A Calculation Method of Thermal Pore Water Pressure Considering Overconsolidation Effect for Saturated Clay
Abstract
:1. Introduction
2. Calculation Method of Thermal Pore Water Pressure with Different OCR
3. Validation of the Calculation Method
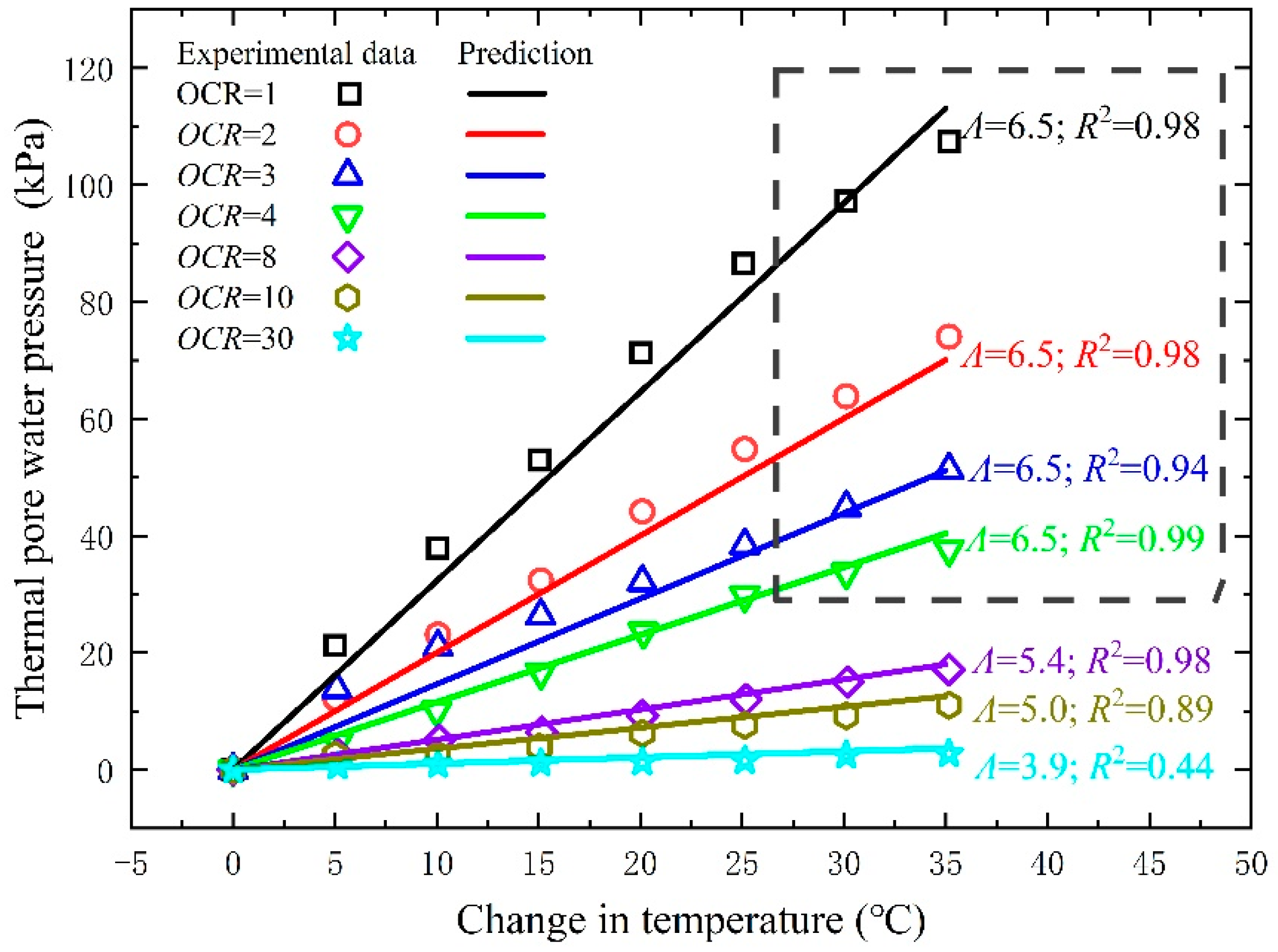
3.1. Comparison with the Experimental Data in Undrained Heating Test of Wang et al. (2017)
3.2. Comparison with the Experimental Data in Undrained Heating Test of Abuel-Naga et al. (2007)
4. Application of the Calculation Method
5. Discussion
6. Conclusions
- Based on the proposed calculation method, the critical threshold of OCR (4.3) for determining whether the value of Λ will vary with OCR is obtained. When the clay is in slightly overconsolidated state, i.e., 1 < OCR ≤ 4.3, the value of Λ is the same as that of normally consolidated clay. However, when the clay is in a highly overconsolidated state, i.e., OCR > 4.3, the value of Λ of overconsolidated clay is smaller than that of normally consolidated clay, and gradually decreases with the increase of OCR.
