were facilitated by the Department of Pulmonary Medicine from the Hospital Universitari de Bellvitge, and the controls were taken from patients attending the Hospital Odontològic Universitat de Barcelona.
The aim of this study was to discover if patients with diagnosed COPD tend to suffer more AP than non-COPD patients. In order to give more consistency to the study we settled on a list of several radiographic variables to analyze as secondary objectives: I—the calibration of the investigator in the PAI’s evaluation, II—the analysis of the Klemetti Index in the panoramic radiographies in both groups, III— the analysis of the CW (Cortical Width) in both groups, IV—the analysis of the periodontal loss observed in the radiographies from both groups, V—the analysis of the reduction in the number of teeth in both groups, VI—the analysis of the number of endodontic teeth in both groups and VII—the analysis of the correlation between PAI and endodontic teeth in both groups.
According to the panoramic radiographies, the level of AP was settled, calibrating it with the PAI described by Ørstavik et al. [4]. It settled in the following way; 1: normal status, 2: minor change of the bone structure, 3: more change of the bone structure and some mineral lost, 4: radiolucide area well-defined and 5: severe radiolucide area well-defined with exacerbation signs. When in doubt of two stages, the higher stage was used as the settled one. PAI ≥ 3 was defined as AP [4].
With all the obtained data, we correlated different clinical values based on COPD established by the Department of Pulmonary Medicine.

2.1. Study’s Design

The project consisted of a case-control study following the statements of the STROBE guide [32]. As limitations of the study, we delimited; the sample’s size, the lack of previous studies involving COPD and AP and the measures used to collect all the data.

2.2. Subjects of the Study

The group of cases was formed by patients with COPD diagnosis, according to GOLD (Global Initiative for Chronic Obstructive Lung Disease), a global consensus on strategy for the diagnosis, management and prevention of this disease. GOLD reports stratified patients considering three risk variables: FEV1 (Forced Expiratory Volume in one second), symptoms and exacerbations. For the diagnosis of COPD, a FEV1/FVC (Forced Vital Capacity) ratio of <0.70 assessed by spirometry after bronchodilator use was required [33]. These patients attended the COPD pneumology service from the Hospital Universitari de Bellvitge.
The panoramic radiographies from the cases subjects and the anonymous data of the patients were given by the Department of Pulmonary Medicine from the Hospital Universitari de Bellvitge, corresponding to patients that were visited for other medical reasons.
The control group was formed by non-COPD patients (also not suffering from any other disease that could be confused with COPD), and these panoramic radiographies were taken by the Hospital Odontològic de la Universitat de Barcelona from patients that had visited the Medicine, Surgery and Implantology Master from the UB (Universitat de Barcelona) and from patients that were visited at the “practicum” from the 5th course of the dentistry degree program at the UB.
The groups were divided as follows: Group 1 [cases]: 30 subjects with a medical history of COPD, who were the study group and Group 2 [controls]: 30 additional subjects who accepted and understood the inclusion criteria of the study, with non-referring clinical signs and no medical history of COPD or any other confusing disease, paired by age and sex, who were the control group.
Both groups were paired by age (+/−5 years) and sex with the obtained data from the cases group.

2.3. Inclusion and Exclusion Criteria

The inclusion criterion was the following: patients suffering from COPD, including the different existing types and stages. The exclusion criteria were: I—patients suffering from systemic diseases that had similar inflammatory responses and characteristics that could be confused with COPD, such as poorly controlled DM towards others, like CVD (both comorbidities frequently associated with COPD), and II—patients suffering from similar respiratory diseases that were confused with COPD (asthma, congestive heart failure, bronchiectasis, tuberculosis, bronchiolitis obliterans or diffuse panbronchiolitis).

2.4. Sample Size Calculation

According to López-López et al. [34], there is an existing evidence association between smoking and the presence of at least 1 periapical lesion, radiographically detected.
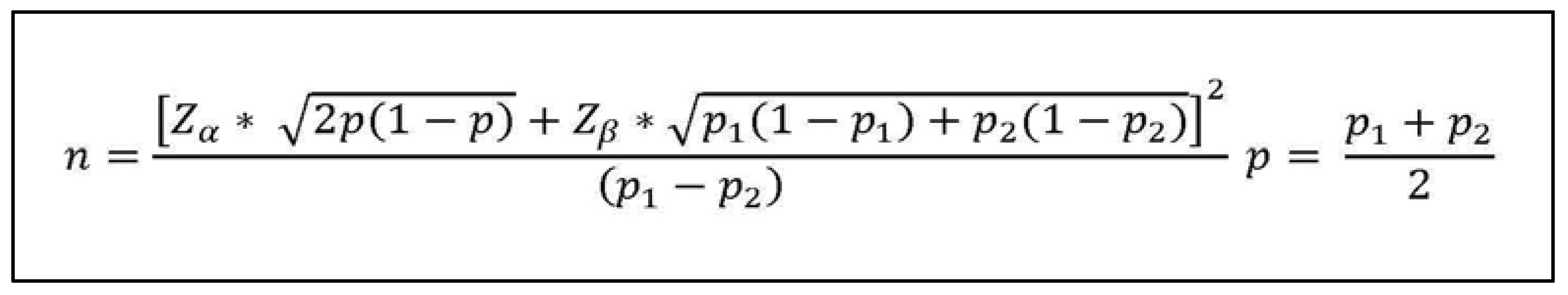
This case-control study was considered a pilot study; assuming that the prevalence of AP in patients with COPD has not been proved or studied, we shared the same equivalence of tobacco and AP from previous studies by López-López et al. [34], wherein the smoker patients had at least 1 tooth with PAI ≥ 3 (74.7%) in comparison to (12.7%) of the control group. Applying p = 0.05, we would obtain a sample size of 11 patients from the group (Figure 1). It was a descriptive study analyzed by the chi-square test and the quantitative variables according to central tendency measures and dispersion, following the Kolmogorov–Smirnov test accepted with a value of (p < 0.005) and defined with the statistical average and standard deviation or statistical median and IQR (interquartile range).

2.5. Description of the Treatment or Intervention

First, the investigator (A.C.-C.) examined 87 randomly chosen dental radiographies (periapical and panoramic), analyzing the PAI index, following the Ørstavik et al. [4] criteria and also the radiographic variables KI (Klemetti Index) and CW (Cortical Width) described by López-López et al. in 2011 [36]. Once all the data had been analyzed, a concordance with the two co-investigators was established (J.L.-L. and J.J.S.-E.). The process was repeated with different panoramic radiographies until the obtention of a Kappa Index of a K ≥ 0.61 according to López de Ullibarri Galparsor and Pita Fernández [35].
During the process we obtained a Kappa Index with a value of a K ≥ 0.81. Once we had obtained the value, we proceed to analyze the panoramic radiographies corresponding to the descriptive study. For that, we studied 30 panoramic radiographies from anonymous patients facilitated by the Department of Pulmonary Medicine of the Hospital Universitari de Bellvitge. We also selected the 30 control patients (paired by age and sex) from those at the Hospital Odontològic de la Universitat de Barcelona, All the panoramic radiographies were analyzed in an HP screen of 21 inches with environmental light and always between 4 p.m. and 6 p.m.

