Performance Analysis of the Multi-Stage Dew-Point Indirect Evaporative Air Cooler
Abstract
:1. Introduction
2. Materials and Methods
- —partial air mass flow rate: , kg/s
- —specific heat capacity of moist air, J/(kg K)
- —temperature, °C
- —sensible heat transfer rate, W
- —channel length in Y direction, m
- X—coordinate along the supply air-flow direction, m
- The sensible heat balance for the working air flow:
- The sensible mass balance for the working air flow:
- The total heat balance:where:
- —partial moist air mass flow rate: , kg/s
- —mass transfer rate of water vapor, kg/s
- —plate temperature, °C
- —latent heat transfer rate, W
- The sensible heat balance for the working air flow:where:
- —partial moist air mass flow rate: , kg/s
- —channel length in X direction, m
- Y—coordinate along the working air-flow direction, m
- The mass balance for the working air flow:
- The total heat balance:
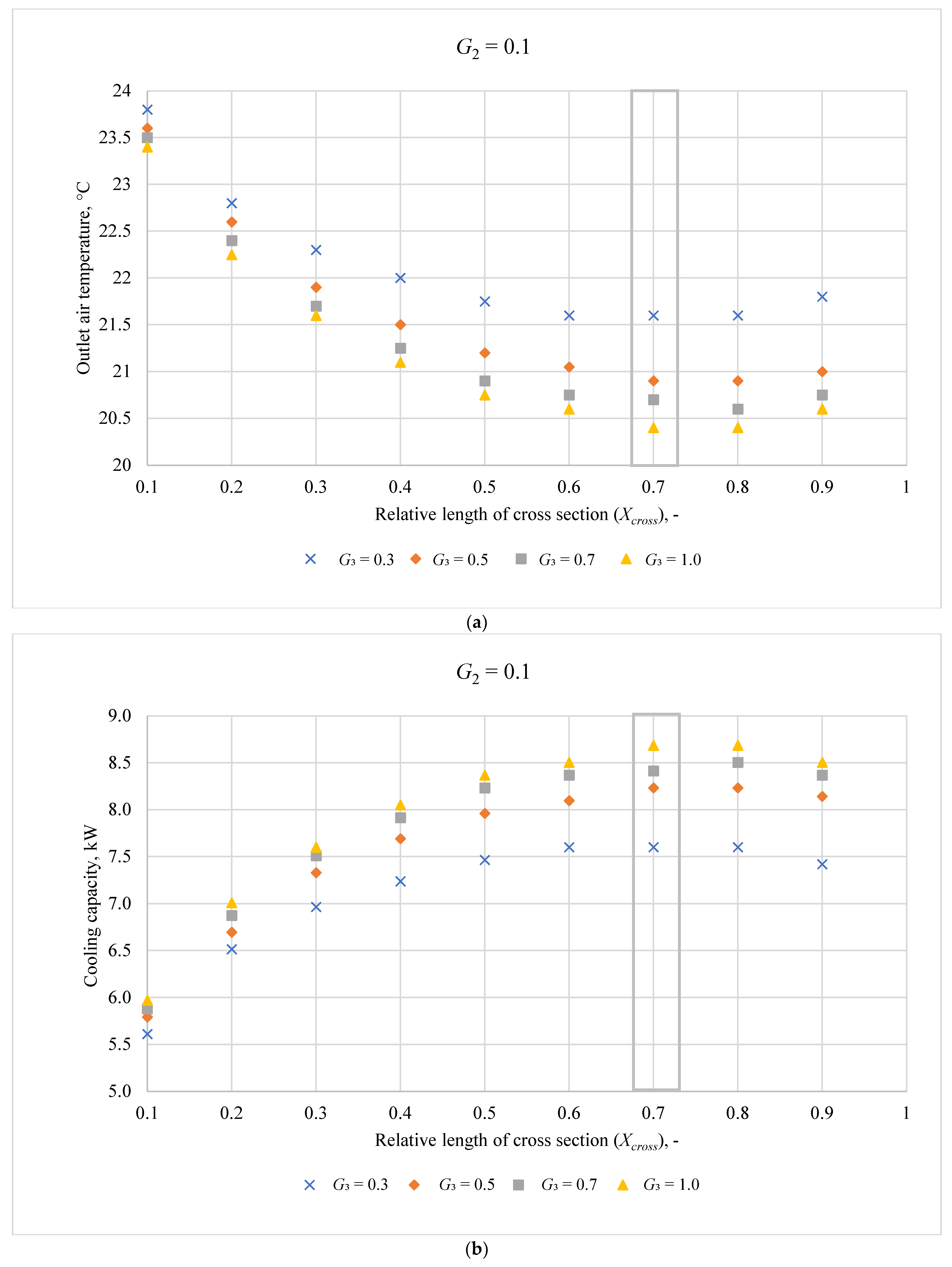
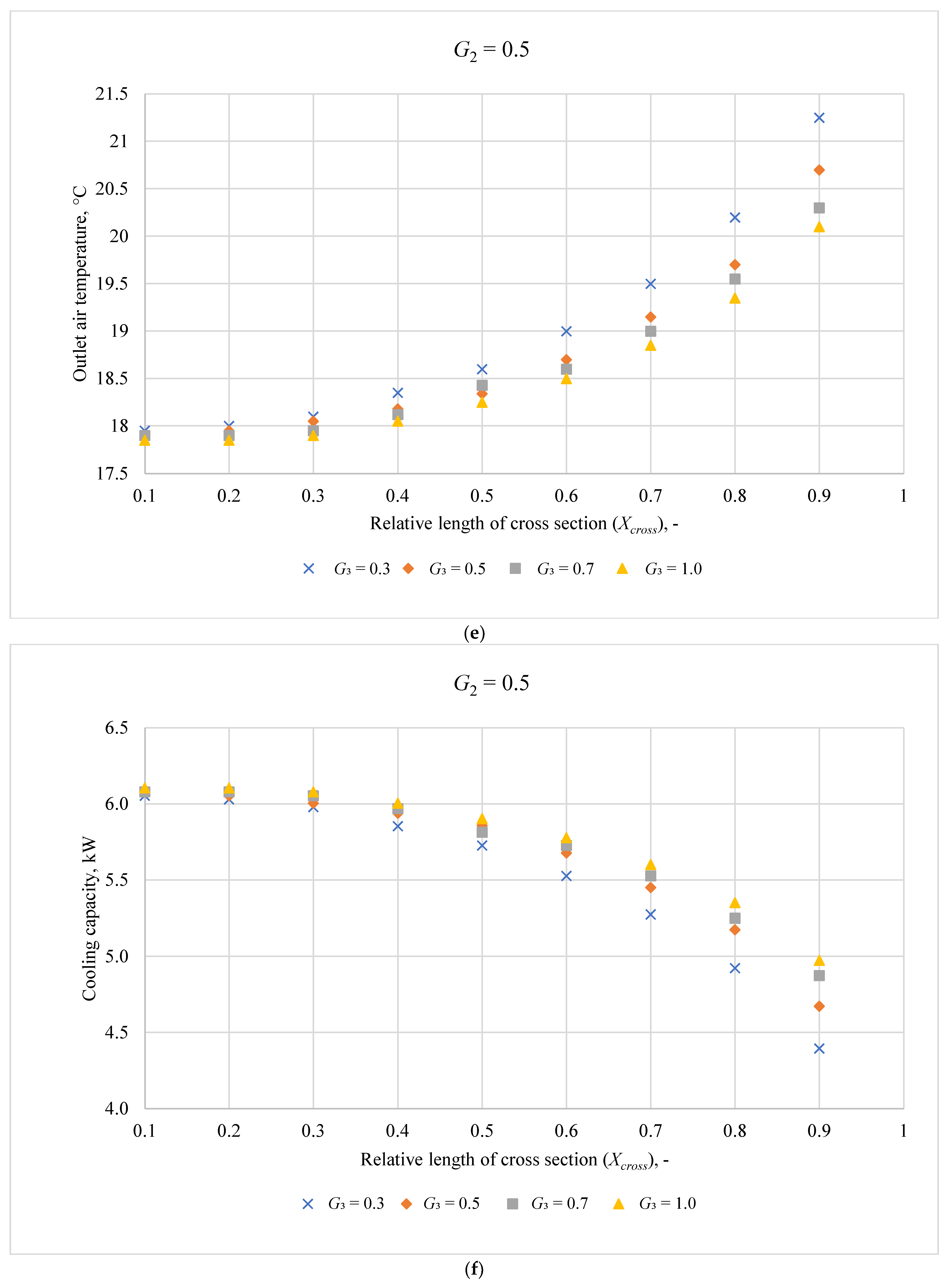
3. Results and Discussion
- The relative length of the cross-flow part Xcross is equal to 0.7 and 0.3 for DPIEC 1 and DPIEC 2, respectively;
- The working-to-primary air ratio in the regenerative counter-flow part W2/W1 equals 0.1 and 0.5 for DPIEC 1 and DPIEC 2, respectively;
- The working-to-primary air ratio in the cross-flow part W3/W1 in each case equals 0.5 for DPIEC 1 and DPIEC 2.
