Investigation of Wind-Loads Acting on Low-Aspect-Ratio Cylindrical Structures Based on a Wind Tunnel Test
Abstract
:1. Introduction
2. Wind Tunnel Test
2.1. Experiment Setup
2.2. Details of Test Models
2.3. Data Processing Method
3. Results and Discussion
3.1. Mean Pressure Coefficient
3.2. Base Pressure Coefficient
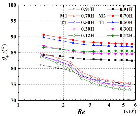
3.3. Positive Pressure Range
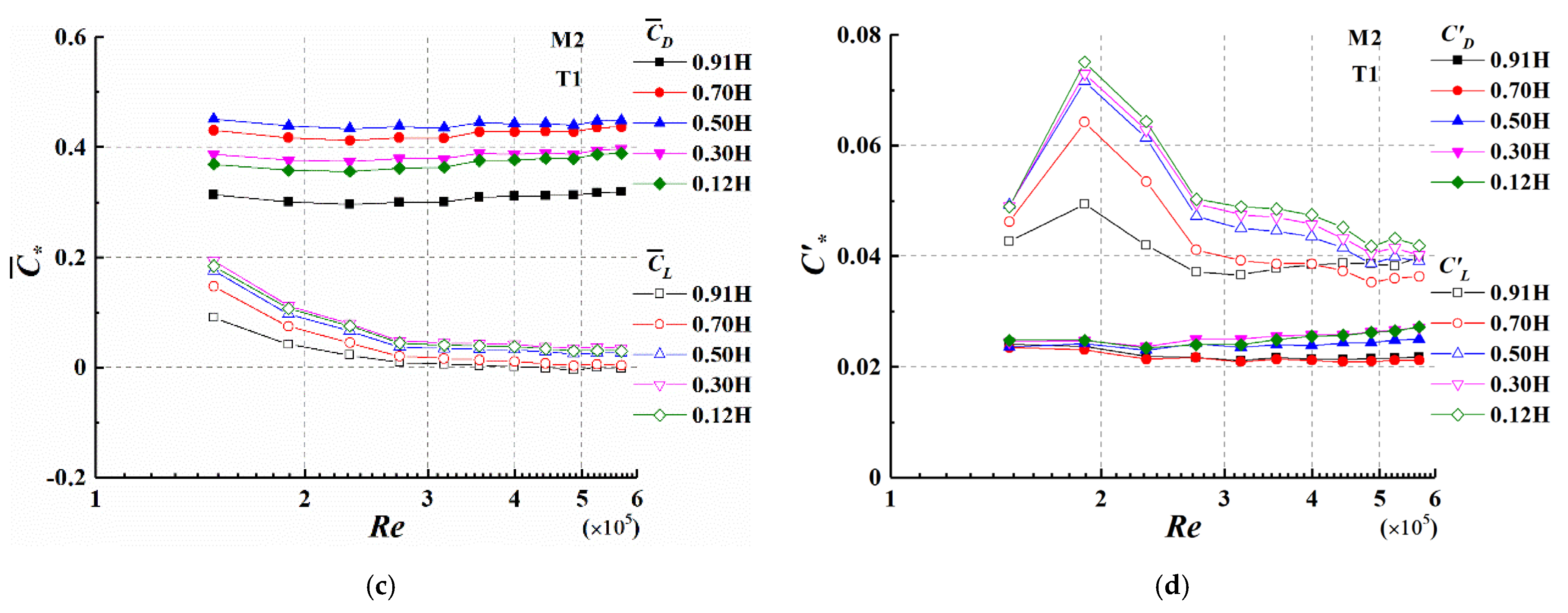
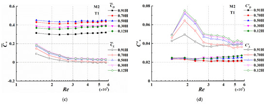
3.4. Local Force Coefficient
3.5. Power Spectrum
3.6. Base Force Coefficient
4. Conclusions
- (1)
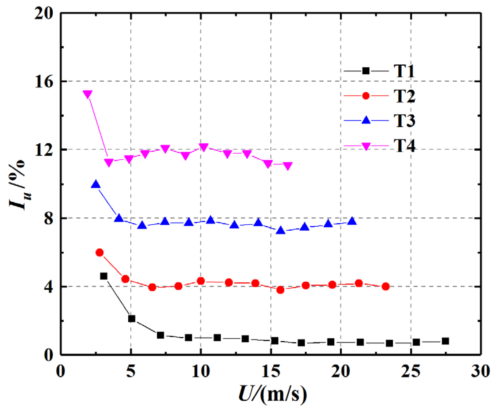
- The cylinder with AR = 0.875 has a significant Re effect, and the distribution of the circular pressure coefficient at different Re shows the process from sub-criticality to super-criticality. However, due to the stronger free end effect, the Re effect for AR = 0.323 is not significant, and the value of the circular pressure coefficient in the negative pressure range is smaller than that of AR = 0.875. In addition, increasing the incoming turbulence causes the wind pressure distribution to be at a higher Re state, that is, the supercritical regime is reached at a smaller Re.