- The proposed calculation method can accurately predict the evolution of thermal pore water pressure under undrained conditions, and is supported by some undrained heating test results of overconsolidated saturated clay, which can provide a theoretical basis for the design of thermo-active structures.
- The effect of OCR on thermal pore water pressure is related to the heating rate. However, the calculation method proposed in this study does not consider the influence of heating rate. The follow-up work can explore the comprehensive effects of OCR and heating rate on the thermal pore water pressure under undrained conditions theoretically and experimentally.
Author Contributions
Funding
Informed Consent Statement
Data Availability Statement
Acknowledgments
Conflicts of Interest
References
- Abuel-Naga, H.M.; Bergado, D.T.; Ramana, G.V.; Grino, L. Experimental evaluation of engineering behavior of soft Bangkok clay under elevated temperature. J. Geotech. Geoenviron. Eng. 2006, 132, 902–910. [Google Scholar] [CrossRef]
- Monfared, M.; Sulem, J.; Delage, P.; Mohajerani, M. On the THM behaviour of a sheared Boom clay sample: Application to the behaviour and sealing properties of the EDZ. Eng. Geol. 2012, 124, 47–58. [Google Scholar] [CrossRef]
- Cheng, W.; Hong, P.Y.; Pereira, J.M.; Cui, Y.J.; Tang, A.M.; Chen, R. Thermo-elasto-plastic modeling of saturated clays under undrained conditions. Comput. Geotech. 2020, 125, 103688. [Google Scholar] [CrossRef]
- Abuel-Naga, H.M.; Lorenzo, G.A.; Bergado, D.T. Current state of knowledge on thermal consolidation using prefabricated vertical drains. Geotech. Eng. J. SEAGS AGSSEA 2013, 44, 132–141. [Google Scholar]
- Pothiraksanon, C.; Bergado, D.T.; Abuel-Naga, H.M. Full-scale embankment consolidation test using prefabricated vertical thermal drains. Soils Found. 2010, 50, 599–608. [Google Scholar] [CrossRef] [Green Version]
- Brochard, L.; Honorio, T. Thermo-poro-mechanics under adsorption applied to the anomalous thermal pressurization of water in undrained clays. Acta Geotech. 2021, 24, 2713–2727. [Google Scholar] [CrossRef]
- Li, H.; Kong, G.; Wen, L.; Yang, Q. Pore pressure and strength behaviors of reconstituted marine sediments involving thermal effects. Int. J. Geomech. 2021, 21, 06021008. [Google Scholar] [CrossRef]
- Campanella, R.G.; Mitchell, J.K. Influence of temperature variations on soil behavior. J. Soil Mech. Found. Div. 1968, 94, 709–734. [Google Scholar] [CrossRef]
- Ghaaowd, I.; Takai, A.; Katsumi, T.; Mccartney, J.S. Pore water pressure prediction for undrained heating of soils. Environ. Geotech. 2015, 4, 70–78. [Google Scholar] [CrossRef] [Green Version]
- Abuel-Naga, H.M.; Bergado, D.T.; Bouazza, A. Thermally induced volume change and excess pore water pressure of soft Bangkok clay. Eng. Geol. 2007, 89, 144–154. [Google Scholar] [CrossRef]