Comparison of the Multi-Stage Unit with Typical Regenerative DPIEC
4. Conclusions
Author Contributions
Funding
Conflicts of Interest
Appendix A. Model Validation
Appendix A.1. Regenerative Dew-Point Evaporative Cooler

| Parameter Description | Values | Unit |
|---|---|---|
| Range of inlet air temperature | 27–32 | °C |
| Range of inlet air relative humidity | 40–60 | % |
| Inlet air-flow mass volume | 0.2 | kg/s |
| Working-to-product air-flow ratio | 0.3 | - |
| Inlet air velocity in the product channel | 1.0 | m/s |
| Inlet air velocity in the working channel | 0.6 | m/s |
| Number of Heat Transfer Units (NTU) in product channel | 11.6 | - |
| Number of Heat Transfer Units (NTU) in working channel | 22.0 | - |
| Unit dimensions | 550 × 690 × 350 | mm |

Appendix A.2. Indirect Cross-Flow Evaporative Cooler

References
- Pérez-Andreu, V.; Aparicio-Fernández, C.; Martínez-Ibernón, A.; Vivancos, J.L. Impact of climate change on heating and cooling energy demand in a residential building in a Mediterranean climate. Energy 2018, 165, 63–74. [Google Scholar] [CrossRef]
- Canales, F.A.; Jadwiszczak, P.; Jurasz, J.; Wdowikowski, M.; Ciapała, B.; Kaźmierczak, B. The impact of long-term changes in air temperature on renewable energy in Poland. Sci. Total Environ. 2020, 729, 138965. [Google Scholar] [CrossRef] [PubMed]
- Yang, Y.; Javanroodi, K.; Nik, V.M. Climate change and energy performance of European residential building stocks—A comprehensive impact assessment using climate big data from the coordinated regional climate downscaling experiment. Appl. Energy 2021, 298, 117246. [Google Scholar] [CrossRef]
- Bezerra, P.; Silva, F.; Cruz, T.; Mistry, M.; Vasquez-Arroyo, E.; Magalar, L.; De Cian, E.; Lucena, A.F.P.; Schaeffer, R. Impacts of a warmer world on space cooling demand in Brazilian households. Energy Build. 2021, 234, 110696. [Google Scholar] [CrossRef]
- Berardi, U.; Jafarpur, P. Assessing the impact of climate change on building heating and cooling energy demand in Canada. Renew. Sustain. Energy Rev. 2020, 121, 109681. [Google Scholar] [CrossRef]
- Wang, H.; Chen, Q. Impact of climate change heating and cooling energy use in buildings in the United States. Energy Build. 2014, 82, 428–436. [Google Scholar] [CrossRef] [Green Version]
- IEA. The Future of Cooling. 2018. Available online: https://www.iea.org/reports/the-future-of-cooling (accessed on 22 February 2022).