- (2)
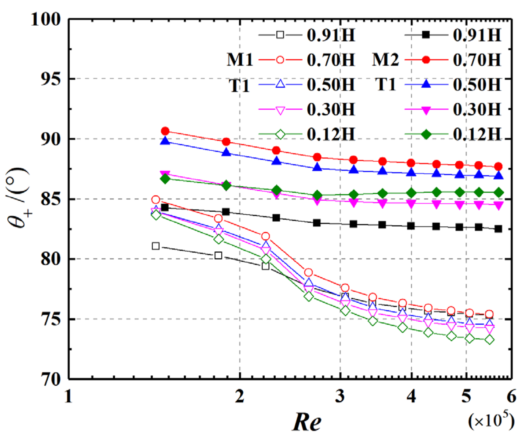
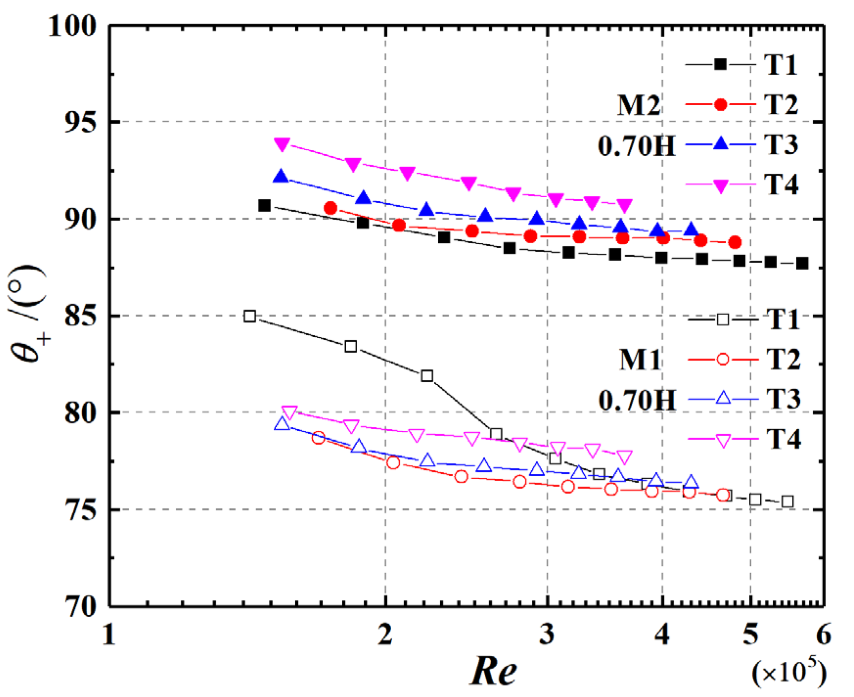
- Aspect ratio is the main factor affecting the value of the base pressure coefficient and positive pressure range. The base pressure coefficient increases with AR, and has a Re effect for AR = 0.875. The positive pressure range decreases with AR and Re, and has large values in the middle-upper part of cylinders. The variation of the base pressure coefficient and positive pressure range also tends to be at a higher Re state as turbulence increases.
