Analyzing the Correlations and the Statistical Distribution of Moderate to Large Earthquakes Interevent Times in Greece
Abstract
:1. Introduction
2. Tectonic Setting
3. Data and Methodology
4. Application
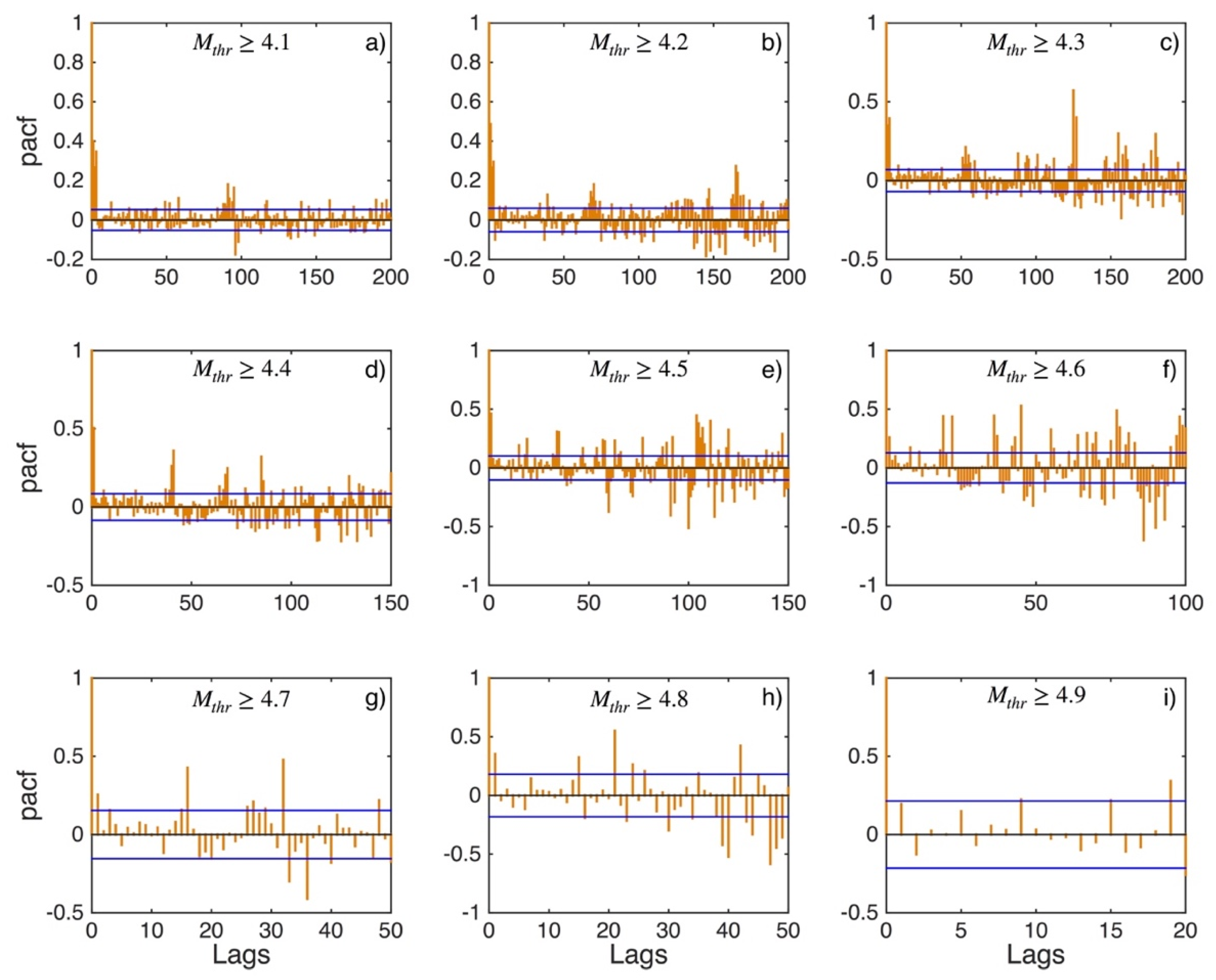
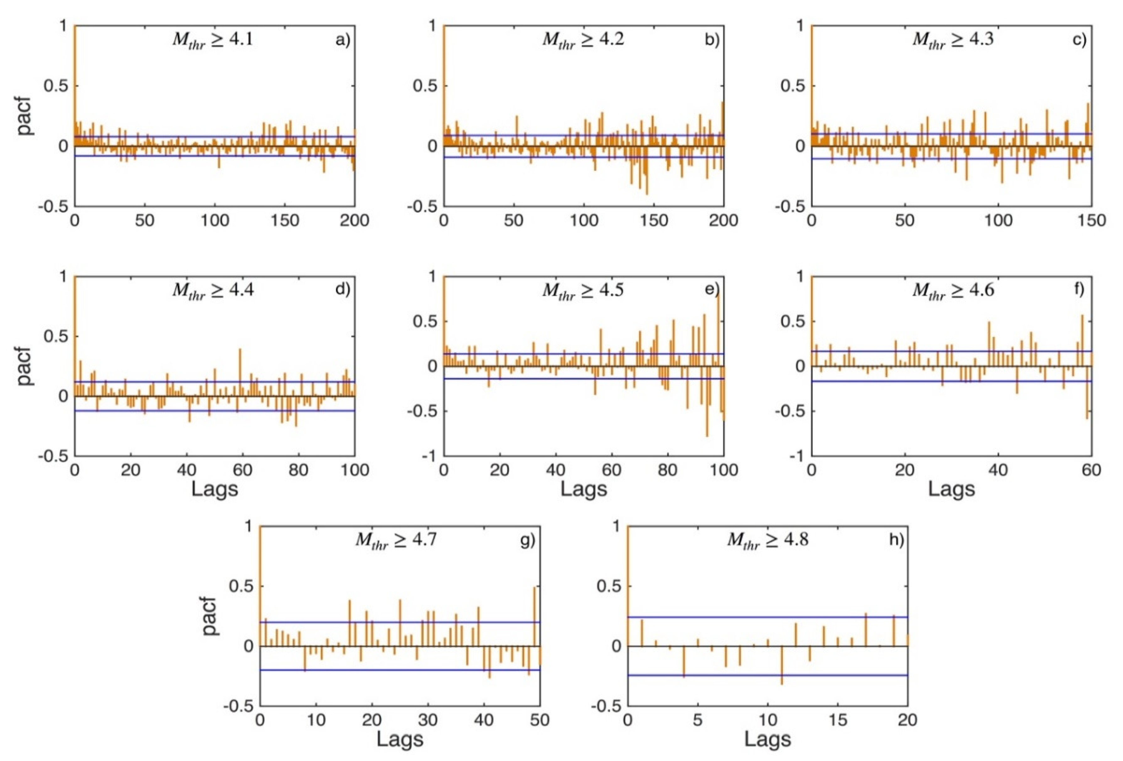
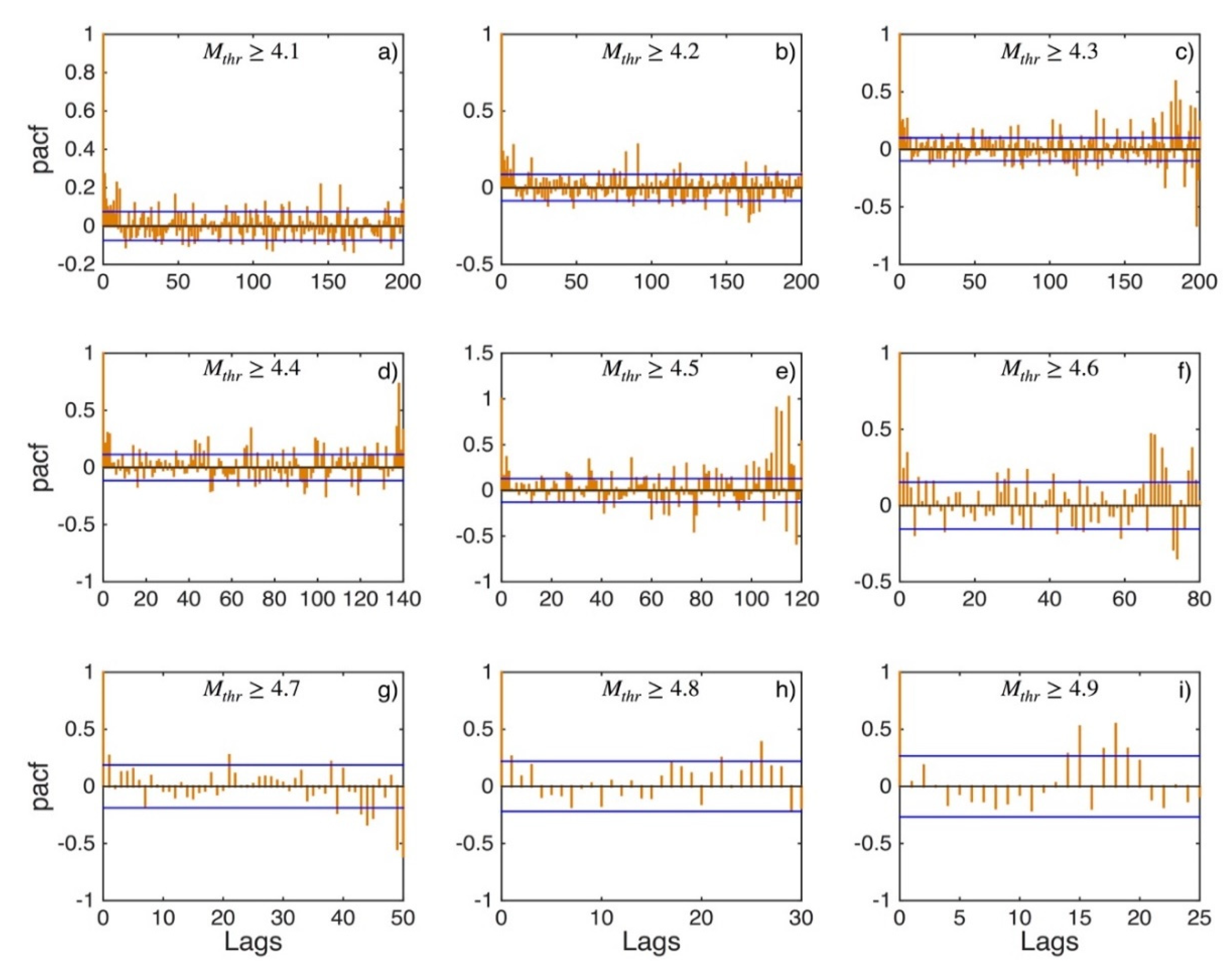
4.1. Identifying the Earthquake Interevent Time Correlations
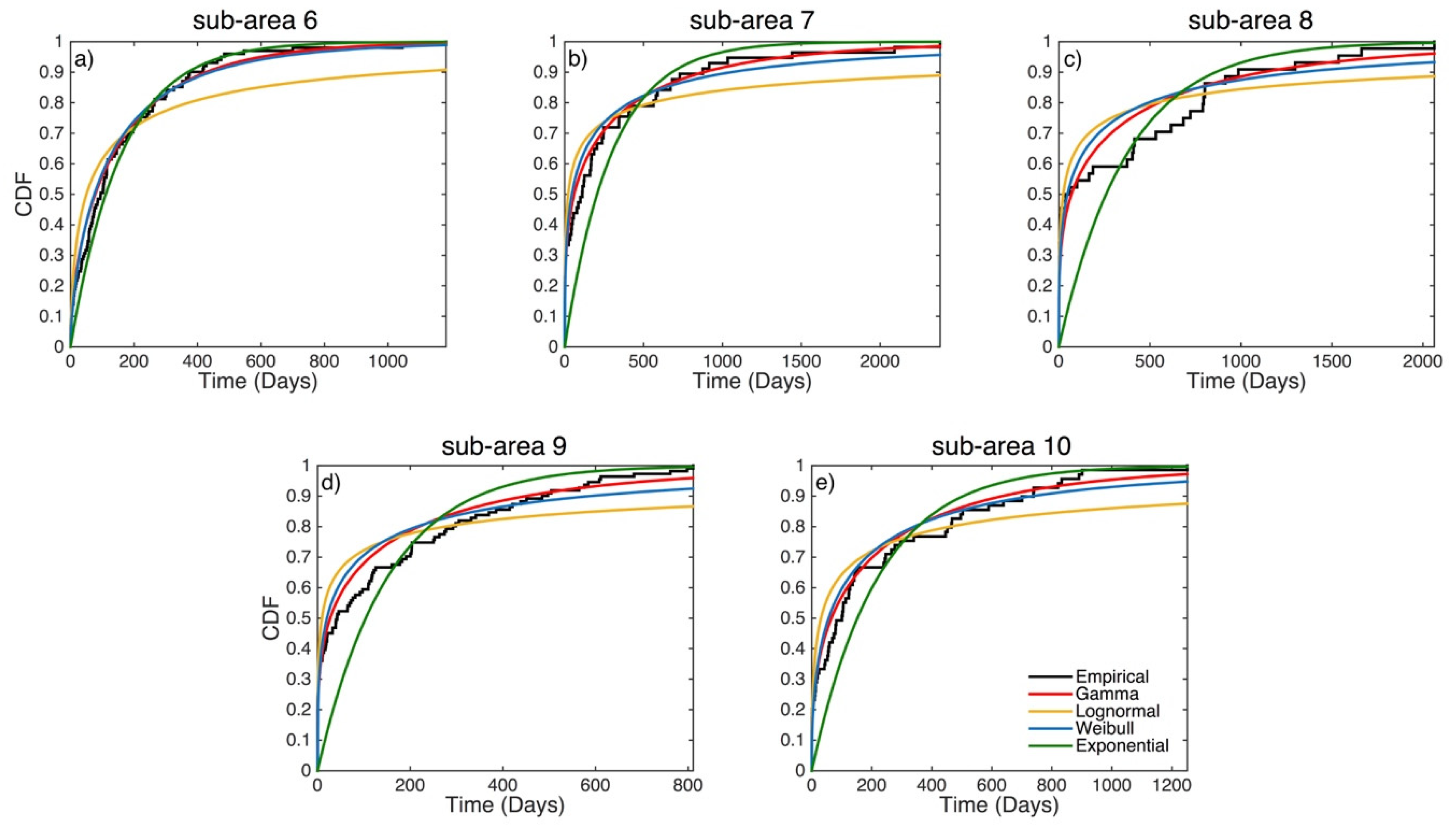
4.2. Distribution of the Statistically Independent Earthquake Interevent Times
5. Conclusions
Author Contributions
Funding
Institutional Review Board Statement
Informed Consent Statement
Data Availability Statement
Acknowledgments
Conflicts of Interest
Appendix A



























References
- Kagan, Y.Y.; Jackson, D.D. Long-term probabilistic forecasting of earthquakes. J. Geophys. Res. 1994, 99, 13685–13700. [Google Scholar] [CrossRef]
- Dieterich, J. A constitutive law for rate of earthquake production and its application to earthquake clustering. J. Geophys. Res. 1994, 99, 2601–2618. [Google Scholar] [CrossRef]
- de Arcangelis, L.; Godano, C.; Grasso, J.R.; Lippiello, E. Statistical physics approach to earthquake occurrence and forecasting. Phys. Rep. 2016, 628, 1–91. [Google Scholar] [CrossRef]
- Gutenberg, B.; Richter, C. Frequency of earthquakes in California. Bull. Seismol. Soc. Am. 1944, 34, 185–188. [Google Scholar] [CrossRef]
- Omori, F. On the aftershocks of earthquakes. J. Coll. Sci. Imp. Univ. Tokyo 1894, 7, 111–200. [Google Scholar]
- Bak, P.; Christensen, K.; Danon, L.; Scanlon, T. Unified scaling law for earthquakes. Phys. Rev. Lett. 2002, 88, 178501. [Google Scholar] [CrossRef] [Green Version]
- Corral, A. Local distributions and rate fluctuations in a unified scaling law for earthquakes. Phys. Rev. E 2003, 68, 035102-1–035102-4. [Google Scholar] [CrossRef] [Green Version]
- Corral, A. Long-term clustering, scaling, and universality in the temporal occurrence of earthquakes. Phys. Rev. Lett. 2004, 92, 108501. [Google Scholar] [CrossRef] [Green Version]
