A Variable-Order Dynamic Constitutive Model for Clay Based on the Fractional Calculus
Abstract
:1. Introduction
2. Theory of Clay Deformation under Cyclic Loading
2.1. Analysis of Cyclic Stress
2.2. Deformation Characteristics of Clay under Different Loads
2.2.1. Deformation Characteristics of Clay under Long-Term Static Load
2.2.2. Deformation Characteristics of Clay under Alternating Load
2.3. Total Strain of Clay under Long-Term Cyclic Load
3. A Variable-Order Fractional Abel Dashpot
3.1. Mathematical Preliminaries
3.2. The Constant-Order Fractional Abel Dashpot
3.3. The Variable-Order Fractional Abel Dashpot
4. Establishment of Dynamic Constitutive Model
4.1. Creep Strain of Clay under Long-Term Static Load

4.2. The Strain Response of Clay under Long-Term Alternating Load
4.2.1. Dynamic Response Theory of Alternating Strain
Hook Body
Variable-Order Fractional Abel Dashpot
Viscoplastic Body
4.2.2. The Strain Response of the Creep Constitutive Model
- (1)
- when ,
- (2)
- When ,
4.3. The Dynamic Constitutive Model for Clay
5. Model Validation and Sensitivity Analysis
5.1. Model Validation
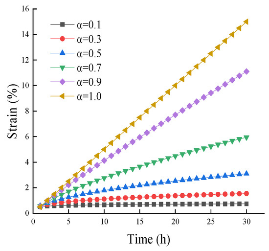
5.2. Sensitivity Analysis
5.3. Comparison of Models
6. Discussion
7. Conclusions
- [I]
- A new dynamic constitutive model suitable for describing the accumulative strain of clay is proposed. Instantaneous strain, viscoelastic strain and viscoplastic strain within total accumulative strain are described by means of hook body, variable-order Abel dashpot and viscoplastic body, respectively.
- [II]
- The new constitutive model proposed in this paper was applied to fit the undrained dynamic triaxial data under the action of the amplitude of dynamic stress. According to the fitting results, all correlation coefficients exceed 0.9, which indicates to some extent that the ability of the new constitutive model can characterize the accumulative strain of clay under long-term cyclic loading.
- [III]
- By analyzing the accumulative strain of clay under the actions of parameter increments, the sensitivity effect of parameters , , and was revealed, and the interaction mechanisms among parameters, loading duration and accumulative strain was clarified. The influence of parameters , , and upon accumulative strain was clearly demonstrated.
- [IV]
- In comparison with other constitutive models, the new constitutive model presented in this paper exhibits a significantly higher predictive performance, especially for the accelerating stage, which illustrates that the viscoplastic body method described in this paper can well characterize the deformation characteristics of clay in the accelerating stage.
Author Contributions
Funding
Data Availability Statement
Conflicts of Interest
References
- Jin, Q.; Zheng, Y.-J.; Cui, X.-Z.; Cui, S.-Q.; Qi, H.; Zhang, X.-N.; Wang, S. Evaluation of dynamic characteristics of silt in Yellow River Flood Field after freeze-thaw cycles. J. Cent. South Univ. 2020, 27, 2113–2122. [Google Scholar] [CrossRef]
- Shen, S.-L.; Wu, H.-N.; Cui, Y.-J.; Yin, Z.-Y. Long-term settlement behaviour of metro tunnels in the soft deposits of Shanghai. Tunn. Undergr. Space Technol. 2014, 40, 309–323. [Google Scholar] [CrossRef]
