Sign in to use this feature.

Years

Between: -

Subjects

remove_circle_outline
remove_circle_outline
remove_circle_outline
remove_circle_outline
remove_circle_outline
remove_circle_outline
remove_circle_outline
remove_circle_outline
remove_circle_outline

Journals

remove_circle_outline
remove_circle_outline
remove_circle_outline
remove_circle_outline
remove_circle_outline
remove_circle_outline
remove_circle_outline
remove_circle_outline
remove_circle_outline
remove_circle_outline
remove_circle_outline
remove_circle_outline
remove_circle_outline
remove_circle_outline
remove_circle_outline
remove_circle_outline

Article Types

Countries / Regions

remove_circle_outline
remove_circle_outline
remove_circle_outline
remove_circle_outline
remove_circle_outline
remove_circle_outline

Search Results (4,489)

Search Parameters:
Keywords = turbulence flow

Order results
Result details
Results per page
Select all
Export citation of selected articles as:
20 pages, 1691 KB  
Article
On the Tantrawy Technique for Analyzing Fractional Kuramoto–Sivashinsky-Type Equations and Modeling Shock Waves in Plasmas and Fluids—Part (I), Planar Case
by Samir A. El-Tantawy, Alvaro H. Salas, Wedad Albalawi, Rania A. Alharbey and Ashwag A. Alharby
Fractal Fract. 2026, 10(2), 105; https://doi.org/10.3390/fractalfract10020105 (registering DOI) - 3 Feb 2026
Abstract
The Kuramoto–Sivashinsky (KS) equation and its fractional generalizations (FKSs) arise as canonical models for a wide class of nonlinear dissipative–dispersive systems, including thin-film flows, combustion fronts, drift–wave turbulence in plasmas, and chemically reacting media, where shock-like and strongly localized structures play a central [...] Read more.
The Kuramoto–Sivashinsky (KS) equation and its fractional generalizations (FKSs) arise as canonical models for a wide class of nonlinear dissipative–dispersive systems, including thin-film flows, combustion fronts, drift–wave turbulence in plasmas, and chemically reacting media, where shock-like and strongly localized structures play a central role in the dynamics. Despite their apparent simplicity, KS-type models become analytically intractable once higher-order dissipation, geometric effects, and memory (fractional) operators are incorporated, and standard perturbative or transform-based schemes often lead to cumbersome recursive structures, slow convergence, or severe restrictions on the initial data. In this work, a novel direct approximation procedure, referred to as the Tantawy Technique (TT), is developed and implemented to solve and analyze planar fractional KS-type equations and their Burgers-type reductions in a systematic manner. The central difficulty is to construct, for a given physically motivated initial profile, a rapidly convergent series in fractional time that remains stable for a broad range of the fractional order and transport coefficients, while still retaining a clear link to the underlying shock-wave physics. To overcome this, the TT combines (i) a Tanh-based exact shock solution of the planar integer-order KS equation, obtained first as a reference via the standard Tanh method, with (ii) a carefully designed fractional-time ansatz in powers of tρ, where the spatial coefficients are determined recursively from the governing equation in the Caputo sense. This construction yields closed-form expressions for the first few terms in the approximation hierarchy and allows one to monitor convergence through residual and absolute error measures. Full article
Show Figures

Figure 1

16 pages, 2836 KB  
Article
Experimental Study on the Influence of Sand Dune Morphology on Near-Bed Flow Structure
by Shan Li, Zhongwu Jin and Xiaohu Guo
Water 2026, 18(3), 385; https://doi.org/10.3390/w18030385 - 2 Feb 2026
Abstract
Riverbed topography in natural rivers commonly features sand dunes, whose morphological variations can alter the turbulent flow structure near the bed and thereby affect processes of channel scour, deposition, and sediment transport. In this study, a series of flume experiments was conducted using [...] Read more.
Riverbed topography in natural rivers commonly features sand dunes, whose morphological variations can alter the turbulent flow structure near the bed and thereby affect processes of channel scour, deposition, and sediment transport. In this study, a series of flume experiments was conducted using an acoustic Doppler velocimeter (ADV) to simulate fixed bedforms of different dune scales (ratio of wavelength to flow depth, λ/h) in a laboratory flume. Velocity measurements were taken along the water depth at the dune crest and trough for each test case. The near-bed distributions of mean flow velocity, Reynolds stress, turbulent kinetic energy (TKE), and turbulence intensity were obtained at the crest and trough under three flow conditions, allowing analysis of the vertical decay of turbulence intensity at different locations on the dune. The results show that the dune steepness (Ψ, defined as dune height over wavelength) is a key parameter controlling the near-bed flow structure. As Ψ increases, the near-bed velocity gradient, Reynolds stress, TKE, and peak turbulence intensity all increase significantly, with the peak positions shifting closer to the bed. The trough region, due to flow separation and vortex shedding, exhibits substantially higher values of all turbulence-related parameters than the crest, making it the primary zone of energy dissipation and turbulence production. This study provides experimental evidence and theoretical reference for understanding the mechanism by which sand dune morphology influences flow structure, and it offers insight for predicting riverbed evolution. Full article
(This article belongs to the Section Water Erosion and Sediment Transport)
Show Figures

