A High-Order Discontinuous Galerkin Method for Solving Preconditioned Euler Equations
Abstract
:1. Introduction
2. High-Order Accurate Numerical Method
2.1. Governing Equations
2.2. Spatial Discretization
2.3. Shock Capturing
2.4. Boundary Conditions
2.4.1. Subsonic Far Field Boundary Condition
2.4.2. Solid Wall Boundary Condition
3. Treatment of Curved Boundaries
3.1. Geometry Representation
3.2. High-Order Re-Mesh
4. Time Stepping Schemes
4.1. Explicit Runge–Kutta Scheme
4.2. Implicit LU-SGS Scheme
5. Results
5.1. Low-Speed Flows over a NACA0012 Airfoil
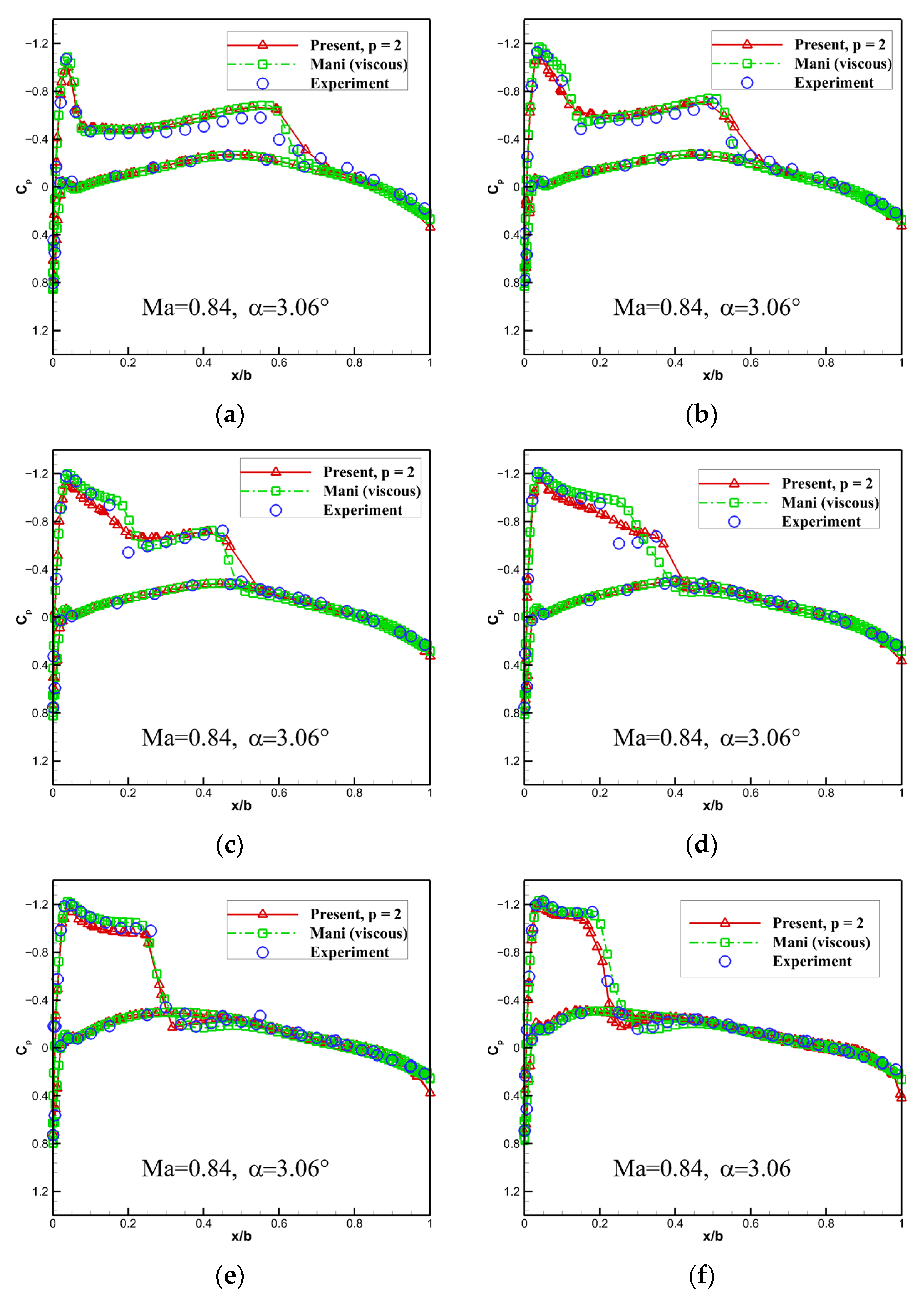
5.2. Flows over an Asymmetric RAE2822 Airfoil
5.3. Flows over a Hemispherical Headform
5.4. Flows over the ONERA M6 Wing
6. Conclusions Remarks
Author Contributions
Funding
Institutional Review Board Statement
Informed Consent Statement
Data Availability Statement
Conflicts of Interest
References
- Birken, P.; Gassner, G.; Haas, M.; Munz, C.D. Preconditioning for modal discontinuous Galerkin methods for unsteady 3D Navier–Stokes equations. J. Comput. Phys. 2013, 240, 20–35. [Google Scholar] [CrossRef]
- Franciolini, M.; Fidkowski, K.J.; Crivellini, A. Efficient discontinuous Galerkin implementations and preconditioners for implicit unsteady compressible flow simulations. Comput. Fluids 2020, 203, 104542. [Google Scholar] [CrossRef]
- Pazner, W.; Persson, P. Stage-parallel fully implicit Runge–Kutta solvers for discontinuous Galerkin fluid simulations. J. Comput. Phys. 2017, 335, 700–717. [Google Scholar] [CrossRef] [Green Version]
- Nicolas, C.; Roland, B.; Eric, S. Performance of DG methods based on different variables for low Mach number flows. Commun. Nonlinear Sci. Numer. Simul. 2020, 95, 105580. [Google Scholar]
- Cockburn, B.; Shu, C.W. The Runge–Kutta Discontinuous Galerkin Method for Conservation Laws V. J. Comput. Phys. 1997, 141, 199–224. [Google Scholar] [CrossRef]
- Dumbser, M.; KaSer, M. Arbitrary high order non-oscillatory finite volume schemes on unstructured meshes for linear hyperbolic systems. J. Comput. Phys. 2007, 221, 693–723. [Google Scholar] [CrossRef]
- Pei, W.; Jiang, Y.; Li, S. An Efficient Parallel Implementation of the Runge–Kutta Discontinuous Galerkin Method with Weighted Essentially Non-Oscillatory Limiters on Three-Dimensional Unstructured Meshes. Appl. Sci. 2022, 12, 4228. [Google Scholar] [CrossRef]
- Persson, P.O.; Peraire, J. Sub-Cell Shock Capturing for Discontinuous Galerkin Methods. In Proceedings of the 44th AIAA Aerospace Sciences Meeting and Exhibit, Reno, NV, USA, 9–12 January 2006. [Google Scholar]
- Siebenborn, M.; Schulz, V.; Schmidt, S. A curved-element unstructured discontinuous Galerkin method on GPUs for the Euler equations. Comput. Vis. Sci. 2013, 15, 61–73. [Google Scholar] [CrossRef]