- Molchan, G. Interevent time distribution in seismicity: A theoretical approach. Pure Appl. Geophys. 2005, 162, 1135–1150. [Google Scholar] [CrossRef] [Green Version]
- Saichev, A.; Sornette, D. Universal distribution of interearthquake times explained. Phys. Rev. Lett. 2006, 97, 078501. [Google Scholar] [CrossRef] [Green Version]
- Touati, S.; Naylor, M.; Main, I.G. Origin and nonuniversality of the earthquake interevent time distribution. Phys. Rev. Lett. 2009, 102, 168501. [Google Scholar] [CrossRef] [PubMed] [Green Version]
- Godano, C. A new expression for the earthquake interevent time distribution. Geophys. J. Int. 2015, 202, 219–223. [Google Scholar] [CrossRef]
- Ogata, Y. Statistical models for earthquake occurrence and residual analysis for point process. J. Am. Stat. Assoc. 1988, 83, 9–27. [Google Scholar] [CrossRef]
- Livina, V.N.; Havlin, S.; Bunde, A. Memory in the occurrence of earthquakes. Phys. Res. Lett. 2005, 95, 208501. [Google Scholar] [CrossRef] [Green Version]
- Lennartz, S.; Livina, V.N.; Bunde, A.; Havlin, S. Long-term memory in earthquakes and the distribution of interoccurrence time. EPL 2008, 81, 69001. [Google Scholar] [CrossRef] [Green Version]
- Fan, J.; Zhou, D.; Shekhtman, L.M.; Shapira, A.; Hofstetter, R.; Marzocchi, W.; Ashkenazy, Y.; Havlin, S. Possible origin of memory in earthquakes: Real catalogs and an epidemic-type aftershock sequence model. Phys. Rev. E 2019, 99, 042210. [Google Scholar] [CrossRef] [Green Version]
- Zhang, Y.; Fan, J.; Marzocchi, W.; Shapira, A.; Hofstetter, R.; Havlin, S.; Ashkenazy, Y. Scaling laws in earthquake memory for interevent times and distances. Phys. Rev. Res. 2020, 2, 013264. [Google Scholar] [CrossRef] [Green Version]
- Gkarlaouni, C.; Lasocki, S.; Papadimitriou, E.; Tsaklidis, G. Hurst analysis of seismicity in Corinth rift and Mygdonia graben (Greece). Chaos Solit. Fractals 2017, 96, 30–42. [Google Scholar] [CrossRef]