Figure 1

19 pages, 9452 KB  
Article
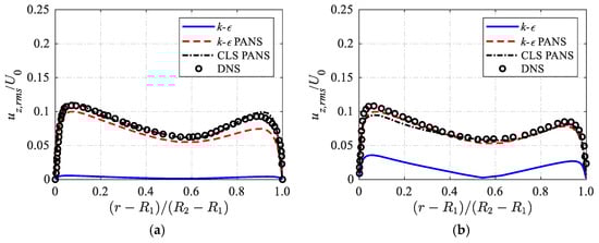
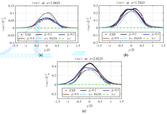
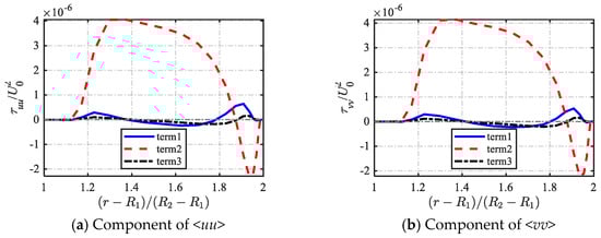
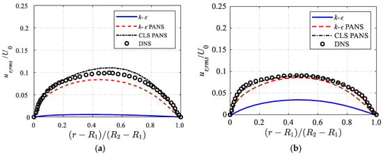
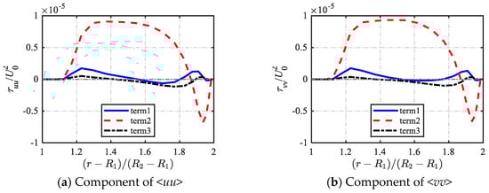
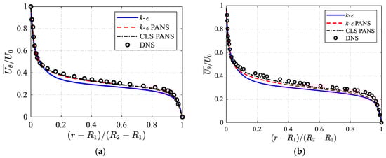
Numerical Validation of a New Nonlinear Partially Averaged Navier–Stokes Model for Simulating Curved Flows
by Benqing Liu, Guoliang Zhai, Xinyu Zhang, Li Cheng and Jiaxing Lu
Machines 2026, 14(2), 167; https://doi.org/10.3390/machines14020167 - 2 Feb 2026
Abstract
To address the insufficient near-wall prediction capability of the traditional Partially Averaged Navier–Stokes (PANS) model in simulating curvature flows, a new nonlinear PANS model with near-wall correction was developed in this study. The model, referred to as the CLS PANS model, is constructed [...] Read more.
To address the insufficient near-wall prediction capability of the traditional Partially Averaged Navier–Stokes (PANS) model in simulating curvature flows, a new nonlinear PANS model with near-wall correction was developed in this study. The model, referred to as the CLS PANS model, is constructed based on Craft’s nonlinear stress formulation and incorporates additional dissipation source and length-scale correction terms to enhance accuracy in curved, rotating, and separated flow fields. To evaluate its applicability and reliability, the new nonlinear PANS model was applied to three representative cases: Taylor–Couette flow, flow past a circular cylinder, and internal flow in a centrifugal pump. Numerical results were systematically compared with experimental data, Direct Numerical Simulation (DNS) results, and results from conventional Reynolds-Averaged Navier–Stokes and k-ε PANS models. The results show that the new nonlinear PANS model can accurately predict complex flow structures such as Taylor vortices and herringbone streaks with lower computational cost, demonstrating improved scale-resolving capability and near-wall performance. For flow past a circular cylinder, the predicted drag coefficient, Strouhal number, and velocity distribution in the wake agree well with experiments. In the centrifugal pump case, the model effectively captured the low-speed and separated flow regions near the blade pressure surfaces, yielding results consistent with experimental observations. Overall, the new nonlinear PANS model achieves a favorable balance between accuracy and efficiency and exhibits strong potential for simulating curvature- and rotation-dominated turbulent flows. Full article
Show Figures