- Bassi, F.; Bartolo, C.D.; Hartmann, R.; Nigro, A. A discontinuous Galerkin method for inviscid low Mach number flows. J. Comput. Phys. 2009, 228, 3996–4011. [Google Scholar] [CrossRef] [Green Version]
- Yasue, K. Implicit Discontinuous Galerkin Method for RANS Simulation Utilizing Pointwise Relaxation Algorithm. Commun. Comput. Phys. 2010, 7, 510–533. [Google Scholar] [CrossRef]
- Crivellini, A.; Bassi, F. An implicit matrix-free Discontinuous Galerkin solver for viscous and turbulent aerodynamic simulations. Comput. Fluids 2011, 50, 81–93. [Google Scholar] [CrossRef]
- Fernandez, P.; Nguyen, N.C.; Peraire, J. The hybridized Discontinuous Galerkin method for Implicit Large-Eddy Simulation of transitional turbulent flows. J. Comput. Phys. 2017, 336, 308–329. [Google Scholar] [CrossRef] [Green Version]
- Franciolini, M.; Botti, L.; Colombo, A.; Crivellini, A. p-Multigrid matrix-free discontinuous Galerkin solution strategies for the under-resolved simulation of incompressible turbulent flows. Comput. Fluids 2020, 206, 104558. [Google Scholar] [CrossRef]
- Ali, A.; Syed, K.S.; Hassan, A.; Ahmad, I.; Ismail, M.A. On parallel performance of an implicit discontinuous Galerkin compressible flow solver based on different linear solvers. In Proceedings of the IEEE 14th International Multitopic Conference, Karachi, Pakistan, 22–24 December 2011. [Google Scholar]
- Yoon, S.; Jameson, A. Lower-upper Symmetric-Gauss-Seidel method for the Euler and Navier-Stokes equations. AIAA J. 1988, 26, 1025–1026. [Google Scholar] [CrossRef] [Green Version]
- Zeifang, J.; Kaiser, K.; Beck, A.; Schutz, J.; Munz, C.D. Efficient high-order discontinuous Galerkin computations of low Mach number flows. Commun. Appl. Math. Comput. Sci. 2018, 13, 243–270. [Google Scholar] [CrossRef]
- Nigro, A.; Bartolo, C.D.; Hartmann, R.; Bassi, F. Discontinuous Galerkin solution of preconditioned Euler equations for very low Mach number flows. Int. J. Numer. Methods Fluids 2010, 63, 449–467. [Google Scholar] [CrossRef] [Green Version]
- Nigro, A.; Renda, S.; Bartolo, C.D.; Hartmann, R.; Bassi, F. A high-order accurate discontinuous Galerkin finite element method for laminar low Mach number flows. Int. J. Numer. Methods Fluids 2013, 72, 43–68. [Google Scholar] [CrossRef]
- Landmann, B. A Parallel Discontinuous Galerkin Code for the Navier-Stokes and Reynolds-Averaged Navier-Stokes Equations. Ph.D. Thesis, University of Stuttgart, Stuttgart, Germany, 2008. [Google Scholar]
- Hauke, G.; Hughes, T. A comparative study of different sets of variables for solving compressible and incompressible flows. Comput. Methods Appl. Mech. Eng. 1998, 153, 1–44. [Google Scholar] [CrossRef]
- Venkateswaran, S.; Weiss, J.M.; Merkle, C.L.; Choi, Y.H. Propulsion-related flow fields using the preconditioned Navier-Stokes equations. In Proceedings of the 28th Joint Propulsion Conference and Exhibit, Nashville, TN, USA, 6–8 July 1992. [Google Scholar]