- Jongpradist, P.; Youwai, S.; Jaturapitakkul, C. Effective Void Ratio for Assessing the Mechanical Properties of Cement-Clay Admixtures at High Water Content. J. Geotech. Geoenviron. Eng. 2011, 137, 621–627. [Google Scholar] [CrossRef]
- Fortunato, E.; Paixão, A.; Morais, P.; Santos, C.; Morais, J.; Cruz, J.; Cruz, N. Subgrade reinforcement of old railway tracks using short soil–binder columns—Laboratory studies and field tests. Transp. Geotech. 2021, 29, 100577. [Google Scholar] [CrossRef]
- Fattah, M.Y.; Mahmood, M.R.; Aswad, M.F. Stress distribution from railway track over geogrid reinforced ballast underlain by clay. Earthq. Eng. Eng. Vib. 2019, 18, 77–93. [Google Scholar] [CrossRef]
- Zhu, S.; Chen, R.-P.; Yin, Z.-Y. Elastoplastic modeling of cyclic behavior of natural structured clay with large number of cycles. Transp. Geotech. 2021, 26, 100448. [Google Scholar] [CrossRef]
- Truong, M.H.; Indraratna, B.; Nguyen, T.T.; Carter, J.; Rujikiatkamjorn, C. Analysis of undrained cyclic response of saturated soils. Comput. Geotech. 2021, 134, 104095. [Google Scholar] [CrossRef]
- Ni, J.; Indraratna, B.; Geng, X.-Y.; Carter, J.P.; Chen, Y.-L. Model of Soft Soils under Cyclic Loading. Int. J. Geomech. 2015, 15, 04014067. [Google Scholar] [CrossRef] [Green Version]
- Corti, R.; Diambra, A.; Wood, D.M.; Escribano, D.E.; Nash, D.F.T. Memory Surface Hardening Model for Granular Soils under Repeated Loading Conditions. J. Eng. Mech. 2016, 142, 04016102. [Google Scholar] [CrossRef] [Green Version]
- Zhao, H.Y.; Indraratna, B.; Ngo, T. Numerical simulation of the effect of moving loads on saturated subgrade soil. Comput. Geotech. 2021, 131, 103930. [Google Scholar] [CrossRef]
- Shih, J.-Y.; Grossoni, I.; Bezin, Y. Settlement analysis using a generic ballasted track simulation package. Transp. Geotech. 2019, 20, 100249. [Google Scholar] [CrossRef]
- Zuada Coelho, B.; Dijkstra, J.; Karstunen, M. Viscoplastic cyclic degradation model for soft natural soils. Comput. Geotech. 2021, 135, 104176. [Google Scholar] [CrossRef]
- Deng, Q.-L.; Ren, X.-W. An energy method for deformation behavior of soft clay under cyclic loads based on dynamic response analysis. Soil Dyn. Earthq. Eng. 2017, 94, 75–82. [Google Scholar] [CrossRef]
- Monismith, C.L.; Ogawa, N.; Freeme, C.R. Permanent deformation characteristics of subgrade soil due to repeated loading. Transp. Res. Rec. J. Transp. Res. Board 1975, 537, 1–17. [Google Scholar]
- Chawla, S.; Shahu, J.T.; Kumar, S. Analysis of cyclic deformation and post-cyclic strength of reinforced railway tracks on soft subgrade. Transp. Geotech. 2021, 28, 100535. [Google Scholar] [CrossRef]
- He, L.-L.; Wang, Y.-Z.; Li, S.-Z.; Wang, Z.-Y. Practical method and application study for predicting cyclic accumulative deformations of the saturated soft clay. J. Mt. Sci. 2017, 14, 2348–2358. [Google Scholar] [CrossRef]
- Chen, C.; Zhou, Z.; Zhang, X.; Xu, G. Behavior of amorphous peaty soil under long-term cyclic loading. Int. J. Geomech. 2018, 18, 04018115. [Google Scholar] [CrossRef]
- Salour, F.; Rahman, M.S.; Erlingsson, S. Characterizing Permanent Deformation of Silty Sand Subgrades by Using a Model Based on Multistage Repeated-Load Triaxial Testing. Transp. Res. Rec. J. Transp. Res. Board 2016, 2578, 47–57. [Google Scholar] [CrossRef]