- (3)
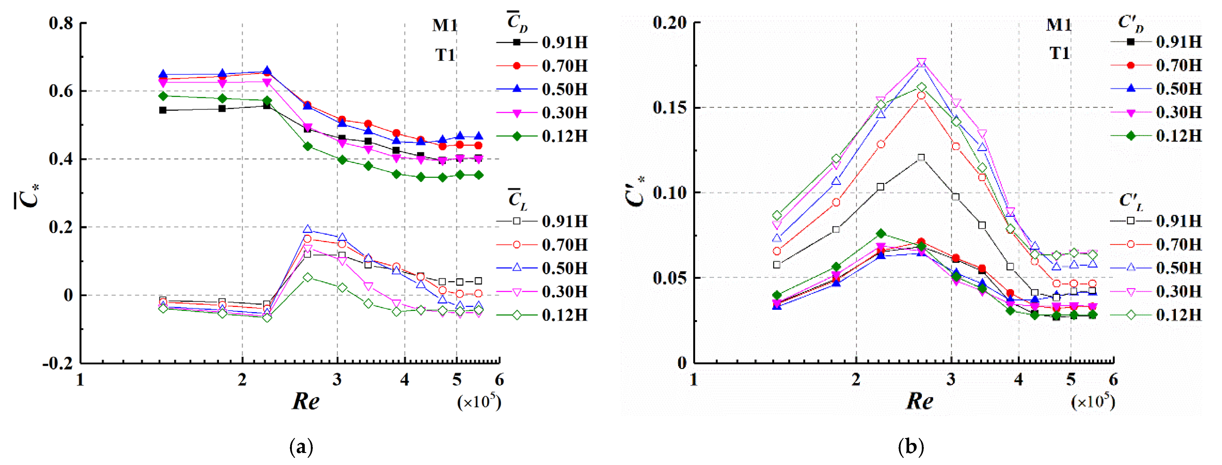
- In the transition from sub-criticality to criticality, the local force coefficients for AR = 0.875 vary substantially. The mean value of the drag coefficient decreases in the transition, while the lift coefficient reaches its maximum at Re = 2.6 × 105, corresponding to the separation bubble appearing on one side of the cylinder. The fluctuating value of the drag and lift coefficient also reaches its maximum at Re = 2.6 × 105. However, for AR = 0.323, only the lift coefficient has a Re effect at Re ≤ 2.7 × 105. Due to the influence of the free end and turbulence, which may suppress vortex shedding, the power spectrum of the lift coefficient for two cylinders mainly shows broad spectral peaks with Re and turbulence. In addition, when turbulence is greater than 4.0%, turbulence and Re have little effect on the mean base force coefficient of low-aspect-ratio cylinders.
Author Contributions
Funding
Institutional Review Board Statement
Informed Consent Statement
Data Availability Statement
Nomenclature
| Re | Reynolds number | ρ | air density (kg/m3) | 
| AR | aspect ratio | St | Strouhal number | 
| ARcr | critical aspect ratio | σL2 | variance of local lift coefficient | 
| H | height of cylinders (mm) | θ+ | positive pressure range (°) | 
| D | diameter of cylinders (mm) | Cp,i(t) | wind pressure coefficient | 
| h | height above the wind tunnel ground (mm) | Pi(t) | measured wind pressure (Pa) | 
| Iu | turbulence intensity (%) | mean wind pressure coefficient | |
| P∞ | static pressure (Pa) | S(f) | power spectral density | 
| VH | wind speed at the top of models (mm) | base pressure coefficient | |
| Hk | tributary height (mm) | FD, FL | drag and lift force (N) | 
| U | mean wind speed (m/s) | CD,k(t), CL,k(t) | local force coefficient | 
| Ur | mean wind speed at reference height (m/s) | CJD(t), CJL(t) | base force coefficient | 
| θ | angle between taps and the incoming flow (°) | , | mean local force coefficient | 
| f | frequency (Hz) | , | fluctuating local force coefficient | 
| N | number of pressure taps at each layer | , | mean base force coefficient | 
| M | number of pressure tap layers | , | fluctuating base force coefficient | 
References
- Sumner, D. Flow above the free end of a surface-mounted finite-height circular cylinder: A review. J. Fluids Struct. 2013, 43, 41–63. [Google Scholar] [CrossRef]
- Demartino, C.; Ricciardelli, F. Aerodynamics of nominally circular cylinders: A review of experimental results for Civil Engineering applications. Eng. Struct. 2017, 137, 76–114. [Google Scholar] [CrossRef]
- Derakhshandeh, J.F.; Alam, M.M. A review of bluff body wakes. Ocean Eng. 2019, 182, 475–488. [Google Scholar] [CrossRef]
- Bearman, P.W. On vortex shedding from a circular cylinder in the critical Reynolds number régime. J. Fluid Mech. 1969, 37, 577–585. [Google Scholar] [CrossRef]
- Achenbach, E.; Heinecke, E. On vortex shedding from smooth and rough cylinders in the range of Reynolds numbers 6 × 103 to 5 × 106. J. Fluid Mech. 1981, 109, 239–251. [Google Scholar] [CrossRef]