- Parsons, T.; Geist, E.L. Were global M≥8.3 earthquake time intervals random between 1900 and 2011? Bull. Seismol. Soc. Am. 2012, 102, 1583–1592. [Google Scholar] [CrossRef]
- Zhuang, J.; Harte, D.; Werner, M.J.; Hainzl, S.; Zhou, S. Basic models of seismicity: Temporal models. Community Online Resour. Stat. Seism. Anal. 2012, 1, 42. [Google Scholar] [CrossRef]
- Rahimi, M.; Zamali, A.; Ghotbi, A.R. The study of seismicity of Alborz (Northern Iran) and Zagros (Southern Iran) regions by using time series analysis. Acta Geophys. 2022, 70, 27–37. [Google Scholar] [CrossRef]
- Papazachos, B.C.; Comninakis, P.E. Geophysical and tectonic features of the Aegean arc. J. Geophys. Res. 1971, 76, 8517–8533. [Google Scholar] [CrossRef]
- LePichon, X.; Angelier, J. The Hellenic Arc and Trench system: A key to the neotectonic evolution of the eastern Mediterranean area. Tectonophysics 1979, 60, 1–42. [Google Scholar]
- Papazachos, B.C.; Papadimitriou, E.E.; Kiratzi, A.A.; Papazachos, C.B.; Louvari, E.K. Fault plane solutions in the Aegean Sea and the surrounding area and their tectonic implications. Boll. Geofis. Teor. Appl. 1998, 39, 199–218. [Google Scholar]
- Scordilis, M.; Karakaisis, G.; Karakostas, V.; Panagiotopoulos, D.G.; Comninakis, P.E.; Papazachos, B.C. Evidence for transform faulting in the Ionian sea: The Cephalonia island earthquake sequence of 1983. Pure Appl. Geophys. 1985, 123, 388–397. [Google Scholar] [CrossRef]
- Goldsworthy, M.; Jackson, J.; Haines, J. The continuity of active faults systems in Greece. Geophys. J. Int. 2002, 148, 596–618. [Google Scholar] [CrossRef] [Green Version]
- Armijo, R.; Meyer, B.; Hubert, A.; Barka, A. Westward propaga- tion of the North Anatolian fault into the northern Aegean: Timing and kinematics. Geology 1999, 27, 267–270. [Google Scholar] [CrossRef]
- Taymaz, T.; Jackson, J.; McKenzie, D. Active tectonics of the North and central Aegean Sea. Geophys. J. Int. 1991, 106, 433–490. [Google Scholar] [CrossRef]