2.6. Description of the Variables

The following variables were extracted from the patient’s medical history and/or the panoramic radiographies with a scale of 1:1: I—sex (qualitative variable); II—age (nominal variable); III—COPD level (qualitative variable), noted following the data facilitated from the Department of Pulmonary Medicine and using the classification proposed by the Global Strategy for the Diagnosis, Management and Prevention of COPD; IV—radiological values: CW (mandibular cortical in mm), KI (values 1, 2, 3); these 2 parameters were analyzed following the proposed indication by López-López et al. [36], the Klemetti et al. [37] criteria and Horner and Devlin [38]; V—number of present teeth; VI—number of endodontic teeth; VII—PAI data was noted as (0, 1, 2, 3, 4, 5), as described by Ørstavik et al. [4]; VIIII—mesial and distal bone loss (mm) of each one of the present teeth; for that, the distance from the enamel–junction line to the cortical bone was measured, observing how many teeth show mesial or distal loss > 4 mm, and the global average loss is sum of the mesial and distal loss divided by 2 and the number of present teeth.

2.7. Statistical Analysis

For the concordance of the study, the KI (Kappa Index) was used. All data was collected in an Excel table from the Microsoft Office Package (2013) and was analyzed with the SPSS program 17.0 for Windows (SPSS, Chicago, IL, USA, 2011).
A descriptive analysis of the qualitative variables was realized, according to their frequency and percentage, and the quantitative variables according to their central tendency measures and dispersion.
The quantitative variables, depending on their normal distribution following the Kolmogorov–Smirnov test (p > 0.05), were defined with the statistical average and standard deviation if they are not in accordance with the statistical median and IQR.

2.8. Specification of the Acceptance of National and International Ethical Standards

This study was conducted under the ethical principles of the Helsinki Declaration and according with the requirements of the Real Decreto 1090/2015, 4th December, to regulate clinical trials with medical products, the Ethics Committee of the medical investigation and the Spanish Register of Clinical Studies and article nº 32 of the Ethics Code and Medical Deontology of Spanish of Collegiate Medical Organization (OMC).
The study had the approval of the Ethics Committee on the investigation of medical products and medical devices (CEIm) with the code 2/2021 from version 2 of the Hospital Odontològic de la Universitat de Barcelona studies’ protocol.
Personal data employed in the study was kept anonymous all of the time. The study was carried out according to the General Rules of Data protection (EU) 2016/679 and the Organic Law 3/2018, 5th December, of Data Personal Protection and Digital Rights Guarantee.
The names of the patients did not appear in any document of the study, and on no occasion were the identities revealed in any publication or communication. The panoramic radiographies were transferred in an anonymous way.

3. Results

3.1. Sample’s Description

The cases group formed by 52 male patients (86.6%) and 8 female patients (13.3%) were recorded. There was no significant difference in sex and age, since the cases were paired by age (+/−5 years) and sex. The total average age was 71.20 ± 8.947 (p > 0.05), and the range of age was 50–88.

3.2. Case and Control Groups

The cases group was 4 females (13.3%) and 26 males (86.7%). All of them were diagnosed with severe or very severe (post-bronchodilator FEV1 < 50% predicted) COPD, making them the studied group. The total average age was 71.83 ± 8.292 (p > 0.05). Patients’ ages ranged from 50 to 87. A total of 24 of these 26 patients were former smokers, and the rest (n = 4) were active smokers. One-third of the patients had well-controlled type 2 diabetes mellitus (n = 10) without target organ involvement.
The control group was 4 females (13.3%) and 26 males (86.7%). The total average age was 70.57 ± 8.791 (p > 0.05). Patients’ ages ranged from 52 to 88. In this group, there was no existence of COPD history or any other disease that could be confused with it (such as DM or CVD among others).
Table 1 shows the presence of all the diseases and medical conditions from the control group. A total of 22 patients from the control group were current or former smokers.

3.3. Study’s Variables

Table 2 shows the distribution of the study factors in both control and case groups. There was no significant difference in age, gender and number of teeth between both groups.

3.3.1. Age and Gender

For all subjects, the average age was 71.20 ± 8.947 (p > 0.05), 71.83 ± 8.292 (p = 0.568), in the case group and 70.57 ± 8.791 in the control subjects. A total of 60 patients were recorded; from these, 8 (13.3%) were female and 52 (86.7%) males. Both case and control groups contained 4 females (13.3%) and 26 males (86.7%) (p = 1).

3.3.2. Number of Present Teeth

The total number of present teeth in the 60 patients was 1070 teeth, 522 (48.7%) in the case group and 548 (51.2%) in the control group. The average number of teeth for all subjects of the study was 18.62 ± 7.835, a total of 18.63 ± 7.545 in the studied group and 18.60 ± 8.245 in the control group, respectively (p = 0.987).

3.3.3. Periapical Index ≥ 3 and Population

A total of 43 (71.7%) patients were found to have PAI ≥ 3. Not many differences were found between both groups; regarding teeth with PAI ≥ 3, we found a slightly increased number in the control group, 22 (73.3%), compared to the case subjects, 21 (70%) (p = 0.774).

3.3.4. Periapical Index ≥ 3 and Number of Present Teeth

Despite the finding between the number of PAI ≥ 3 per patient, we found that, if we analyzed the PAI ≥ 3 teeth, we found, in total, an average of 1.77 ± 1.633 from these; 1.93 ± 1.837 were part of the cases group and 1.60 ± 1.429 from the control subjects, respectively (p = 0.436).

3.3.5. Number of Root-Filled Teeth

The total average of RFT in the 60 patients was 1.365 ± 1.736; from these, 1.43 ± 2.079 were from the cases and 1.30 ± 1.393 from the controls, respectively (p = 0.771).

3.3.6. Root-Filled Teeth with Periapical Index ≥ 3

From the total recount, 15 RFT (25%) were recorded; there were not many differences between the groups. From these, 8 (26.7%) belonged to the control subjects and 7 (23.3%) to the cases. We found that there was a higher prevalence of healthy RFT 45 (75%) than RFT with PAI ≥ 3 15 (25%), respectively (p = 0.766).