- Farell, C.; Blessmann, J. On critical flow around smooth circular cylinders. J. Fluid Mech. 1983, 136, 375–391. [Google Scholar] [CrossRef]
- Agrwal, N.; Dutta, S.; Gandhi, B.K. Experimental investigation of flow field behind triangular prisms at intermediate Reynolds number with different apex angles. Exp. Therm. Fluid Sci. 2016, 72, 97–111. [Google Scholar] [CrossRef]
- Yao, J.F.; Lou, W.J.; Shen, G.H.; Guo, Y.; Xing, Y.L. Influence of inflow turbulence on the flow characteristics around a circular cylinder. Appl. Sci. 2019, 9, 3595. [Google Scholar] [CrossRef] [Green Version]
- Kravchenko, A.G.; Moin, P. Numerical studies of flow over a circular cylinder at Re-D = 3900. Phys. Fluids 2000, 12, 403–417. [Google Scholar] [CrossRef]
- Mittal, S. Computation of three-dimensional flows past circular cylinder of low aspect ratio. Phys. Fluids 2001, 13, 177–191. [Google Scholar] [CrossRef]
- Inoue, O.; Hatakeyama, N. Sound generation by a two-dimensional circular cylinder in a uniform flow. J. Fluid Mech. 2002, 471, 285–314. [Google Scholar] [CrossRef]
- Inoue, O.; Mori, M.; Hatakeyama, N. Aeolian tones radiated from flow past two square cylinders in tandem. Phys. Fluids 2006, 18, 046101. [Google Scholar] [CrossRef]
- Dawi, A.H.; Akkermans, R.A.D. Direct and integral noise computation of two square cylinders in tandem arrangement. J. Sound Vib. 2018, 436, 138–154. [Google Scholar] [CrossRef]
- Abbasi, S. Effects of blowing location on aeroacoustics of the flow over a circular cylinder. J. Appl. Fluid Mech. 2022, 15, 231–243. [Google Scholar]
- Akkermans, R.A.D.; Cieslik, A.R.; Kamp, L.P.J.; Trieling, R.R.; Clercx, H.J.H.; van Heijst, G.J.F. The three-dimensional structure of an electromagnetically generated dipolar vortex in a shallow fluid layer. Phys. Fluids 2008, 20, 116601. [Google Scholar] [CrossRef] [Green Version]
- Cieslik, A.R.; Akkermans, R.A.D.; Kamp, L.P.J.; Clercx, H.J.H.; van Heijst, G.J.F. Dipole-wall collision in a shallow fluid. Eur. J. Mech. B Fluid 2009, 28, 397–404. [Google Scholar] [CrossRef]
- Norberg, C. An experimental investigation of the flow around a circular cylinder: Influence of aspect ratio. J. Fluid Mech. 1994, 258, 287–316. [Google Scholar] [CrossRef]
- Uematsu, Y.; Yamada, M. Effects of aspect ratio and surface-roughness on the time-averaged aerodynamic forces on cantilevered circular-cylinders at high Reynolds numbers. J. Wind Eng. Ind. Aerod. 1995, 55–55, 301–312. [Google Scholar] [CrossRef]
- Wang, H.F.; Peng, S.; Zhou, Y.; He, X.H. Transition along a finite-length cylinder in the presence of a thin boundary layer. Exp. Fluids 2016, 57, 57–66. [Google Scholar] [CrossRef]
- Frohlich, J.; Rodi, W. LES of the flow around a circular cylinder of finite height. Int. J. Heat Fluid Flow 2004, 25, 537–548. [Google Scholar] [CrossRef]
- Pattenden, R.J.; Bressloff, N.W.; Turnock, S.R.; Zhang, X. Unsteady simulations of the flow around a short surface-mounted cylinder. Int. J. Numer. Meth. Fluids 2007, 53, 895–914. [Google Scholar] [CrossRef]
- Krajnovic, S. Flow around a tall finite cylinder explored by large eddy simulation. J. Fluid. Mech. 2011, 676, 294–317. [Google Scholar] [CrossRef] [Green Version]