- Papazachos, B.C.; Kiratzi, A.A.; Karakostas, B.G. Towards a homogeneous moment magnitude determination for earthquakes in Greece and the surrounding area. Bull. Seismol. Soc. Am. 1997, 87, 474–483. [Google Scholar] [CrossRef]
- Naylor, M.; Main, I.G.; Touati, S. Quantifying uncertainty in mean earthquake interevent times for a finite sample. J. Geophys. Res. 2009, 114, B01316. [Google Scholar] [CrossRef] [Green Version]
- Weglarczyk, S.; Lasocki, S. Studies of short and long memory in mining-induced seismic processes. Acta Geophys. 2009, 57, 696–715. [Google Scholar] [CrossRef]
- Ljung, G.; Box, G.E.P. On a Measure of Lack of Fit in Time Series Models. Biometrika 1978, 66, 67–72. [Google Scholar] [CrossRef]
- Peng, C.K.; Buldyrev, S.V.; Havlin, S.; Simons, M.; Stanley, H.E.; Goldberger, A.L. Mosaic organization of DNA nucleotides. Phys. Rev. E Stat. Phys. Plasmas Fluids Relat. Interdiscip. Topics 1994, 49, 1685. [Google Scholar] [CrossRef] [Green Version]
- Abaimov, S.G.; Turcotte, D.L.; Shcherbakov, R.; Rundle, J.B.; Yakovlev, G.; Goltz, C.; Newman, W.I. Earthquakes: Recurrence and interoccurrence Times. Pure Appl. Geophys. 2008, 165, 777–795. [Google Scholar] [CrossRef]
- Nishenko, S.P.; Buland, R. A generic recurrence interval distribution for earthquake forecasting. Bull. Seismol. Soc. Am. 1987, 77, 1382–1399. [Google Scholar]
- Werner, M.J.; Ide, K.; Sornette, D. Earthquake forecasting based on data assimilation: Sequential Monte Carlo methods for renewal point processes. Nonlinear Process. Geophys. 2011, 18, 49–70. [Google Scholar] [CrossRef]
- Altmann, E.G.; Kantz, H. Recurrence time analysis, long-term correlations, and extreme events. Phys. Rev. E 2005, 71, 1–9. [Google Scholar] [CrossRef] [Green Version]
- Udias, A.; Rice, J. Statistical analysis of microearthquake activity near San Andreas Geophysical Observatory, Hollister, California. Bull. Seismol. Soc. Am. 1975, 65, 809–827. [Google Scholar] [CrossRef]
- Mesimeri, M.; Kourouklas, C.; Papadimitriou, E.; Karakostas, V.; Kementzetzidou, D. Analysis of microseismicity associated with the 2017 seismic swarm near the Aegean coast of NW Turkey. Acta Geophys. 2018, 66, 479–495. [Google Scholar] [CrossRef]