- Ghabezloo, S.; Sulem, J. Stress dependent thermal pressurization of a fluid-saturated rock. Rock Mech. Rock Eng. 2009, 42, 1. [Google Scholar] [CrossRef] [Green Version]
- Burghignoli, A.; Desideri, A.; Miliziano, S. A laboratory study on the thermomechanical behavior of clayey soils. Can. Geotech. J. 2000, 37, 764–780. [Google Scholar] [CrossRef]
- McCartney, J.S. Thermal volume change of unsaturated silt under different stress states and suction magnitudes. E3S Web Conf. EDP Sci. 2016, 9, 09009. [Google Scholar] [CrossRef] [Green Version]
- Bai, B.; Yang, G.C.; Li, T.; Yang, G.S. A thermodynamic constitutive model with temperature effect based on particle rearrangement for geomaterials. Mech. Mater. 2019, 139, 103180. [Google Scholar] [CrossRef]
- Bing, B.; Yan, W.; Dengyu, R.; Fan, B. The effective thermal conductivity of unsaturated porous media deduced by pore-scale SPH simulation. Front. Earth Sci. 2022, 10, 943853. [Google Scholar]
- Bai, B.; Zhou, R.; Cai, G.Q.; Hu, W.; Yang, G.C. Coupled thermo-hydro-mechanical mechanism in view of the soil particle rearrangement of granular thermodynamics. Comput. Geotech. 2021, 137, 104272. [Google Scholar] [CrossRef]
- Liu, Q.; Deng, Y.B.; Mao, W.Y.; Deng, Y.B. The influence of over consolidation ratio on thermal consolidation properties of clay. J. Disaster. Prev. Mitigation. Eng. 2019, 39, 607–614. [Google Scholar]
- Cekerevac, C.; Laloui, L. Experimental study of thermal effects on the mechanical behaviour of a clay. Int. J. Numer. Anal. Methods Geomech. 2004, 28, 209–228. [Google Scholar] [CrossRef]
- Di Donna, A.; Laloui, L. Response of soil subjected to thermal cyclic loading: Experimental and constitutive study. Eng. Geol. 2015, 190, 65–76. [Google Scholar] [CrossRef]
- Houhou, R.; Sutman, M.; Sadek, S.; Laloui, L. Microstructure observations in compacted clays subjected to thermal loading. Eng. Geol. 2021, 287, 105928. [Google Scholar] [CrossRef]
- Baldi, G.; Hueckel, T.; Pellegrini, R. Thermal volume changes of the mineral-water system in low-porosity clay soils. Can. Geotech. J. 1988, 25, 807–825. [Google Scholar] [CrossRef]
- Towhata, I.; Kuntiwattanakul, P.; Seko, I.; Ohishi, K. Volume change of clays induced by heating as observed in consolidation tests. Soils Found. 1993, 33, 170–183. [Google Scholar] [CrossRef] [Green Version]
- Sultan, N.; Delage, P.; Cui, Y.J. Temperature effects on the volume change behavior of boom clay. Eng. Geol. 2002, 64, 135–145. [Google Scholar] [CrossRef]
- Hueckel, T.; Borsetto, M. Thermoplasticity of saturated soils and shales: Constitutive equations. J. Geotech. Eng. 1990, 116, 1765–1777. [Google Scholar] [CrossRef]
- Yao, Y.P.; Zhou, A.N. Non-isothermal unified hardening model: A thermo-elasto-plastic model for clays. Geotech. 2013, 63, 1328–1345. [Google Scholar] [CrossRef]
- Wang, K.J.; Hong, Y.; Wang, L.Z.; Li, L.L. Effect of heating on the excess pore water pressure of clay under undrained condition. Chin. J. Rock Mech. Eng. 2017, 36, 2288–2296. [Google Scholar]