3.3.7. Stage of Periodontitis (Bone Loss)

Patients were categorized according to the Classification of Periodontal and Peri-Implant Diseases and Conditions based on the AAP classification [39]. Stage I: bone loss 1–2 mm, Stage II: bone loss 3–4 mm, Stage III: bone loss ≥ 5 mm (≤4 of lost teeth), Stage IV: bone loss ≥ 5 mm (≥5 of lost teeth).
A total of 22 (36.7%) patients were categorized into Stage I, 10 (33.3%) in the control group and 12 (40%) in the cases group. A total of 30 (50%) patients were categorized into Stage II, 16 (53.3%) from the control subjects and 14 (46.7%) from the cases group. None of the patients were categorized into Stage III. A total of 18 (13.3%) were categorized into Stage IV, 4 (13.3%) in each group (p = 0.854).

3.3.8. Number of Caries

The total no. of caries found in all of the subjects was 3.4 ± 2.775, a total of 2.33 ± 2.02 for the control group and 4.47 ± 3.53 for the case group (p = 0.007).

3.3.9. Cortical Width

The CW was measured in mm, and the average for the 60 patients in the study was of 3.525 ± 0.702, a total of 3.183 ± 0.675 for the control patients and 3.867 ± 0.73 for the case group (p < 0.001).

3.3.10. Klemetti Index

The KI was categorized into three different stages; for all subjects, 43 (71.7%) were categorized into C1, 20 (66.7%) for the control group and 23 (76.7%) for the cases. C2 was recorded in a total of 17 (28.3%) patients; of these, 10 (33.3%) were from the control group and 7 (23.3%) from the cases (p = 0.390).

3.3.11. Mattila Index

The Mattila Index was recorded in order to discover a correlation between caries and periodontitis. From the total sample, 11 (18.3%) patients did not present an association between caries and periodontal disease; from these, 9 (30%) were from the control patients and 2 (6.7%) from the cases. A total of 49 (81.7%) patients were found to be suffering from both caries and periodontitis; of these, 21 (70%) were from the control population and 28 (93.3%) from the cases (p < 0.05).

4. Discussion

The aim of this study was to investigate the possible correlation between AP and COPD using a case-control study design.

4.1. Age and Gender

Because control subjects were (+/−5 years) paired by age and sex matched with case subjects, there were no significant differences between control and case patients in age or in gender.

4.2. Number of Present Teeth

According to Lang et al. [40], this study concluded that missing teeth (as well as number of teeth per patient) performed well as an indicator of oral health status. The average number of teeth per patient was similar in both groups; it can be considered that the oral health status of the control and case subjects was comparable.

4.3. Periapical Index ≥ 3 and Population

The PAI scoring system has been modified and applied to epidemiologic [40,41] clinical comparative studies of treatment outcome [41]. PAI was first described for periapical radiographs [4], but numerous epidemiologic studies have used this index for panoramic radiographies [41,42,43,44,45,46]. It has been reported that panoramic digital images find significantly higher percentages of teeth with PAI ≥ 3 [45,46,47,48,49]. On the other hand, other investigators have found that the underestimation of lesions occurred when panoramic radiographies were used [50,51,52,53]. As an outcome, it can be concluded that the number of teeth with PAI ≥ 3 per patient is very similar between both groups, with an increased slightly tendency among the control subjects. We can conclude that the controls from the study had a higher tendency to suffer PAI ≥ 3 than the cases.

4.4. Periapical Index ≥ 3 and Number of Teeth

According to the study of Ridao-Sacie et al. [47], a total of 2088 teeth were examined, and from that, 14.7% were found to be periapically diseased teeth in digital panoramic images compared to 3.1% analyzed with periapical radiographs. The frequency of teeth with AP in other studies varies from 0.6% in Eriksen et al. [48] to 9.8% in Allard et al. [49]. This range is large, probably due to the variation among the examined population. It can be stated that these results tend to change depending on the examined population. In our study, despite finding almost the same results between both groups analyzing the PAI ≥ 3 per patient, when we analyzed the number of PAI ≥ 3 per teeth, we observed that the tendency had changed. We found that the number of PAI ≥ 3 (described as pathological) per teeth was higher among the cases. As a result, we can conclude that the controls from the study had a higher tendency to suffer from PAI ≥ 3; instead, each one of the cases had more tendency to be suffering from PAI ≥ 3.

4.5. Number of Root-Filled Teeth

According to the study of Dydyk et al. [54] executed in an adult population of 435 patients from (Lviv, Ukraine), the overall percentage of RFT in adult dentition is 12.08%, and an increase of treated teeth with age was identified. A total of 82.5% examined adults had one or more endodontically treated teeth in this study. In our case-control study, we found a total of 82 RFT per 1070 present teeth from a total of 60 patients, estimating an average of 7.66%. As a result, the average number of RFT was higher among cases. With this fact, it can be reported that the case subjects required more endodontic treatments due to pathological and medical conditions, among other possibilities.

4.6. Periapical Index ≥ 3 and Root-Filled Teeth

It has repeatedly been demonstrated that the preoperative presence or absence of AP is one of the most important prognostic factors for a root-canal-treatment tooth [55,56,57,58]. According to Kirkevang et al. [56], the difference between the PAI score distribution of RFT and of teeth without root filling was statistically significant on all occasions, concluding that teeth without root filling had a much lower PAI score. It was finally concluded that each one of the five score categories had a distinct prognostic value for the course of periapical disease over a 5-year period, for both non-root-filled and root-filled teeth. Moreover, the higher the baseline PAI, the higher risk for the tooth to be extracted, which could explain the fact that, in our study, the case group had a smaller number of PAI ≥ 3 per endodontic tooth; this could be because of the final extraction of the tooth, due to the increased progression of the AP. It was also found that there were more RFT without PAI ≥ 3 than with PAI ≥ 3; with this, we can conclude that endodontic treatment could have cured and healed a possible tooth with a periapical lesion.

4.7. Cortical Width

On the panoramic radiographies, some anatomical and pathological structures can be found, and information provided by these is helpful to establish a proper osteoporosis diagnosis, to propose a treatment plan and to evaluate the results of the treatment (Maćkowiak et al. [58]). Different studies use these radiographies for the estimation of different mandibular parameters, mainly the distances between elements on the body of the mandible. The measure was done on the panoramic radiographies measuring the mandibular cortical thickness below the mental foramen. According to Abhyankar et al. [59], panoramic digital X-rays are used for the diagnosis of osteoporosis, measuring the distance of CW; after this, the patients are classified as having a low bone-mineral density or normal bone-mineral density. Abnormalities in the CW as imaged on the panoramic radiography may be indicative of osteoporosis (especially in postmenopausal women). Some authors like, Karayianni et al. [60], concluded that, if the CW is <3 mm, an individual should be referred for further osteoporosis investigation.
As a result, we found similar results among the cases and the controls; the average from all the patients together from our study present a CW > 3 mm and no pathological signs.