- Coban, K.H.; Sayil, N. Conditional Probabilities of Hellenic Arc Earthquakes Based on Different Distribution Models. Pure Appl. Geophys. 2020, 177, 5133–5145. [Google Scholar] [CrossRef]
- Johnson, N.L.; Kotz, S.; Balakrishnan, N. Continuous Univariate Distributions, 2nd ed.; Wiley: New York, NY, USA, 1994; Volume 1, pp. 1–784. [Google Scholar]
- Anderson, T.W.; Darling, D.A. Asymptotic theory of certain ‘goodness-of-fit’ criteria based on stochastic processes. Ann. Math. Stat. 1952, 23, 193–212. [Google Scholar] [CrossRef]
- Akaike, H. A new look at the statistical model identification. IEEE Trans. Autom. Contr. 1974, 19, 716–723. [Google Scholar] [CrossRef]
- Schwarz, G. Estimating the dimension of a model. Ann. Stat. 1978, 6, 461–464. [Google Scholar] [CrossRef]
- Convertito, V.; Faenza, L. Earthquake Recurrence. In Encyclopedia of Earthquake Engineering; Beer, M., Kougioumtzoglou, I.A., Patelli, E., Siu-Kui Au, I., Eds.; Springer: Berlin, Germany, 2014; pp. 1–22. [Google Scholar]
- Mobarki, M.; Talbi, A. Spatio-temporal analysis of main seismic hazard parameters in the Ibero-Maghreb region using an Mw-homogenized catalog. Acta Geophys. 2022, 70, 979–1001. [Google Scholar] [CrossRef]
- Wessel, P.; Smith, W.H.F.; Scharroo, R.; Luis, J.; Wobbe, F. Generic mapping tools: Improved version released. EOS Trans. Am. Geophys. Union 2013, 94, 409–410. [Google Scholar] [CrossRef] [Green Version]








| Distribution | Probability Density Function | Parameters |
|---|---|---|
| Gamma | κ (shape) θ (scale) | |
| Lognormal | μ (natural logarithm of mean value) σ (natural logarithm of standard deviation) | |
| Weibull | α (scale) b (shape) | |
| Exponential | μ (mean value) |
| Sub-Area | Mthr Identified Using the ACF and PACF Values | Mthr Identified Using the Ljung–Box Q-Test | Sample Size (Interevent Times) |
|---|---|---|---|
| 1-Western Greece and Albania | 5.1 | 5.1 | 50 |