- Weiss, J.M.; Smith, W.A. Preconditioning applied to variable and constant density time-accurate flows on unstructured meshes. In Proceedings of the 25th AIAA Fluid Dynamics Conference, Colorado Springs, CO, USA, 20–23 June 1994. [Google Scholar]
- Roe, P.L. Approximate Riemann solvers, parameter vectors, and difference schemes. J. Comput. Phys. 1981, 43, 357–372. [Google Scholar] [CrossRef]
- Bassi, F.; Rebay, S. High-order accurate discontinuous finite element solution of the 2D Euler equations. J. Comput. Phys. 1997, 138, 251–285. [Google Scholar] [CrossRef]
- Bui, T.T. A parallel, finite-volume algorithm for large-eddy simulation of turbulent flows. Comput. Fluids 2000, 29, 877–915. [Google Scholar] [CrossRef] [Green Version]
- Bassi, F.; Crivellini, A.; Rebay, S.; Savini, M. Discontinuous Galerkin solution of the Reynolds-averaged Navier–Stokes and k–ω turbulence model equations. Comput. Fluids 2005, 34, 507–540. [Google Scholar] [CrossRef]
- Klöckner, A.; Warburton, T.; Hesthaven, J.S. Viscous Shock Capturing in a Time-Explicit Discontinuous Galerkin Method. Math. Model. Nat. Phenom. 2011, 6, 57–83. [Google Scholar] [CrossRef]
- Turkel, E.; Fiterman, A.; Vanleer, B. Preconditioning and the limit to the incompressible flow equations. In Computing the Future: Frontiers of Computational Fluid Dynamics 1994; Caughey, D.A., Hafez, M.M., Eds.; Wiley: New York, NY, USA, 1994; pp. 215–234. [Google Scholar]
- Hong, L.; Baum, J.D.; Hner, R.L. A discontinuous Galerkin method based on a Taylor basis for the compressible flows on arbitrary grids. J. Comput. Phys. 2008, 227, 8875–8893. [Google Scholar]
- Kashi, A.; Hong, L. Curved mesh generation using radial basis functions. In Proceedings of the 46th AIAA Fluid Dynamics Conference, Washington, DC, USA, 13–17 June 2016. [Google Scholar]
- Toulorge, T.; Geuzaine, C.; Remacle, J.F.; Lambrechts, J. Robust untangling of curvilinear meshes. J. Comput. Phys. 2013, 254, 8–26. [Google Scholar] [CrossRef]
- Xie, Z.Q.; Sevilla, R.; Hassan, O.; Morgan, K. The generation of arbitrary order curved meshes for 3D finite element analysis. Comput. Mech. 2013, 51, 361–374. [Google Scholar] [CrossRef]
- Bramkamp, F.D.; Bücker, H.M.; Rasch, A. Using exact Jacobians in an implicit Newton–Krylov method. Comput. Fluids 2006, 35, 1063–1073. [Google Scholar] [CrossRef]
- Cao, C.; Chen, H.; Zhang, J. Preconditioned Gridless Methods for Solving Three Dimensional Euler Equations at Low Mach Numbers. Int. J. Modeling Simul. Sci. Comput. 2020, 11, 2050055. [Google Scholar] [CrossRef]
- Puoti, V. Preconditioning method for low-speed flows. AIAA J. 2003, 41, 817–830. [Google Scholar] [CrossRef]