4.8. Klemetti Index

The KI, according to López-López et al. [36], is based in a simple visual check of the trabecular pattern that enables us to observe if there is evidence of the loss of bone mass. The visual exams tend to be a bit subjective, as they depend on the level of training of the examining doctor. In our study, we could observe that the majority of the 60 patients present a KI according to a C1, regardless of the many differences between both groups. This could be because most of the patients from our sample were men (86.6%), and, as we have mentioned before, most the osteoporotic patients are female. Another reason is that, in Europe and more specifically in Spain, there is not much prevalence of severe bone pathologies compared to other parts of the world that could be more affected by them, so we can conclude that, in our geographic area, it is more common to find categories according to C1.
From the study of López-López et al. [31], we can extract C1: the endostic margin is uniform and marked on both sides; C2: slightly or moderately eroded, the endostic margin appears to have semi-lunar defects (lacunar resorption), or there appear to be forms of cortical residues; C3: cortex severely eroded, the cortical bone is clearly porous, and there is a significant amount of residue.

4.9. Stage of Periodontitis (Bone Loss)

According to Helmi et al. [61], the global burden of oral conditions in 2010 affected nearly 4 billion people; severe periodontitis was ranked the sixth most-prevalent condition, with about 744 million individuals affected globally. The use of radiographs to assess alveolar bone loss appears frequently in the literature. In this study, a total of 1131 individuals were included in the analysis; overall periodontitis prevalence for the sample was 55.5% (±1.4%); the moderate periodontitis prevalence was 20.7% (±1.2%), while 2.8% (±0.5%) of the whole sample had severe periodontitis. All three case definitions were highest among 65+ year-old, males, former smokers, those with CVD and stage 2 hypertension subjects. Mean increase in bone loss was higher for older age groups; males had higher amounts of bone loss than females, who have a higher risk of developing periodontal diseases with significantly higher alveolar bone loss. The existence of different predictive factors has different risks for the progression of periodontal diseases. That is why further analysis of the social determinants of health is a necessity to understanding all factors participating in the development of diseases and their associated risk factors.
Focusing on our study, there was no significative difference between both groups. It was reported that all patients had at least some beginnings of bone loss. All of them were staged according to (Stage I, Stage II, Stage III, Stage IV), and we can extract that the prevalence of bone loss could be directly correlated to the fact that the 86.6% of our sample was men. Furthermore, we can correlate the facts for patients in a range of age from 50 to 88 years old. The existence of risk factors and the medical conditions of each subject can also be directly correlated with the existence of bone loss and subsequently an instauration of periodontitis.

4.10. Number of Caries

According to Jepsen et al. [62], the prevalence of dental caries and periodontitis is high, with untreated dental caries being the most-common disease affecting humans worldwide (GBD 2016). C. Heng [63] concluded that the prevalence of dental caries in permanent teeth was of 58% and that about 90% of adults aged ≥20 years had dental caries. In our study, there was a much higher prevalence of caries in the cases; this could be due to the existing correlation between caries and periodontitis. As an outcome, there could also be an association between the presence of the medical conditions from the cases and the prevalence of caries.

4.11. Mattila Index

The study carried out by Mattila et al. [64] concluded that severe periodontal diseases and dental caries tend to accumulate in the same subjects. According to Mattila et al. [64], 64% of subjects had periodontal disease; of these, 33% had significantly more dental caries compared with those without periodontal disease (23%). As a result, in our study, it can be considered that patients tend to have more caries if they present any sign of periodontal disease.
Finally, as part of the study, we delimited a series of limitations exposed before. In addition, panoramic radiography has been used to assess cortical thickness and bone loss [65,66,67]; however, the data obtained should be evaluated with caution because the technique used is not the best.

5. Conclusions

In conclusion, the results of the present study show that, after adjusting for age, gender, number of teeth, endodontic status and medical conditions, it can be concluded that: there is not a significative association between the number of PAI ≥ 3 per patient among those suffering from COPD. In fact, it can be concluded that patients with diagnosed COPD tend to have more teeth with PAI ≥ 3. Furthermore, the population suffering from COPD tends to need more endodontic treatments; these patients also have a smaller number of PAI ≥ 3 per endodontic tooth because of the final extraction of the tooth due to the increased progression of the AP.
Cases and controls from this study reported the same average of CW, >3 mm, in those without any pathological sign. The studied patients were all categorized as C1, according to the KI, regarding their gender and geographic conditions. All subjects participating in the study reported some beginnings of bone loss that can be directly associated with the presence and instauration of periodontal diseases. As evidence it can be concluded that patients with COPD present more teeth with caries and that those who have COPD and periodontal disease tend to accumulate more caries.

Author Contributions

Conceptualization, J.L.-L., A.C.-C. and J.J.S.-E.; methodology, J.L.-L.; J.M.-G. and J.J.S.-E.; software, A.C.-C.; validation, all authors; formal analysis, J.M.-G. and A.C.-C.; investigation, A.C.-C., J.L.-L., Y.P.-G. and S.S.; resources, A.C.-C.; data curation, A.C.-C., J.J.S.-E. and J.L.-L.; writing—original draft preparation, A.C.-C. and J.L.-L.; writing—review and editing, A.C.-C., J.L.-L. and J.J.S.-E.; visualization, J.L.-L.; supervision, J.L.-L., J.J.S.-E., Y.P.-G. and J.J.S.-E.; project administration, J.L.-L. All authors have read and agreed to the published version of the manuscript.

Funding

One part of the research was funded by Beca La Caixa Tabaquisme from Fundació Catalana de Pneumologia (FUCAP-2019, PRO27/19).

Institutional Review Board Statement

The study was conducted in accordance with the Declaration of Helsinki, and approved by the Institutional Review Board. The study was accepted by CEIm of the Hospital Odontologico Universidad de Barcelona, with number 2/2021. Supporting document is attached.

Data Availability Statement

If additional data is desired, they can be requested from the authors.

Conflicts of Interest

The authors declare no conflict of interest.