| 2-Central Ionian Islands | 4.9 | 4.9 | 88 |
| 3-Western Hellenic Arc | 4.8 | 4.8 | 260 |
| 4-Eastern Hellenic Arc | 5.0 | 5.0 | 130 |
| 5-Southeast Aegean Sea | 5.0 | 5.0 | 80 |
| 6-Southwest Aegean Sea and Peloponnese | 4.7 | 4.7 | 100 |
| 7-Corinth Gulf | 4.9 | 4.9 | 57 |
| 8-Central Greece | 5.0 | 5.0 | 45 |
| 9-North Aegean Sea | 5.0 | 5.0 | 111 |
| 10-Northern Greece and Balkans | 4.8 | 4.8 | 69 |
| Sub-Area | Distribution | Parameters | -LogL | AIC | BIC | A–D Test p-Value |
|---|---|---|---|---|---|---|
| 1 | Gamma | k = 0.38 [0.29, 0.53] θ = 864.34 [497.05, 1503.01] | 310.25 | 624.50 | 628.28 | 0.690 |
| Lognormal | μ = 4.08 [3.28, 4.87] σ = 2.76 [2.30, 3.45] | 318.72 | 641.43 | 645.22 | 0.049 | |
| Weibull | α = 192.99 [111.07, 338.35] b = 0.52 [0.42, 0.65] | 310.99 | 625.99 | 629.77 | 0.445 | |
| Exponential | μ = 331.79 [255.46, 448.48] | 333.42 | 668.84 | 670.73 | 2.531 × 10−5 | |
| 2 | Gamma | k = 0.22 [0.17, 0.28] θ = 1021.21 [570.65, 1826.70] | 313.14 | 630.2954 | 634.6747 | 0.092 |
| Lognormal | μ = 2.02 [1.09, 3.14] σ = 3.78 [3.23, 4.57] | 314.82 | 632.5410 | 636.9203 | 0.061 | |
| Weibull | α = 47.69 [21.23, 107.16] b = 0.31 [0.42, 0.65] | 314.27 | 633.6488 | 638.0281 | 0.065 | |
| Exponential | μ = 331.79 [255.46, 448.48] | 422.11 | 846.2366 | 848.4262 | 9.090 × 10−6 | |
| 3 | Gamma | k = 0.39 [0.34,0.45] θ = 164.12 [129.27, 208.36] | 1226.15 | 2456.31 | 2463.44 | 0.809 |
| Lognormal | μ = 2.48 [2.15,2.80] σ = 2.65 [2.44, 2.90] | 1266.50 | 2537.01 | 2544.14 | 1.762 × 10−4 | |
| Weibull | α = 38.37 [30.10, 49.91] b = 0.52 [0.47, 0.58] | 1231.50 | 2467.01 | 2474.13 | 0.109 | |
| Exponential | μ = 64.32 [57.16, 72.90] | 1342.59 | 2687.18 | 2690.74 | 2.308 × 10−5 | |
| 4 | Gamma | k = 0.48 [0.39, 0.59] θ = 266.75 [194.03, 366.71] | 729.66 | 1463.31 | 1469.05 | 0.822 |
| Lognormal | μ = 3.53 [3.11,3.95] σ = 2.43 [2.16, 2.76] | 758.40 | 1520.79 | 1526.52 | 0.004 | |
| Weibull | α = 94.50 [70.62, 126.46] b = 0.62 [0.54, 0.71] | 733.45 | 1470.90 | 1476.64 | 0.335 | |