- Xu, X.; Zhang, W.; Fan, C.; Lai, Y.; Wu, J. Effect of freeze–thaw cycles on the accumulative deformation of frozen clay under cyclic loading conditions: Experimental evidence and theoretical model. Road Mater. Pavement Des. 2019, 22, 925–941. [Google Scholar] [CrossRef]
- Hu, Z.; Wang, R.; Ren, X.; Wei, X.; Wang, Q. Permanent deformation behavior of compacted loess under long-term traffic loading. J. Mater. Civ. Eng. 2019, 31, 04019157. [Google Scholar] [CrossRef]
- Sun, Q.; Cai, Y.; Chu, J.; Dong, Q.; Wang, J. Effect of variable confining pressure on cyclic behaviour of granular soil under triaxial tests. Can. Geotech. J. 2017, 54, 768–777. [Google Scholar] [CrossRef]
- Sas, W.; Gluchowski, A.; Gabrys, K.; Sobol, E.; Szymanski, A. Resilient Modulus Characterization of Compacted Cohesive Subgrade Soil. Appl. Sci. 2017, 7, 370. [Google Scholar] [CrossRef] [Green Version]
- Nie, R.; Li, Y.; Leng, W.; Mei, H.; Dong, J.; Chen, X. Deformation characteristics of fine-grained soil under cyclic loading with intermittence. Acta Geotech. 2020, 15, 3041–3054. [Google Scholar] [CrossRef]
- Thevakumar, K.; Indraratna, B.; Ferreira, F.B.; Carter, J.; Rujikiatkamjorn, C. The influence of cyclic loading on the response of soft subgrade soil in relation to heavy haul railways. Transp. Geotech. 2021, 29, 100571. [Google Scholar] [CrossRef]
- Kabwe, E.; Karakus, M.; Chanda, E.K. Creep constitutive model considering the overstress theory with an associative viscoplastic flow rule. Comput. Geotech. 2020, 124, 103629. [Google Scholar] [CrossRef]
- Song, Z.; Song, W.; Cheng, Y.; Yang, T.; Wang, T.; Wang, K. Investigation on Strain Characteristics and Fatigue Constitutive Model of Limestone under Osmotic Pressure and Cyclic Disturbance Coupling. Ksce J. Civ. Eng. 2022, 26, 1740–1753. [Google Scholar] [CrossRef]
- Zhu, Z.-Y.; Luo, F.; Zhang, Y.-Z.; Zhang, D.-J.; He, J.-L. A creep model for frozen sand of Qinghai-Tibet based on Nishihara model. Cold Reg. Sci. Technol. 2019, 167, 102843. [Google Scholar] [CrossRef]
- Lyu, C.; Liu, J.; Zhao, C.; Ren, Y.; Liang, C. Creep-damage constitutive model based on fractional derivatives and its application in salt cavern gas storage. J. Energy Storage 2021, 44, 103403. [Google Scholar] [CrossRef]
- Zhang, J.; Yao, B.; Ao, Y.; Jin, C.; Sun, C. Analysis and numerical calculation of a coupled creep and strain-softening model for soft rock tunnels. PLoS ONE 2021, 16, e0256243. [Google Scholar] [CrossRef]
- Zhao, Y.; Wang, Y.; Wang, W.; Wan, W.; Tang, J. Modeling of non-linear rheological behavior of hard rock using triaxial rheological experiment. Int. J. Rock Mech. Min. Sci. 2017, 93, 66–75. [Google Scholar] [CrossRef]
- Xu, M.; Jin, D.; Song, E.; Shen, D. A rheological model to simulate the shear creep behavior of rockfills considering the influence of stress states. Acta Geotech. 2018, 13, 1313–1327. [Google Scholar] [CrossRef]
- Zhang, S.; Liu, W. The 3D Nonstationary Creep Constitutive Model of Sandstone Based on Fractional Order. Math. Probl. Eng. 2019, 2019, 1–12. [Google Scholar] [CrossRef]
- Yan, B.; Guo, Q.; Ren, F.; Cai, M. Modified Nishihara model and experimental verification of deep rock mass under the water-rock interaction. Int. J. Rock Mech. Min. Sci. 2020, 128, 104250. [Google Scholar] [CrossRef]