Figure 1

31 pages, 4343 KB  
Systematic Review
Vehicle Aerodynamic Noise: A Systematic Review of Mechanisms, Simulation Methods, and Bio-Inspired Mitigation Strategies
by Tao Zou, Yifeng Fu and Pan Cao
Biomimetics 2026, 11(2), 99; https://doi.org/10.3390/biomimetics11020099 (registering DOI) - 2 Feb 2026
Abstract
With the electrification of automotive powertrains, aerodynamic noise has emerged as the primary factor affecting vehicle comfort. This systematic review, adhering to PRISMA 2020 guidelines, bridges the gap between biological fluid mechanics and automotive engineering by synthesizing recent advances in aerodynamic mechanisms and [...] Read more.
With the electrification of automotive powertrains, aerodynamic noise has emerged as the primary factor affecting vehicle comfort. This systematic review, adhering to PRISMA 2020 guidelines, bridges the gap between biological fluid mechanics and automotive engineering by synthesizing recent advances in aerodynamic mechanisms and bionic control strategies. Based on a comprehensive search of Web of Science, ScienceDirect, SAE Mobilus, and Google Scholar for the literature published between 2016 and 2025, 90 eligible studies were analyzed to provide a rigorous evidence-based synthesis. The review details complex flow phenomena, such as turbulent separation and vortex shedding across key regions like A-pillars and mirrors, drawing parallels to bio-inspired fluid–structure interactions. Numerical prediction methods, including large eddy simulation (LES), detached eddy simulation (DES), and lattice boltzmann method (LBM), are critically examined for their efficacy in resolving both conventional and bionic flow structures. A significant focus is placed on bio-inspired mitigation technologies, where quantitative findings demonstrate substantial noise suppression: specifically, the reviewed data shows that bionic riblet surfaces on tires can reduce noise levels by up to 5.18 dB, while beetle-head-inspired protuberances on exterior mirrors can achieve reductions of up to 10 dB. Finally, this work suggests future research directions in integrated fluid–acoustic–structural simulation frameworks and self-adaptive bionic systems, providing a robust reference for developing high-performance, low-noise vehicles inspired by natural organisms. Full article
(This article belongs to the Special Issue Advances in Computational Methods for Biomechanics and Biomimetics)
Show Figures

Figure 1

16 pages, 6330 KB  
Article
Convergent Annular Thermoelectric Generator with Fish-Fin-like Heat Exchange
by Ning Wang, Zirui Zhang, Jiahao Li, Jianxiang Cheng, Hongzhi Jia, Bo Dai and Dawei Zhang
Energies 2026, 19(3), 762; https://doi.org/10.3390/en19030762 (registering DOI) - 1 Feb 2026
Abstract
To address the critical challenge of low thermoelectric conversion efficiency in high-temperature, highly turbulent waste heat recovery, a novel fish-fin convergent annular thermoelectric generator (FF-CATEG) device is proposed. An annular contraction-type thermal conduction ceramic component is designed along the axial gradient direction, with [...] Read more.
To address the critical challenge of low thermoelectric conversion efficiency in high-temperature, highly turbulent waste heat recovery, a novel fish-fin convergent annular thermoelectric generator (FF-CATEG) device is proposed. An annular contraction-type thermal conduction ceramic component is designed along the axial gradient direction, with fish-fin-like fins and thermocouple annular arrays introduced on the inner and outer walls of the ceramic, respectively. Therefore, the directional transport through the cross-coupling of fluid kinetic energy and thermal energy is achieved, significantly improving the thermoelectric conversion efficiency of the proposed structure. Experimental validation demonstrates that the optimized FF-CATEG attains a maximum net output power of 6.17 W at a pipe contraction angle of 3.5° and a fin coverage of 13.44%. With a temperature difference of 320 K and a waste heat fluid velocity of 14.5 m/s, the thermoelectric conversion efficiency is enhanced to 3.97%, representing a substantial 39.3% improvement compared to the finless configuration. This study presents a new approach for recovering waste heat from turbulent flows. Full article
(This article belongs to the Section J: Thermal Management)
Show Figures