References

  1. Segura-Egea, J.J.; Martín-González, J.; Cabanillas-Balsera, D.; Fouad, A.F.; Velasco-Ortega, E.; López-López, J. Association between diabetes and the prevalence of radiolucent periapical lesions in root-filled teeth: Systematic review and meta-analysis. Clin. Oral Investig. 2016, 20, 1133–1141. [Google Scholar] [CrossRef] [PubMed]
  2. Kumar, S. Evidence-Based Update on Diagnosis and Management of Gingivitis and Periodontitis. Dent. Clin. N. Am. 2019, 63, 69–81. [Google Scholar] [CrossRef] [PubMed]
  3. Braz-Silva, P.H.; Bergamini, M.L.; Mardegan, A.P.; De Rosa, C.S.; Hasseus, B.; Jonasson, P. Inflammatory profile of chronic apical periodontitis: A literature review. Acta Odontol. Scand. 2019, 77, 173–180. [Google Scholar] [CrossRef] [PubMed]
  4. Ørstavik, D.; Kerekes, K.; Eriksen, H.M. The periapical index: A scoring system for radiographic assessment of apical periodontitis. Dent. Traumatol. 1986, 2, 20–34. [Google Scholar] [CrossRef] [PubMed]
  5. Castellanos-Cosano, L.; Machuca-Portillo, G.; Sánchez-Domínguez, B.; Torrés-Lagares, D.; López-López, J.; Segura-Egea, J.J. High prevalence of radiolucent periapical lesions amongst patients with inherited coagulation disorders. Haemophilia 2013, 19, 110–115. [Google Scholar] [CrossRef]
  6. Falk, H.; Hugoson, A.; Thorstensson, H. Number of teeth, prevalence of caries and periapical lesions in insulin-dependent diabetics. Scand. J. Dent. Res. 1989, 97, 198–206. [Google Scholar] [CrossRef]
  7. Bender, I.B.; Bender, A.B. Diabetes mellitus and the dental pulp. J. Endod. 2003, 29, 383–389. [Google Scholar] [CrossRef]
  8. Britto, L.R.; Katz, J.; Guelmann, M.; Heft, M. Periradicular radiographic assessment in diabetic and control individuals. Oral Surg. Oral Med. Oral Pathol. Oral Radiol. Endod. 2003, 96, 449–452. [Google Scholar] [CrossRef]
  9. Fouad, A.F.; Burleson, J. The effect of diabetes mellitus on endodontic treatment outcome: Data from an electronic patient record. J. Am. Dent. Assoc. 2003, 134, 43–51. [Google Scholar] [CrossRef]
  10. Pérez-Losada, F.L.; Estrugo-Devesa, A.; Castellanos-Cosano, L.; Segura-Egea, J.J.; López-López, J.; Velasco-Ortega, E. Apical Periodontitis and Diabetes Mellitus Type 2: A Systematic Review and Meta-Analysis. J. Clin. Med. 2020, 17, 540. [Google Scholar] [CrossRef]
  11. Aleksejuniene, J.; Eriksen, H.M.; Sidaravicius, B.; Haaapasalo, M. Apical periodontitis and related factors in an adult Lithuanian population. Oral Surg. Oral Med. Oral Pathol. Oral Radiol. Endod. 2000, 90, 95–101. [Google Scholar] [CrossRef] [PubMed]
  12. Kirkevang, L.L.; Kenzel, A. Risk indicators for apical periodontitis. Community Dent. Oral Epidemiol. 2003, 31, 59–67. [Google Scholar] [CrossRef] [PubMed]
  13. Kirkevang, L.L.; Væth, M.; Hörsted-Bindslev, P.; Bahrami, G.; Wenzel, A. Risk factors for developing apical periodontitis in a general population. Int. Endod. J. 2007, 40, 290–299. [Google Scholar] [CrossRef] [PubMed]
  14. Segura-Egea, J.J.; Jiménez-Pinzón, A.; Ríos-Santos, J.V.; Velasco-Ortega, E.; Cisneros-Cabello, R.; Poyato-Ferrera, M.M. High prevalence of apical periodontitis amongst smokers in a sample of Spanish adults. Int. Endod. J. 2008, 41, 310–316. [Google Scholar] [CrossRef]
  15. Segura-Egea, J.J.; Castellanos-Cosano, L.; Velasco-Ortega, E. Relationship between smoking and endodontic variables in hypertensive patients. J. Endod. 2011, 37, 764–767. [Google Scholar] [CrossRef]
  16. López-López, J.; Jané-Salas, E.; Estrugo-Devesa, A.; Velasco-Ortega, E.; Martín-González, J.; Segura-Egea, J.J. Periapical and endodontic status of type 2 diabetic patients in Catalonia, Spain: A cross-sectional study. J. Endod. 2011, 37, 598–601. [Google Scholar] [CrossRef]
  17. Segura-Egea, J.J.; Martín-González, J.; Castellanos-Cosano, L. Endodontic medicine: Connections between apical periodontitis and systemic diseases. Int. Endod. J. 2015, 48, 933–951. [Google Scholar] [CrossRef]
  18. Messing, M.; Souza, L.C.; Cavalla, F.; Kookal, K.K.; Rizzo, G.; Walii, M.; Silva, R. Investigating Potential Correlations between Endodontic Pathology and Cardiovascular Diseases Using Epidemiological and Genetic Approaches. J. Endod. 2019, 45, 104–110. [Google Scholar] [CrossRef]
  19. Katz, J.; Rotstein, I. Prevalence of Periapical Lesions in Patients with Osteoporosis. J. Endod. 2021, 47, 234–238. [Google Scholar] [CrossRef]
  20. López-López, J.; Castellanos-Cosano, L.; Estrugo-Devesa, A.; Gómez-Vaquero, C.; Velasco-Ortega, E.; Segura-Egea, J.J. Radiolucent periapical lesions and bone mineral density in post-menopausal women. Gerodontology 2015, 32, 195–201. [Google Scholar] [CrossRef]
  21. Oñate-Sánchez, R.E.; Pérez-Díaz, S.; Rodríguez-Lozano, F.J.; Guerrero-Gironés, J. Prevalence of Apical Periodontitis in patients with Multiple Myeloma. Med. Oral Patol. Oral Cir. Bucal. 2020, 25, 383–387. [Google Scholar] [CrossRef] [PubMed]
  22. Garrido, M.; Cárdenas, A.M.; Astorga, J.; Quinlan, F.; Valdés, M.; Chaparro, A.; Carvajal, P.; Pussinen, P.; Huamán-Chipana, P.; Jalil, J.E.; et al. Elevated Systemic Inflammatory Burden and Cardiovascular Risk in Young Adults with Endodontic Apical Lesions. J. Endod. 2019, 45, 111–115. [Google Scholar] [CrossRef] [PubMed]
  23. Virtanen, E.; Nurmi, T.; Söder, P.Ö.; Airila-Månsson, S.; Söder, B.; Meurman, J.H. Apical periodontitis associates with cardiovascular diseases: A cross-sectional study from Sweden. BMC Oral Health 2017, 17, 107. [Google Scholar] [CrossRef] [PubMed]
  24. González-Navarro, B.; Segura-Egea, J.J.; Estrugo-Devesa, A.; Pintó-Sala, X.; Jané-Salas, E.; Jiménez-Sánchez, M.C.; Cabanillas-Balsera, D.; López-López, J. Relationship between Apical Periodontitis and Metabolic Syndrome and Cardiovascular Events: A Cross-Sectional Study. J. Clin. Med. 2020, 9, 3205. [Google Scholar] [CrossRef] [PubMed]
  25. Castellanos-Cosano, L.; Machuca-Portillo, G.; Segura-Sampedro, J.J.; Torres-Lagares, D.; López-López, J.; Velasco-Ortega, E.; Segura-Egea, J.J. Prevalence of apical periodontitis and frequency of root canal treatments in liver transplant candidates. Med. Oral Patol. Oral Cir. Bucal. 2013, 18, 773–779. [Google Scholar] [CrossRef]
  26. Takahasi, Y.; Watanabe, N.; Kamio, N.; Kobayashi, R.; Iinuma, T.; Imai, K. Aspiration of periodontopathic bacteria due to poor oral hygiene potentially contributes to the aggravation of COVID-19. J. Oral Sci. 2020, 63, 1–3. [Google Scholar] [CrossRef]
  27. Paolone, G.; Mazzitelli, C.; Formiga, S.; Kaitsas, F.; Breschi, L.; Mazzoni, A.; Tete, G.; Polizzi, E.; Gherlone, E.; Cantatore, G. 1 year impact of COVID-19 pandemic on Italian dental professionals: A cross-sectional survey. Minerva Dent. Oral Sci. 2021. [Google Scholar] [CrossRef]