- Pu, S.; Zhu, Z.; Song, L.; Song, W.; Peng, Y. Fractional-order visco-elastoplastic constitutive model for rock under cyclic loading. Arab. J. Geosci. 2020, 13, 1–11. [Google Scholar] [CrossRef]
- Madaschi, A.; Gajo, A. A one-dimensional viscoelastic and viscoplastic constitutive approach to modeling the delayed behavior of clay and organic soils. Acta Geotech. 2017, 12, 827–847. [Google Scholar] [CrossRef]
- Kamoun, J.; Bouassida, M. Creep behavior of unsaturated cohesive soils subjected to various stress levels. Arab. J. Geosci. 2018, 11, 77. [Google Scholar] [CrossRef]
- Li, J.; Yang, Y. Creep behavior of unsaturated reticulate red clay under matric suction. KSCE J. Civ. Eng. 2017, 22, 582–587. [Google Scholar] [CrossRef]
- Liu, J.; Jing, H.; Meng, B.; Wang, L.; Yang, J.; You, Y.; Zhang, S. Fractional-order creep model for soft clay under true triaxial stress conditions. Arab. J. Geosci. 2020, 13, 1–13. [Google Scholar] [CrossRef]
- Oliveira, P.J.V.; Santos, S.L.; Correia, A.A.S.; Lemos, L.J.L. Numerical prediction of the creep behaviour of an embankment built on soft soils subjected to preloading. Comput. Geotech. 2019, 114, 103140. [Google Scholar] [CrossRef]
- Zhang, Q.; Leng, W.; Zhai, B.; Xu, F.; Dong, J.; Yang, Q. Evaluation of Critical Dynamic Stress and Accumulative Plastic Strain of an Unbound Granular Material Based on Cyclic Triaxial Tests. Materials 2021, 14, 5722. [Google Scholar] [CrossRef]
- Mu, R.; Huang, Z.H.; Pu, S.Y.; Hua, Y.Z.; Cheng, X. Accumulated deformation characteristics of undisturbed red clay under cyclic loading and dynamic constitutive relationship. Rock Soil Mech. 2020, 1–10. [Google Scholar] [CrossRef]
- Kilbas, A.; Srivastava, H.M.; Trujillo, J.J. Theory and Applications of Fractional Differential Equations; Elsevier: Amsterdam, The Netherlands, 2006. [Google Scholar]
- Wu, Q.; Huang, J.H. Fractional Calculus; Tsinghua University Press: Beijing, China, 2016. [Google Scholar]
- Wu, F.; Zhang, H.; Zou, Q.; Li, C.; Chen, J.; Gao, R. Viscoelastic-plastic damage creep model for salt rock based on fractional derivative theory. Mech. Mater. 2020, 150, 103600. [Google Scholar] [CrossRef]
- Scott Blair, G.W. The role of psychophysics in rheology. J. Colloid Sci. 1947, 2, 21–32. [Google Scholar] [CrossRef]
- Wu, F.; Liu, J.; Zou, Q.L.; Li, C.B.; Chen, J.; Gao, R.B. A triaxial creep model for salt rocks based on variable-order fractional derivative. Mech. Time-Depend. Mater. 2020, 25, 101–118. [Google Scholar] [CrossRef]
- Chen, B.-R.; Zhao, X.-J.; Feng, X.-T.; Zhao, H.-B.; Wang, S.-Y. Time-dependent damage constitutive model for the marble in the Jinping II hydropower station in China. Bull. Eng. Geol. Environ. 2013, 73, 499–515. [Google Scholar] [CrossRef]
- Liu, J.; Wu, F.; Zou, Q.; Chen, J.; Ren, S.; Zhang, C. A variable-order fractional derivative creep constitutive model of salt rock based on the damage effect. Geomech. Geophys. Geo-Energy Geo-Resour. 2021, 7, 1–16. [Google Scholar] [CrossRef]
- Xu, W.Y.; Yang, S.Q.; Xie, S.Y.; Shao, J.F.; Wang, Y.F. Investigation on triaxial rheological mechanical properties of greenschist specimen (II): Model analysis. Rock Soil Mech. 2005, 26, 693–698. [Google Scholar] [CrossRef]