- Cook, P.H.; Mcdonald, M.A.; Firmin, M.C.P. Airfoil RAE2822—Pressure Distributions, and Boundary Layer and Wake Measurements; AGARD Advisory Report No. 138; Advisory Group for Aerospace Research and Development North Atlantic Treaty Organization: Neuilly sur Seine, France, 1979. [Google Scholar]
- Yasue, K.; Ohnishi, N.; Sawada, K. A Pointwise Relaxation Computation of Viscous Compressible Flowfield Using Discontinuous Galerkin Method. In Proceedings of the 36th AIAA Fluid Dynamics Conference and Exhibit, San Francisco, CA, USA, 5–8 June 2006. [Google Scholar]
- Hejranfar, K.; Kamali-Moghadam, R. Preconditioned characteristic boundary conditions for solution of the preconditioned Euler equations at low Mach number flows. J. Comput. Phys. 2012, 231, 4384–4402. [Google Scholar] [CrossRef]
- Rouse, H.; McNown, J.S. Cavitation and Pressure Distribution, Head Forms at Zero Angle of Yaw, Studies Engineering; State University of Iowa: Iowa City, IA, USA, 1948; Volume 32. [Google Scholar]
- Mani, M.; Ladd, J.; Cain, A.; Bush, R. An assessment of one- and two-equation turbulence models for internal and external flows. In Proceedings of the 28th Fluid Dynamics Conference, Snowmass Village, CO, USA, 29 June–2 July 1997. [Google Scholar]
- Schmitt, V.; Charpin, F. Pressure Distributions on the ONERA M6 Wing at Transonic Mach Numbers; AGARD Advisory Report No. 138; Advisory Group for Aerospace Research and Development North Atlantic Treaty Organization: Neuilly sur Seine, France, 1979. [Google Scholar]
- Turkel, E. Preconditioning methods for low-speed flows. In Proceedings of the 14th AIAA Applied Aerodynamics Conference, New Orleans, LA, USA, 18–20 June 1996. [Google Scholar]



















Publisher’s Note: MDPI stays neutral with regard to jurisdictional claims in published maps and institutional affiliations. |
© 2022 by the authors. Licensee MDPI, Basel, Switzerland. This article is an open access article distributed under the terms and conditions of the Creative Commons Attribution (CC BY) license (https://creativecommons.org/licenses/by/4.0/).
Share and Cite
Gao, H.; Zhang, J.; Chen, H.; Xu, S.; Jia, X. A High-Order Discontinuous Galerkin Method for Solving Preconditioned Euler Equations. Appl. Sci. 2022, 12, 7040. https://doi.org/10.3390/app12147040
Gao H, Zhang J, Chen H, Xu S, Jia X. A High-Order Discontinuous Galerkin Method for Solving Preconditioned Euler Equations. Applied Sciences. 2022; 12(14):7040. https://doi.org/10.3390/app12147040
Chicago/Turabian StyleGao, Huanqin, Jiale Zhang, Hongquan Chen, Shengguan Xu, and Xuesong Jia. 2022. "A High-Order Discontinuous Galerkin Method for Solving Preconditioned Euler Equations" Applied Sciences 12, no. 14: 7040. https://doi.org/10.3390/app12147040
APA StyleGao, H., Zhang, J., Chen, H., Xu, S., & Jia, X. (2022). A High-Order Discontinuous Galerkin Method for Solving Preconditioned Euler Equations. Applied Sciences, 12(14), 7040. https://doi.org/10.3390/app12147040