Figure 1

15 pages, 766 KB  
Article
Comb Model in Periodic Potential
by Alexander Iomin, Alexander Milovanov and Trifce Sandev
Entropy 2026, 28(2), 165; https://doi.org/10.3390/e28020165 - 31 Jan 2026
Viewed by 47
Abstract
A comb model with periodic potential in side branches is introduced. A comb model is a model of geometrically constrained diffusion, such that the diffusion process along the comb’s main axis (backbone) is coupled to the diffusion process in fingers, the side branches [...] Read more.
A comb model with periodic potential in side branches is introduced. A comb model is a model of geometrically constrained diffusion, such that the diffusion process along the comb’s main axis (backbone) is coupled to the diffusion process in fingers, the side branches of the comb. Here, we consider a generalized version of this complex process by enabling a periodic potential function in the fingers. We aim to understand how the potential function added affects the asymptotic transport scalings in the backbone. A set of exact results pertaining to the generalized model is obtained. It is shown that the relaxation process in fingers leads directly to the occurrence of a non-equilibrium stationary state (NESS) in comb geometry, provided that the total energy is zero. Also, it is shown that the spatial distribution of the probability density in proximity to NESS is given by the Mathieu distribution with zero energy. The latter distribution is found to be the direct result of relaxation towards stationarity of the Mathieu eigenspectrum. It is suggested that the generalized model can characterize anisotropic particle dispersion in beta-plane atmospheric (alternatively, electrostatic drift-wave plasma) turbulence and the subsequent formation of layered structures, zonal flows, and staircases. In this regard, the inherent interconnection between combs and staircases is discussed in some detail. Full article
28 pages, 7322 KB  
Article
Numerical and Experimental Investigation of Blade Outlet Angle Effects on Flow Characteristics and Energy Losses in a Vortex Pump
by Lingyan He, Xiaofu Fan, Jianfa Li, Changliang Ye, Xuesong Li, Ziyang Niu and Chongshan Li
Energies 2026, 19(3), 758; https://doi.org/10.3390/en19030758 (registering DOI) - 31 Jan 2026
Viewed by 51
Abstract
The blade outlet angle is a critical design parameter of vortex pump impellers, exerting a significant influence on the pump’s hydraulic performance and internal flow characteristics. In this study, numerical simulations combined with experimental validation were conducted to investigate a vortex pump, with [...] Read more.
The blade outlet angle is a critical design parameter of vortex pump impellers, exerting a significant influence on the pump’s hydraulic performance and internal flow characteristics. In this study, numerical simulations combined with experimental validation were conducted to investigate a vortex pump, with three impellers featuring blade outlet angles of 50°, 60°, and 65° analyzed based on the SST k–ω turbulence model. To quantify irreversible energy losses, entropy production theory was adopted, while the Liutex method was utilized to characterize rigid-body vorticity. The results demonstrate that increasing the blade outlet angle leads to a reduction in head under both small-flow-rate and design-flow-rate conditions, impairs flow uniformity, strengthens vortex structures, and elevates total entropy production—with turbulent dissipation being the dominant contributor to energy losses. Additionally, larger outlet angles enhance the sensitivity of internal flow structures to off-design operating conditions. These findings offer valuable guidance for the optimization of impeller design and the development of energy-efficient vortex pumps. Full article
25 pages, 6693 KB  
Article
Effects of Scrap Steel Charging Structure on the Fluid Flow Characteristics in a Physical Model of a Converter Melt Pool
by Fei Yuan, Xuan Liu, Anjun Xu and Xueying Li
Processes 2026, 14(3), 501; https://doi.org/10.3390/pr14030501 - 31 Jan 2026
Viewed by 68
Abstract
Scrap steel is known to influence the fluid flow characteristics of the melt pool in converter steelmaking. However, few studies have considered the effects of the scrap steel charging structure. In this study, a physical model of a 1:8.8 steel–scrap–gas three-phase flow converter [...] Read more.
Scrap steel is known to influence the fluid flow characteristics of the melt pool in converter steelmaking. However, few studies have considered the effects of the scrap steel charging structure. In this study, a physical model of a 1:8.8 steel–scrap–gas three-phase flow converter was established to investigate the effects of scrap steel state, distribution, material type and shape on the fluid flow characteristics of the converter melt pool. The velocity distribution within the molten pool was measured using particle image velocimetry, while mixing time under various operating conditions was determined using the stimulus–response method. Considering the melting behaviour of scrap steel and the gas utilisation rate comprehensively, the results indicate that when scrap steel is arranged in a uniform position at the bottom of the converter—comprising 90% medium scrap in rectangular scrap and 10% heavy scrap in thin-plate form—and the gas flow rate is 750 m3/h, the overall dynamic conditions of the melt pool are optimal. At this time, the mixing time is 68.2 s (a reduction of up to 45.4%), average velocity is 0.117 m/s (a maximum increase of 207.9%) and turbulent energy dissipation rate is 0.0266 m2/s3 (a maximum increase of 141.8%). Finally, a relationship was established between stirring power and mixing time at different scrap steel charging structures, providing a methodological reference and data support for optimising the charging structure of scrap steel and efficiently using scrap steel in converters. Full article
(This article belongs to the Section Materials Processes)
Show Figures