- Takai, A.; Ghaaowd, I.; McCartney, J.S.; Katsumi, T. Impact of drainage conditions on the thermal volume change of soft clay. Geo-Chicago 2016, 2016, 32–41. [Google Scholar]
- Uchaipichat, A.; Khalili, N. Experimental investigation of thermo-hydro-mechanical behaviour of an unsaturated silt. Geotech. 2009, 59, 339–353. [Google Scholar] [CrossRef]
- Schofield, A.; Wroth, P. Critical State Soil Mechanics; McGraw-Hill: London, UK, 1973. [Google Scholar]
- Lou, X.M.; Li, D.N.; Yang, M. Statistical analysis for rebound deformation parameters of silty clay at bottom of deep excavation in Shanghai. J. Tongji Univ. 2012, 40, 535–540. [Google Scholar]
- He, P.; Wang, W.D.; Xu, Z.H. Empirical correlations of compression index and swelling index for Shanghai clay. Rock. Soil. Mech. 2018, 39, 3773–3782. [Google Scholar]
- Zhou, K.; Sun, D.A. Experiments on compression characteristics of remoulded soft clay in shanghai. J. Shanghai Univ. 2009, 15, 99–104. [Google Scholar]
- Shi, W.; Wang, J.; Guo, L.; Hu, H.T.; Jin, J.Q.; Jin, F.Y. Undrained cyclic behavior of overconsolidated marine soft clay under a traffic-load-induced stress path. Mar Georesour. Geotechnol. 2018, 36, 163–172. [Google Scholar] [CrossRef]
- Wang, J.; Zhuang, H.; Guo, L.; Wu, T.Y.; Yuan, Z.H.; Sun, H.L. Secondary compression behavior of over-consolidated soft clay after surcharge preloading. Acta Geotech. 2022, 17, 1009–1016. [Google Scholar] [CrossRef]




| θ (%) | Sr | Gs | IP | λ | κ | n0 |
|---|---|---|---|---|---|---|
| 59–61 | 98 | 2.72 | 27 | 0.17 | 0.026 | 0.63 |
| θ (%) | Sr | Gs | IP | λ | n0 |
|---|---|---|---|---|---|
| 90–95 | 98 | 2.68 | 60 | 0.46 | 0.63 |
Publisher’s Note: MDPI stays neutral with regard to jurisdictional claims in published maps and institutional affiliations. |
© 2022 by the authors. Licensee MDPI, Basel, Switzerland. This article is an open access article distributed under the terms and conditions of the Creative Commons Attribution (CC BY) license (https://creativecommons.org/licenses/by/4.0/).
Share and Cite
Tian, G.; Zhang, Z. A Calculation Method of Thermal Pore Water Pressure Considering Overconsolidation Effect for Saturated Clay. Appl. Sci. 2022, 12, 6325. https://doi.org/10.3390/app12136325
Tian G, Zhang Z. A Calculation Method of Thermal Pore Water Pressure Considering Overconsolidation Effect for Saturated Clay. Applied Sciences. 2022; 12(13):6325. https://doi.org/10.3390/app12136325
Chicago/Turabian StyleTian, Gailei, and Zhihong Zhang. 2022. "A Calculation Method of Thermal Pore Water Pressure Considering Overconsolidation Effect for Saturated Clay" Applied Sciences 12, no. 13: 6325. https://doi.org/10.3390/app12136325
APA StyleTian, G., & Zhang, Z. (2022). A Calculation Method of Thermal Pore Water Pressure Considering Overconsolidation Effect for Saturated Clay. Applied Sciences, 12(13), 6325. https://doi.org/10.3390/app12136325