  28. Gherlone, E.; Polizzi, E.; Tetè, G.; Capparè, P. Dentistry and COVID-19 pandemic: Operative indications post-lockdown. New Microbiol. 2021, 44, 1–11. [Google Scholar]
  29. Han, J.; Cheng, C.; Zhu, Z.; Lin, M.; Zhang, D.X.; Wang, Z.M. Vitamin D reduces the serum levels of inflammatory cytokines in a rat model of periodontitis and chronic obstructive pulmonary disease. J. Oral Sci. 2019, 61, 53–60. [Google Scholar] [CrossRef]
  30. Usher, A.K.H.; Stockley, R.A. The link between chronic periodontitis and COPD: A common role for the neutrophil? BMC Med. 2013, 11, 241. [Google Scholar] [CrossRef]
  31. Lopez-de-Andrés, A.; Vazquez-Vazquez, L.; Martinez-Huedo, M.A.; Hernández-Barrera, V.; Jimenez-Trujillo, I.; Tapias-Ledesma, M.A. Is COPD associated with periodontal disease? A population-based study in Spain. Int. J. COPD 2018, 13, 3435–3445. [Google Scholar] [CrossRef] [PubMed]
  32. Von Elm, E.; Altman, D.G.; Egger, M.; Pocock, S.J.; Gøtzsche, P.C.; Vandenbroucke, J.P. The Strengthening the Reporting of Observational Studies in Epidemiology (STROBE). Statement: Guidelines for reporting observational studies. Ann. Intern. Med. 2007, 147, 573–577. [Google Scholar] [CrossRef] [PubMed]
  33. Global Initiative for Chronic Obstructive Lung Disease. Guía de Bolsillo para el Diagnóstico, Manejo y Prevención de la EPOC. Una Guía para Profesionales de la Asistencia Sanitaria. 2017. Available online: https://goldcopd.org/wp-content/uploads/2016/04/wms-spanish-Pocket-Guide-GOLD-2017.pdf (accessed on 1 April 2022).
  34. López-López, J.; Jané-Salas, E.; Martín-González, J.; Castellanos-Cosano, L.; Llamas-Carreras, J.M.; Velasco-Ortega, E.; Segura-Egea, J.J. Tobacco smoking and radiographic periapical status: A retrospective case-control study. J. Endod. 2012, 38, 584–588. [Google Scholar] [CrossRef]
  35. López de Ullibarri-Galparsoro, I.; Pita-Fernández, S. Medidas de Concordancia; el Índice de Kappa. Available online: https://fisterra.com/mbe/investiga/kappa/kappa2.pdf (accessed on 1 April 2022).
  36. López-López, J.; Estrugo-Devesa, A.; Jané-Salas, E.; Ayuso-Montero, R.; Gómez-Vaquero, C. Early diagnosis of osteoporosis by means of orthopantomograms and oral x-rays: A systematic review. Med. Oral Patol. Oral Cir. Bucal. 2011, 16, 905–913. [Google Scholar] [CrossRef] [PubMed]
  37. Klemetti, E.; Kolmakov, S.; Heiskanen, P.; Vainio, P.; Lassila, V. Panoramic mandibular index and bone mineral densities in postmenopausal women. Oral Surg. Oral Med. Oral Pathol. 1993, 75, 774–779. [Google Scholar] [CrossRef]
  38. Horner, K.; Devlin, H. The relationship between mandibular bone mineral density and panoramic radiographic measurements. J. Dent. 1998, 26, 337–343. [Google Scholar] [CrossRef]
  39. Lang, W.P.; Borgnakke, W.S.; Taylor, G.W.; Woolfolk, M.W.; Ronis, D.L.; Nyquist, L.V. Evaluation and use of an index of oral health status. J. Public Health Dent. 2005, 57, 233–242. [Google Scholar] [CrossRef]
  40. Jiménez-Pinzón, A.; Segura-Egea, J.J.; Poyato-Ferrera, M.; Velasco-Ortega, E.; Rios-Santos, J.V. Prevalence of apical periodontitis and frequency of root-filled teeth in an adult Spanish Population. Int. Endod. J. 2004, 37, 167–173. [Google Scholar] [CrossRef]
  41. Kirkevang, L.L.; Ørstavik, D.; Hörsted-Bindslev, P.; Wenzel, A. Periapical status and quality of root fillings and coronal restorations in a Danish population. Int. Endod. J. 2000, 33, 509–515. [Google Scholar] [CrossRef]
  42. Kirkevang, L.L.; Ørstavik, D.; Hörsted-Bindslev, P.; Wenzel, A. Freuency and distribution of endodontically treated teeth and apical periodontitis in an urban Danish population. Int. Endod. J. 2001, 34, 198–205. [Google Scholar] [CrossRef]
  43. De Clee, M.J.; Schuurs, A.H.; Wesselink, P.R.; Wu, M.K. Periapical status and prevalence of endodontic treatment in an adult Dutch population. Int. Endod. J. 1993, 26, 112–119. [Google Scholar] [CrossRef] [PubMed]
  44. Marques, M.D.; Moreira, B.; Eriksen, H.M. Prevalence of apical periodontitis and results of endodontic treatment in an adult, Portuguese population. Int. Endod. J. 1998, 31, 161–165. [Google Scholar] [CrossRef] [PubMed]
  45. De Moor, R.J.; Hommez, G.M.; De Boever, J.G.; Delme, K.I.; Martens, G.E. Periapical health related to the quality of root canal treatment in a Belgian population. Int. Endod. J. 2000, 33, 113–120. [Google Scholar] [CrossRef]
  46. Lupi-Pegurier, L.; Bertrand, M.F.; Muller-Bolla, M.; Rocca, J.P.; Bolla, M. Periapical status, prevalence and quality of endodontic treatment in an adult French population. Int. Endod. J. 2002, 35, 690–697. [Google Scholar] [CrossRef]
  47. Ridao-Sacie, C.; Segura-Egea, J.J.; Fernández-Palacín, A.; Bullón-Fernández, P.; Ríos-Santos, J.V. Radiological assessment of periapical status using the periapical index (PAI): Comparison of periapical radiography and digital panoramic radiography. Int. Endod. J. 2007, 40, 433–440. [Google Scholar] [CrossRef]
  48. Eriksen, H.M.; Berset, G.P.; Hansen, B.F.; Biertness, E. Changes in endodontic status 1973–1993 among 35-years-old in Oslo, Norway. Int. Endod. J. 1995, 28, 129–132. [Google Scholar] [CrossRef]
  49. Allard, U.; Palmqvist, S. A radiographic survey of periapical conditions in elderly people in a Swedish country population. Endod. Dent. Traumatol. 1986, 2, 103–108. [Google Scholar] [CrossRef]
  50. Nishikawa, K.; Wakoh, M.; Kuroyanagi, K. Suitability of the general-purpose graphic printer as an image output device for digital x-ray images. Oral Surg. Oral Med. Oral Pathol. Oral Radiol. Endod. 2000, 89, 382–387. [Google Scholar] [CrossRef]
  51. Ríos-Santos, J.V.; Ridao-Sacie, C.; Bullón, P.; Fernández-Palacín, A.; Segura-Egea, J.J. Assessment of periapical status: A comparative study using film-based periapical radiographs and digital panoramic images. Med. Oral Patol. Oral Cir. Bucal. 2010, 15, 952–956. [Google Scholar] [CrossRef]
  52. Eriksen, H.M.; Bjertness, E. Prevalence of apical periodontitis and results of endodontic treatment in middle-aged adults in Norway. Endod. Dent. Traumatol. 1991, 7, 1–4. [Google Scholar] [CrossRef]
  53. Valachovic, R.W.; Douglass, C.W.; Reiskin, A.B.; Chauncey, H.H.; McNeil, B.J. The use of panoramic radiography in the evaluation of asymptomatic adult dental patients. Oral Surg. Oral Med. Oral Pathol. 1986, 61, 289–296. [Google Scholar] [CrossRef]
  54. Dydyk, N.; Hrynyshyn, O. Prevalence of root filled teeth in an adult population (Lviv, Ukraine) found on digital panoramic radiographs. Wiadomosci Lek. 2020, 73, 691–695. [Google Scholar] [CrossRef]