- Sakamoto, H.; Oiwake, S. Fluctuating forces on a rectangular prism and a circular cylinder placed vertically in a turbulent boundary layer. J. Fluid Eng. T ASME 1984, 106, 160–166. [Google Scholar] [CrossRef]
- Sumner, D.; Heseltine, J.L.; Dansereau, O.J.P. Wake structure of a finite circular cylinder of small aspect ratio. Exp. Fluids 2004, 37, 720–730. [Google Scholar] [CrossRef]
- Beitel, A.; Heng, H.; Sumner, D. The effect of aspect ratio on the aerodynamic forces and bending moment for a surface-mounted finite-height cylinder. J. Wind Eng. Ind. Aerod. 2019, 186, 204–213. [Google Scholar] [CrossRef]
- Afgan, I.; Moulinec, C.; Prosser, R.; Laurence, D. Large eddy simulation of turbulent flow for wall mounted cantilever cylinders of aspect ratio 6 and 10. Int. J. Heat Fluid Flow 2007, 28, 561–574. [Google Scholar] [CrossRef]
- Palau-Salvador, G.; Stoesser, T.; Frohlich, J.; Kappler, M.; Rodi, W. Large eddy simulations and experiments of flow around finite-height cylinders. Flow Turbul. Combust. 2010, 84, 239–275. [Google Scholar] [CrossRef]
- Sabransky, I.J.; Melbourne, W.H. Design pressure distribution on circular silos with conical roofs. J. Wind Eng. Ind. Aerod. 1987, 26, 65–84. [Google Scholar] [CrossRef]
- Portela, G.; Godoy, L.A. Wind pressures and buckling of cylindrical steel tanks with a conical roof. J. Constr. Steel Res. 2005, 61, 786–807. [Google Scholar] [CrossRef]
- Portela, G.; Godoy, L.A. Wind pressure and buckling of grouped steel tanks. Wind Struct. 2007, 10, 23–44. [Google Scholar] [CrossRef]
- Tsutsui, T.; Igarashi, T.; Nakamura, H. Fluid flow and heat transfer around a cylindrical protuberance mounted on a flat plate boundary layer. JSME Int. J. B Fluid T 2000, 43, 279–287. [Google Scholar] [CrossRef] [Green Version]
- Tsutsui, T.; Kawahara, M. Heat transfer around a cylindrical protuberance mounted in a plate turbulent boundary layer. J. Heat Trans. T ASME 2006, 128, 153–161. [Google Scholar] [CrossRef]
- Tsutsui, T. Flow around a cylindrical structure mounted in a plane turbulent boundary layer. J. Wind Eng. Ind. Aerod. 2012, 104, 239–247. [Google Scholar] [CrossRef]
- Gonçalves, R.T.; Franzini, G.R.; Rosetti, G.F.; Meneghini, J.R.; Fujarra, A.L.C. Flow around circular cylinders with very low aspect ratio. J. Fluid Struct. 2015, 54, 122–141. [Google Scholar] [CrossRef]
- Cunningham, P.; Linn, R.R.; Koo, E.; Wilson, C.J. Large-eddy simulations of air flow and turbulence within and around low-aspect-ratio cylindrical open-top chambers. J. Appl. Meteorol. Clim. 2013, 52, 1716–1737. [Google Scholar] [CrossRef]
- Rinoshika, H.; Rinoshika, A. Effect of a horizontal hole on flow structures around a wall-mounted low-aspect-ratio cylinder. Int. J. Heat Fluid Flow 2018, 71, 80–94. [Google Scholar] [CrossRef]
- Zhai, X.X. Experimental Simulation of the Wind Field in Atmospheric Boundary Layer Wind Tunnel; Beijing Jiaotong University: Beijing, China, 2011. (In Chinese) [Google Scholar]
- Park, C.W.; Lee, S.J. Free end effects on the near wake flow structure behind a finite circular cylinder. J. Wind Eng. Ind. Aerod. 2000, 88, 231–246. [Google Scholar] [CrossRef]