- Pu, S.Y.; Rao, J.Y.; Yang, K.Q.; Huang, Z.H.; Li, Y.H.; Chen, Z.N.; Li, Q.; Liu, H.Q. Deformation characteristics of soil under cyclic loading. Rock Soil Mech. 2017, 38, 3261–3270. [Google Scholar] [CrossRef]
- Zang, M.; Kong, L.W.; Cao, Y. An improved model for cumulative deformations of clay subjected to cyclic loading. Rock Soil Mech. 2017, 38, 435–442. [Google Scholar] [CrossRef]
- Cao, Y. Study on Load Waveform Effect of Dynamic Characteristics and on Damage Properties of Structure Soft Soil. Ph.D Thesis, State Key Laboratory of Geomechanics and Engineering, Wuhan Institute of Geomechanics, Chinese Academy of Sciences, Wuhan, China, 2013. [Google Scholar]
- Zang, M.; Kong, L.W.; Guo, A.G. Effects of static deviatoric stress on dynamic characteristics of Zhanjiang structured clay. Rock Soil Mech. 2017, 38, 33–40. [Google Scholar] [CrossRef]
- Zhu, Y.H.; Liu, G.B.; Xie, Q.F.; Zheng, R.Y. Cumulative plastic strain model of soft clay considering temperature effect and its verification. China Earthq. Eng. J. 2019, 41, 901–907, 961. [Google Scholar] [CrossRef]
- Li, Y.F.; Nie, R.S.; Li, Y.J.; Leng, W.M.; Ruan, B. Cumulative plastic deformation of subgrade fine-grained soil under intermittent cyclic loading and its prediction model. Rock Soil Mech. 2021, 42, 1065–1077. [Google Scholar] [CrossRef]















| Time | ||
|---|---|---|
| … | … | … |
| Initial Stage | Steady Stage | Accelerating Stage | ||||||||
|---|---|---|---|---|---|---|---|---|---|---|
| 35 | 1642 | 0.418 | 10800 | 225 | 0.9497 | |||||
| 0.087 | 1013 | 225 | 0.9006 | |||||||
| 45 | 20950 | 0.354 | 693 | 210 | 0.9926 | |||||
| 0.092 | 149 | 210 | 0.9812 | |||||||
| 50 | 184 | 0.706 | 1931 | 210 | 640 | 0.9916 | ||||
| 0.254 | 106 | 210 | 640 | 0.9325 | ||||||
| 0.0022 | 42 | 210 | 640 | 0.9926 | ||||||
| 60 | 28050 | 0.620 | 519 | 160 | 0.9957 | |||||
| 0.0106 | 72 | 160 | 0.9722 | |||||||
| 70 | 0.0432 | 52 | 0.9391 | |||||||
Publisher’s Note: MDPI stays neutral with regard to jurisdictional claims in published maps and institutional affiliations. |
© 2022 by the authors. Licensee MDPI, Basel, Switzerland. This article is an open access article distributed under the terms and conditions of the Creative Commons Attribution (CC BY) license (https://creativecommons.org/licenses/by/4.0/).
Share and Cite
Zhang, B.-L.; Chen, K.-S.; Hu, X.; Zhang, K. A Variable-Order Dynamic Constitutive Model for Clay Based on the Fractional Calculus. Appl. Sci. 2022, 12, 6416. https://doi.org/10.3390/app12136416
Zhang B-L, Chen K-S, Hu X, Zhang K. A Variable-Order Dynamic Constitutive Model for Clay Based on the Fractional Calculus. Applied Sciences. 2022; 12(13):6416. https://doi.org/10.3390/app12136416
Chicago/Turabian StyleZhang, Bo-Lang, Kai-Sheng Chen, Xing Hu, and Kun Zhang. 2022. "A Variable-Order Dynamic Constitutive Model for Clay Based on the Fractional Calculus" Applied Sciences 12, no. 13: 6416. https://doi.org/10.3390/app12136416
APA StyleZhang, B.-L., Chen, K.-S., Hu, X., & Zhang, K. (2022). A Variable-Order Dynamic Constitutive Model for Clay Based on the Fractional Calculus. Applied Sciences, 12(13), 6416. https://doi.org/10.3390/app12136416