- Sajjad, U.; Abbas, N.; Hamid, K.; Abbas, S.; Hussain, I.; Ammar, S.M.; Sultan, M.; Muzamil Hussain, M.; Rehman, T.; Wang, C.C. A review of recent advances in indirect evaporative cooling technology. Int. Commun. Heat Mass Transf. 2021, 122, 105140. [Google Scholar] [CrossRef]
- Yang, H.; Shi, W.; Chen, Y.; Min, Y. Research development of indirect evaporative cooling technology: An updated review. Renew. Sustain. Energy Rev. 2021, 145, 111082. [Google Scholar] [CrossRef]
- Cui, Y.; Zhu, J.; Zoras, S.; Liu, L. Review of the recent advances in dew point evaporative cooling technology: 3E (energy, economic and environmental) assessments. Renew. Sustain. Energy Rev. 2021, 148, 111345. [Google Scholar] [CrossRef]
- Pacak, A.; Worek, W. Review of dew point evaporative cooling technology for air conditioning applications. Appl. Sci. 2021, 11, 934. [Google Scholar] [CrossRef]
- Lai, L.; Wang, X.; Kefayati, G.; Hu, E. Evaporative cooling integrated with solid desiccant systems: A review. Energies 2021, 14, 5982. [Google Scholar] [CrossRef]
- Boudjabi, A.F.; Maalouf, C.; Moussa, T.; Abada, D.; Rouag, D.; Lachi, M.; Polidori, G. Analysis and multi-response optimization of two dew point cooler configurations using the desirability function approach. Energy Rep. 2021, 7, 5289–5304. [Google Scholar] [CrossRef]
- Kashyap, S.; Sarkar, J.; Kumar, A. Comparative performance analysis of different novel regenerative evaporative cooling device topologies. Appl. Therm. Eng. 2019, 176, 115474. [Google Scholar] [CrossRef]
- Wan, Y.; Huang, Z.; Soh, A.; Cui, X.; Chua, K.J. Analysing the transport phenomena of novel dew-point evaporative coolers with different flow configurations considering condensation. Int. J. Heat Mass Transf. 2021, 170, 120991. [Google Scholar] [CrossRef]
- Pandelidis, D.; Anisimov, S.; Worek, W.M. Comparison study of the counter-flow regenerative evaporative heat exchangers with numerical methods. Appl. Therm. Eng. 2015, 84, 211–224. [Google Scholar] [CrossRef]
- Pandelidis, D.; Anisimov, S. Mathematical Modeling of the M-Cycle Heat and Mass Exchanger Used in Air Conditioning Systems. Ph.D. Thesis, Wrocław University of Science and Technology, Wrocław, Poland, 2016. [Google Scholar]
- Anisimov, S.; Pandelidis, D. Theoretical study of the basic cycles for indirect evaporative air cooling. Int. J. Heat Mass Transf. 2015, 84, 974–989. [Google Scholar] [CrossRef]
- Pandelidis, D.; Anisimov, S.; Worek, W.M. Performance study of the Maisotsenko Cycle heat exchangers in different air-conditioning applications. Int. J. Heat Mass Transf. 2015, 81, 207–221. [Google Scholar] [CrossRef]
- Anisimov, S.; Pandelidis, D.; Danielewicz, J. Numerical analysis of selected evaporative exchangers with the Maisotsenko cycle. Energy Convers. Manag. 2014, 88, 426–441. [Google Scholar] [CrossRef]
- Pandelidis, D.; Anisimov, S. Numerical study and optimization of the cross-flow Maisotsenko cycle indirect evaporative air cooler. Int. J. Heat Mass Transf. 2016, 103, 1029–1041. [Google Scholar] [CrossRef]
- Pacak, A.; Jurga, A.; Pandelidis, D.; Kaźmierczak, B. A Long-Term Analysis of the Possibility of Water Recovery for Hydroponic Lettuce Irrigation in Indoor Vertical Farm. Part 1: Water Recovery from Exhaust Air. Appl. Sci. 2020, 10, 8907. [Google Scholar] [CrossRef]
- Hsu, S.; Lavan, Z.; Worek, W. Optimization of wet-surface heat exchangers. Energy 1989, 14, 757–770. [Google Scholar] [CrossRef]
- Lee, J.; Lee, D.Y. Experimental study of a counter flow regenerative evaporative cooler with finned channels. Int. J. Heat Mass Transf. 2013, 65, 173–179. [Google Scholar] [CrossRef]