- Zdravkovich, M.M. Flow Around Circular Cylinders, Volume 1: Fundamentals; Oxford University Press: Oxford, UK, 1997. [Google Scholar]
- Achenbach, E. Distribution of local pressure and skin friction around a circular cylinder in cross-flow up to Re = 5 × 106. J. Fluid Mech. 1968, 34, 625–639. [Google Scholar] [CrossRef]
- Blackburn, H.M.; Melbourne, W.H. The effect of free-stream turbulence on sectional lift forces on a circular cylinder. J. Fluid Mech. 1996, 306, 267–292. [Google Scholar] [CrossRef] [Green Version]
- Uematsu, Y.; Uchiyama, K. Deflection and buckling behavior of thin, circular cylindrical-shells under wind loads. J. Wind Eng. Ind. Aerod. 1985, 18, 245–261. [Google Scholar] [CrossRef]
- Uernatsu, Y.; Yasunaga, J.; Koo, C. Design wind loads for open-topped storage tanks in various arrangements. J. Wind Eng. Ind. Aerod. 2015, 138, 77–86. [Google Scholar]
- Zhao, Y.; Cao, Q.S.; Su, L. Buckling design of large circular steel silos subject to wind pressure. Thin Walled Struct. 2013, 73, 337–349. [Google Scholar] [CrossRef]
- Cao, Q.S.; Zhao, Y.; Zhang, R. Wind induced buckling of large circular steel silos with various slenderness. Thin Walled Struct. 2018, 130, 101–113. [Google Scholar] [CrossRef]
- Kareem, A.; Cheng, C.M.; Lu, P.C. Pressure and force fluctuations on isolated circular cylinders of finite height in boundary layer flows. J. Fluids Struct. 1989, 3, 481–508. [Google Scholar] [CrossRef]
- Esfeh, M.K.; Sohankar, A.; Shirani, E. Influence of rounding corners on the wake of a finite-length cylinder: An experimental study. Int. J. Heat Fluid Flow 2021, 91, 108854. [Google Scholar] [CrossRef]
- Norberg, C. Interaction between freestream turbulence and vortex shedding for a single tube in cross-flow. J. Wind Eng. Ind. Aerod 1986, 23, 501–514. [Google Scholar] [CrossRef]

















| Publisher’s Note: MDPI stays neutral with regard to jurisdictional claims in published maps and institutional affiliations. | 
© 2022 by the authors. Licensee MDPI, Basel, Switzerland. This article is an open access article distributed under the terms and conditions of the Creative Commons Attribution (CC BY) license (https://creativecommons.org/licenses/by/4.0/).
Share and Cite
Han, Z.; Li, B.; Tian, Y.; Xue, M.; Shao, S. Investigation of Wind-Loads Acting on Low-Aspect-Ratio Cylindrical Structures Based on a Wind Tunnel Test. Appl. Sci. 2022, 12, 5891. https://doi.org/10.3390/app12125891
Han Z, Li B, Tian Y, Xue M, Shao S. Investigation of Wind-Loads Acting on Low-Aspect-Ratio Cylindrical Structures Based on a Wind Tunnel Test. Applied Sciences. 2022; 12(12):5891. https://doi.org/10.3390/app12125891
Chicago/Turabian StyleHan, Zhen, Bo Li, Yuji Tian, Meimei Xue, and Shuai Shao. 2022. "Investigation of Wind-Loads Acting on Low-Aspect-Ratio Cylindrical Structures Based on a Wind Tunnel Test" Applied Sciences 12, no. 12: 5891. https://doi.org/10.3390/app12125891
APA StyleHan, Z., Li, B., Tian, Y., Xue, M., & Shao, S. (2022). Investigation of Wind-Loads Acting on Low-Aspect-Ratio Cylindrical Structures Based on a Wind Tunnel Test. Applied Sciences, 12(12), 5891. https://doi.org/10.3390/app12125891
 
         
                                                