  55. Kirkevang, L.L.; Ørstavik, D.; Bahrami, G.; Wenzel, A.; Vaeth, M. Prediction of periapical status and tooth extraction. Int Endod J. 2017, 50, 5–14. [Google Scholar] [CrossRef] [PubMed]
  56. Kirkevang, L.L.; Ørstavik, D.; Wenzel, A.; Væth, M. Prognostic value of the full-scale Periapical Index. Int. Endod. J. 2015, 48, 1051–1058. [Google Scholar] [CrossRef] [PubMed]
  57. Ørstavik, D. Time-course and risk analyses of the development and healing of chronic apical periodontitis in man. Int. Endod. J. 1996, 29, 150–155. [Google Scholar] [CrossRef] [PubMed]
  58. Maćkowiak, P.; Kulczyk, T.; Kaczmarek, E. Mandibular cortical width measurement based on dental panoramic radiographs with computer-aided system. Afr. J. Inf. Commun. Technol. 2013, 7, 9–17. [Google Scholar] [CrossRef][Green Version]
  59. Abhyankar, S.S.; Shriram, R. Orthopantogram based osteoporosis prediction. Int. J. Eng. Res. Appl. 2012, 2, 753–758. [Google Scholar]
  60. Karayianni, K.; Horner, K.; Mitsea, A.; Berkas, L.; Mastoris, M.; Jacobs, R. Accuracy in osteoporosis diagnosis of a combination of mandibular cortical width measurement on dental panoramic radiographs and a clinical index (OSIRIS): The OSTEODENT project. Bone 2007, 40, 223–229. [Google Scholar] [CrossRef]
  61. Helmi, M.F.; Huang, H.; Goodson, J.M.; Hasturk, H.; Tavares, M.; Natto, Z.S. Prevalence of periodontitis and alveolar bone loss in a patient population at Harvard School of Dental Medicine. BMC Oral Health 2019, 19, 254. [Google Scholar] [CrossRef]
  62. Jepsen, S.; Blanco, J.; Buchalla, W.; Carvalho, J.C.; Dietrich, T.; Dörfer, C. Prevention and control of dental caries and periodontal diseases at individual and population level: Consensus report of group 3 of joint EFP/ORCA workshop on the boundaries between caries and periodontal diseases. J. Clin. Periodontol. 2017, 44 (Suppl. 18), 85–93. [Google Scholar] [CrossRef]
  63. Heng, C. Tooth Decay Is the Most Prevalent Disease. Fed. Pract. 2016, 33, 31–33. [Google Scholar] [PubMed]
  64. Mattila, P.T.; Niskanen, M.C.; Vehkalahti, M.M.; Nordblad, A.; Knuuttila, M.L.E. Prevalence and simultaneous occurrence of periodontitis and dental caries. J. Clin. Periodontol. 2010, 37, 962–967. [Google Scholar] [CrossRef]
  65. Henriques, J.C.; Castilho, J.C.; Jacobs, R.; Amorim, J.B.; Rosa, R.R.; Matai, C.V. Correlation between hand/wrist and panoramic radiographs in severe secondary hyperparathyroidism. Clin. Oral Investig. 2013, 17, 1611–1617. [Google Scholar] [CrossRef] [PubMed]
  66. Henriques, J.C.; de Melo Castilho, J.C.; Jacobs, R.; Amorim, J.B.; Rosa, R.R.; Matai, C.V. Severe secondary hyperparathyroidism and panoramic radiography parameters. Clin. Oral Investig. 2014, 18, 941–948. [Google Scholar] [CrossRef] [PubMed]
  67. Secgin, C.K.; Kulah, C.K.; Gulsahi, A. Analysis of mandibular changes using panoramic-based indices in patients with chronic renal failure. Int. J. Artif. Organs 2017. [Google Scholar] [CrossRef] [PubMed]
Figure 1. Calculation of the study’s sample. According to the calculation proposed by López de Ullibarri et al. [35], n = subjects needed in each one of the samples; Zp = Z value assigned as the wished risk; p1 = proportion of the value of the reference group, placebo, control or usual treatment; p2 = value of the proportion in the group of the new treatment, intervention or technique; p = average of both proportions p1 and p2.
Figure 1. Calculation of the study’s sample. According to the calculation proposed by López de Ullibarri et al. [35], n = subjects needed in each one of the samples; Zp = Z value assigned as the wished risk; p1 = proportion of the value of the reference group, placebo, control or usual treatment; p2 = value of the proportion in the group of the new treatment, intervention or technique; p = average of both proportions p1 and p2.
Applsci 12 07141 g001
Table 1. Medical conditions of the control group.
Table 1. Medical conditions of the control group.
CodeMedical Conditions
2Early Alzheimer’s disease
3Coronary stent carrier
4NR
6Gout/hypotension/arthritis/osteoarthritis/BPH/intermittent claudication
7NR
8BPH/slow digestion/bile duct stones/occasional headaches/deafness/difficulty urinating
10Mild cholesterol/duodenal ulcer
11NR
12Hereditary hemochromatosis/diverticulitis/lithiasis/BPH
13Hepatitis B (already healed)/malignant prostate cancer
14NR
16NR
17HIV + (since 1986 with retroviral treatment)
18Tubal ligation
19Osteoarthritis
20NR
21NR
24NR
25Levothyroxine sodium/hiatal hernia/NHL/bilateral inguinal hernia
26Anxiety/depression
27Essential tremors
28NR
31NR
32Digestive problems
33NR
35NR
36CCL
37HIV + (>20 years with undetectable viral load)/MM
38Hepatitis B
42NR
NR: non-referring/BPH: Benign Prostatic Hyperplasia/HIV: Human Immunodeficiency Viruses/NHL: Non-Hodgkin Lymphoma/MM: Multiple Myeloma/CCL: Chronic Lymphocytic Leukemia.
Table 2. Distribution of the study factors in both control and case groups.
Table 2. Distribution of the study factors in both control and case groups.
Control, n = 30 (50%)Cases, n = 30 (50%)Total, n = 60 (100%)p Value
Age, y
Mean ± SD
70.57 ± 8.79171.83 ± 8.29271.20 ± 8.947t student
>0.05
Gender
Female4 (13.3%)4 (13.3%)8 (13.3%)>0.05
Male26 (86.7%)26 (86.7%)52 (86.7%)χ2
No. of teeth t student
>0.05
Mean ± SD18.60 ± 8.24518.63 ± 7.54518.62 ± 7.835
Median20.51819
PAI ≥ 3/patient
Yes22 (73.3%)21 (70%)43 (71.7%)>0.05
No8 (26.7%)9 (30%)17 (28.3%)χ2
PAI ≥ 3/teeth t student
>0.05
Mean ± SD1.60 ± 1.4291.93 ± 1.8371.77 ± 1.633
Median222
No. of RFT t student
>0.05
Mean ± SD1.30 ± 1.3931.43 ± 2.0791.365 ± 1.736
Median10.51
RFT with PAI ≥ 3
Yes8 (26.7%)7 (23.3%)15 (25%)>0.05
No22 (73.3%)23 (76.7%)45 (75%)χ2
Stage of periodontitis
I10 (33.3%)12 (40%)22 (36.7%)
II16 (53.3%)14 (46.7%)30 (50%)
III000>0.05
IV4 (13.3%)4 (13.3%)8 (13.3%)χ2
No. of caries t student
<0.05
Mean ± SD2.33 ± 2.024.47 ± 3.533.4 ± 2.775
Median333
CW t student
<0.001
Mean ± SD3.183 ± 0.6753.867 ± 0.733.525 ± 0.702
Median343.5
Klemetti Index
C120 (66.7%)23 (76.7%)43 (71.7%)
C210 (33.3%)7 (23.3%)17 (28.3%)>0.05
C3000χ2
Mattila Index
Yes21 (70%)28 (93.3%)49 (81.7%)<0.05
No9 (30%)2 (6.7%)11 (18.3%)χ2
Tobacco
Yes22 (73.3%)26 (86.7%)48 (80%)>0.05
No8 (26.7%)4 (13.3%)12 (20%)χ2
PAI ≥ 3: Periapical Index > 3 (described as pathological)/RFT: Root-filled teeth/CW: Cortical Width (mm)/C1: Klemetti Index (endostic margin uniform)/C2: Slightly or moderately eroded/C3: severely eroded.
Publisher’s Note: MDPI stays neutral with regard to jurisdictional claims in published maps and institutional affiliations.