| Exponential | μ = 128.60 [109.07, 153.93] | 761.38 | 1524.76 | 1527.62 | 4.617 × 10−6 | |
| 5 | Gamma | k = 0.29 [0.23, 0.37] θ = 687.91 [429.02, 1130.01] | 433.65 | 871.29 | 876.06 | 0.605 |
| Lognormal | μ = 2.96 [2.16,3.75] σ = 3.54 [3.07, 4.20] | 450.92 | 905.84 | 910.60 | 0.016 | |
| Weibull | α = 90.73 [51.92, 158.77] b = 0.41 [0.34, 0.49] | 438.83 | 881.65 | 886.42 | 0.138 | |
| Exponential | μ = 202.35 [164.42, 255.19] | 504.80 | 1011.60 | 1013.98 | 7.500 × 10−6 |
| Sub-Area | Distribution | Parameters | -LogL | AIC | BIC | A–D Test p-Value |
|---|---|---|---|---|---|---|
| 6 | Gamma | k = 0.54 [0.43, 0.68] θ = 297.33 [209.32, 422.38] | 596.96 | 1197.91 | 1203.14 | 0.489 |
| Lognormal | μ = 3.91 [3.43, 4.38] σ = 2.40 [2.11, 2.78] | 626.13 | 1256.25 | 1261.48 | 0.001 | |
| Weibull | α = 129.01 [95.63, 174.04] b = 0.68 [0.34, 0.49] | 600.18 | 1204.36 | 1209.59 | 0.261 | |
| Exponential | μ = 160.18 [133.02, 196.66] | 613.71 | 1229.41 | 1232.03 | 0.004 | |
| 7 | Gamma | k = 0.27 [0.29, 0.36] θ = 1092.53 [614.10, 1943.69] | 320.67 | 645.33 | 649.42 | 0.628 |
| Lognormal | μ = 3.09 [2.07, 4.12] σ = 3.86 [3.261, 4.73] | 333.77 | 671.55 | 675.63 | 0.034 | |
| Weibull | α = 118.51 [58.18, 241.43] b = 0.38 [0.31, 0.47] | 324.89 | 653.78 | 657.87 | 0.171 | |
| Exponential | μ = 295.46 [231.59, 390.10] | 381.25 | 764.49 | 766.54 | 1.052 × 10−5 | |
| 8 | Gamma | k = 0.26 [0.19, 0.36] θ = 1452.99 [745.40, 2832.30] | 252.93 | 509.86 | 513.43 | 0.315 |
| Lognormal | μ = 3.18 [2.04, 4.31] σ = 3.73 [3.08, 4.72] | 259.64 | 523.28 | 526.85 | 0.189 | |
| Weibull | α = 130.99 [55.36, 309.98] b = 0.36 [0.28, 0.46] | 255.63 | 515.26 | 518.83 | 0.215 | |
| Exponential | μ = 373.98 [284.09,514.69] | 304.66 | 611.33 | 613.11 | 1.363 × 10−5 | |
| 9 | Gamma | k = 0.25 [0.21, 0.31] θ = 589.20 [386.32, 898.62] | 533.32 | 1070.65 | 1076.07 | 0.090 |
| Lognormal | μ = 2.22 [1.46, 2.98] σ = 4.05 [3.58, 4.66] | 559.08 | 1122.17 | 1127.59 | 0.001 | |