- Rey Martinez, F.J.; Velasco Gómez, E.; Herrero Martin, R.; Martinez Gutiérrez, J.; Varela Diez, F. Comparative study of two different evaporative systems: An indirect evaporative cooler and a semiindirect ceramic evaporative cooler. Energy Build. 2004, 36, 696–708. [Google Scholar] [CrossRef]





| Reference | Main Findings |
|---|---|
| [8] |
|
| [9] |
|
| [10] |
|
| [11] |
|
| [12] |
|
| Parameter | DPIEC 1 and DPIEC 2 Multi-Stage Dew-Point Evaporative Cooler | DPIEC 3 Regenerative Dew-Point Evaporative Cooler |
|---|---|---|
| Cooler length | 1.0 m | 1.0 m |
| Cooler width | 1.0 m | 1.0 m |
| Cooler channel height | 3.0 mm | 3.0 mm |
| Inlet velocity | 3.0 m/s | 3.0 m/s |
| NTU1 | 6.38 | 6.38 |
| Type of Exchanger | W3/W1 | W2/W1 | |||
|---|---|---|---|---|---|
| DPIEC 1 | Combined cross-regenerative counter-flow heat and mass exchanger | 0.5 | 0.1 | 0.3 | 0.7 |
| DPIEC 2 | 0.5 | 0.3 | 0.3 | 0.7 | |
| DPIEC 3 | Regenerative dew-point evaporative cooler | - | 0.3 | - | 1.0 |
| Outdoor Air Temperature, °C | Outlet Air Temperature, °C | Cooling Capacity, kW | ||||
|---|---|---|---|---|---|---|
| DPIEC 1 | DPIEC 2 | DPIEC 3 | DPIEC 1 | DPIEC 2 | DPIEC 3 | |
| 25 | 17.2 | 15.3 | 16.2 | 7.1 | 6.8 | 6.2 |
| 30 | 20.8 | 19.0 | 19.7 | 8.4 | 7.8 | 7.2 |
| 35 | 24.0 | 22.8 | 23.4 | 9.9 | 8.6 | 8.2 |
| City | Inlet Air Temperature | Inlet Air Relative Humidity/(Air Humidity Ratio) | Air Dew-Point Temperature | DPIEC 2 | DPIEC 3 | ||
|---|---|---|---|---|---|---|---|
| Outlet Air Temperature | Dew-Point Effectiveness | Outlet Air Temperature | Dew-Point Effectiveness | ||||
| - | °C | %/(g/kg) | °C | °C | % | °C | % |
| Athens | 33.8 | 31/(10.3) | 14.4 | 17.9 | 82.0 | 18.8 | 77.3 |
| Beijing | 37.4 | 45/(18.5) | 23.6 | 24.7 | 92.0 | 25.2 | 88.4 |
| Denver | 33.0 | 25/(7.9) | 10.5 | 15.6 | 77.2 | 16.8 | 71.8 |
| Helsinki | 26.7 | 46/(10.2) | 14.1 | 16.8 | 78.6 | 17.6 | 72.2 |
| Izmir | 35.5 | 55/(20.4) | 25.1 | 25.9 | 92.3 | 26.2 | 89.0 |
| Madrid | 36.1 | 29/(11.0) | 15.4 | 18.8 | 83.6 | 19.71 | 79.2 |
| Prague | 27.7 | 42/(9.9) | 13.6 | 16.6 | 78.7 | 17.5 | 72.3 |
| Warsaw | 32.0 | 50/(15.1) | 20.3 | 21.8 | 87.2 | 22.3 | 82.9 |
Publisher’s Note: MDPI stays neutral with regard to jurisdictional claims in published maps and institutional affiliations. |
© 2022 by the authors. Licensee MDPI, Basel, Switzerland. This article is an open access article distributed under the terms and conditions of the Creative Commons Attribution (CC BY) license (https://creativecommons.org/licenses/by/4.0/).
Share and Cite
Pacak, A.; Jurga, A.; Sierpowski, K.; Panek, M.; Skołowska, A.; Pandelidis, D. Performance Analysis of the Multi-Stage Dew-Point Indirect Evaporative Air Cooler. Appl. Sci. 2022, 12, 6767. https://doi.org/10.3390/app12136767
Pacak A, Jurga A, Sierpowski K, Panek M, Skołowska A, Pandelidis D. Performance Analysis of the Multi-Stage Dew-Point Indirect Evaporative Air Cooler. Applied Sciences. 2022; 12(13):6767. https://doi.org/10.3390/app12136767
Chicago/Turabian StylePacak, Anna, Anna Jurga, Korneliusz Sierpowski, Magdalena Panek, Agata Skołowska, and Demis Pandelidis. 2022. "Performance Analysis of the Multi-Stage Dew-Point Indirect Evaporative Air Cooler" Applied Sciences 12, no. 13: 6767. https://doi.org/10.3390/app12136767
APA StylePacak, A., Jurga, A., Sierpowski, K., Panek, M., Skołowska, A., & Pandelidis, D. (2022). Performance Analysis of the Multi-Stage Dew-Point Indirect Evaporative Air Cooler. Applied Sciences, 12(13), 6767. https://doi.org/10.3390/app12136767