Share and Cite

MDPI and ACS Style

Carrera-Cortés, A.; Pascual-González, Y.; Santos, S.; Martín-González, J.; Segura-Egea, J.J.; López-López, J. Chronic Obstructive Pulmonary Disease and Apical Periodontitis and Other Oral Health Variables: A Case-Control Study. Appl. Sci. 2022, 12, 7141. https://doi.org/10.3390/app12147141

AMA Style

Carrera-Cortés A, Pascual-González Y, Santos S, Martín-González J, Segura-Egea JJ, López-López J. Chronic Obstructive Pulmonary Disease and Apical Periodontitis and Other Oral Health Variables: A Case-Control Study. Applied Sciences. 2022; 12(14):7141. https://doi.org/10.3390/app12147141

Chicago/Turabian Style

Carrera-Cortés, Anna, Yuliana Pascual-González, Salud Santos, Jenifer Martín-González, Juan José Segura-Egea, and José López-López. 2022. "Chronic Obstructive Pulmonary Disease and Apical Periodontitis and Other Oral Health Variables: A Case-Control Study" Applied Sciences 12, no. 14: 7141. https://doi.org/10.3390/app12147141

APA Style

Carrera-Cortés, A., Pascual-González, Y., Santos, S., Martín-González, J., Segura-Egea, J. J., & López-López, J. (2022). Chronic Obstructive Pulmonary Disease and Apical Periodontitis and Other Oral Health Variables: A Case-Control Study. Applied Sciences, 12(14), 7141. https://doi.org/10.3390/app12147141

Note that from the first issue of 2016, this journal uses article numbers instead of page numbers. See further details here.

Article Metrics

Back to TopTop