| Weibull | α = 56.14 [32.47, 97.08] b = 0.38 [0.30, 0.42] | 543.85 | 1091.70 | 1097.12 | 0.011 | |
| Exponential | μ = 149.83 [125.43, 182.13] | 667.05 | 1336.10 | 1338.81 | 5.405 × 10−6 | |
| 10 | Gamma | k = 0.34 [0.26, 0.45] θ = 638.99 [394.00, 1035.81] | 397.61 | 799.12 | 803.68 | 0.419 |
| Lognormal | μ = 3.42 [2.64,4.20] σ = 3.24 [2.78, 3.90] | 414.74 | 833.47 | 837.94 | 0.012 | |
| Weibull | α = 122.94 [72.54, 208.36] b = 0.47 [0.38, 0.57] | 402.44 | 808.88 | 813.35 | 0.127 | |
| Exponential | μ = 219.10 [157.37, 281.60] | 440.87 | 883.75 | 885.99 | 8.695 × 10−6 |
Publisher’s Note: MDPI stays neutral with regard to jurisdictional claims in published maps and institutional affiliations. |
© 2022 by the authors. Licensee MDPI, Basel, Switzerland. This article is an open access article distributed under the terms and conditions of the Creative Commons Attribution (CC BY) license (https://creativecommons.org/licenses/by/4.0/).
Share and Cite
Kourouklas, C.; Tsaklidis, G.; Papadimitriou, E.; Karakostas, V. Analyzing the Correlations and the Statistical Distribution of Moderate to Large Earthquakes Interevent Times in Greece. Appl. Sci. 2022, 12, 7041. https://doi.org/10.3390/app12147041
Kourouklas C, Tsaklidis G, Papadimitriou E, Karakostas V. Analyzing the Correlations and the Statistical Distribution of Moderate to Large Earthquakes Interevent Times in Greece. Applied Sciences. 2022; 12(14):7041. https://doi.org/10.3390/app12147041
Chicago/Turabian StyleKourouklas, Christos, George Tsaklidis, Eleftheria Papadimitriou, and Vasileios Karakostas. 2022. "Analyzing the Correlations and the Statistical Distribution of Moderate to Large Earthquakes Interevent Times in Greece" Applied Sciences 12, no. 14: 7041. https://doi.org/10.3390/app12147041
APA StyleKourouklas, C., Tsaklidis, G., Papadimitriou, E., & Karakostas, V. (2022). Analyzing the Correlations and the Statistical Distribution of Moderate to Large Earthquakes Interevent Times in Greece. Applied Sciences, 12(14), 7041. https://doi.org/10.3390/app12147041