Figure 1

23 pages, 5718 KB  
Article
3D-Printed Microfluidic Chip System with Integrated Fluidic Breakers and Phaseguide Fluid Structures for Optimal Passive Mixing
by Christian Neubert, Tim Brauckhoff, Frank T. Hufert, Manfred Weidmann and Gregory Dame
Micromachines 2026, 17(2), 193; https://doi.org/10.3390/mi17020193 - 31 Jan 2026
Viewed by 73
Abstract
3D printing offers great potential for rapid and cost-effective fabrication of microfluidic lab-on-a-chip systems. Through a comparative approach, we implemented staggered herringbone mixer (SHM), Tesla mixer, and split and recombine mixer (SAR), along with a basic unperturbed channel into one chip and performed [...] Read more.
3D printing offers great potential for rapid and cost-effective fabrication of microfluidic lab-on-a-chip systems. Through a comparative approach, we implemented staggered herringbone mixer (SHM), Tesla mixer, and split and recombine mixer (SAR), along with a basic unperturbed channel into one chip and performed comparative mixing efficiency experiments. We also introduced a phaseguide-based, T-shaped stop structure at the Y-shaped inlets for bubble-free and parallel filling. The structures were analyzed with two poorly mixable dye solutions at flow rates ranging from 1 µL/min to 200 µL/min. The mixing efficiency was evaluated using optical gray value analysis and compared against diffusion-based mixing. The fluid-aligning phaseguides in the 3D-printed system were shown to work. Among the three different mixing structures tested, SHM exhibited the best mixing efficiency at all tested flow rates. Uniformly designed SHM structures contain a region of poor mixing between the two zones of turbulence. In a non-uniform design, fluid breakers were placed between two SHM units to redirect poorly mixed fluids to the edges, resulting in 100% mixing efficiency across all measured flow rates. These results, especially SHM with fluid breakers, support the development of cost-effective injection-molded lab-on-a-chip systems with improved mixing functionalities at close range instead of simple long-length meandric systems. Full article
(This article belongs to the Special Issue Microfluidics in Biomedical Research)
Show Figures

Graphical abstract

12 pages, 2939 KB  
Article
Discussion of the Turbulent Swirling Flow Field in the Residential Ventilation Systems with Axial Fans
by Đorđe Čantrak, Vesna Mila Čolić-Damjanović, Slobodan Tašin and Irina Miodragović-Vella
Processes 2026, 14(3), 494; https://doi.org/10.3390/pr14030494 - 30 Jan 2026
Viewed by 100
Abstract
Axial fans are widely used in local and decentralized residential ventilation applications, such as bathroom and toilet exhausts and short-duct ventilation systems, but the turbulent swirling flow they generate can lead to increased hydraulic losses, reduced energy efficiency, and unstable fan operation. This [...] Read more.
Axial fans are widely used in local and decentralized residential ventilation applications, such as bathroom and toilet exhausts and short-duct ventilation systems, but the turbulent swirling flow they generate can lead to increased hydraulic losses, reduced energy efficiency, and unstable fan operation. This study experimentally investigates the swirling flow produced by the axial fan operating in a straight duct, following the ISO 5801, case B. Original classical probes and one-component laser Doppler anemometry (LDA) were used to measure velocity components at multiple downstream locations. Results show a strong forced-vortex core (i.e., solid body profile) and a highly non-uniform axial velocity profile near the impeller (x/D = 3.35), which homogenizes downstream (x/D = 26.31), indicating significant energy loss. Circulation and swirl number decrease significantly downstream, but residual swirl remains throughout the duct, increasing pressure drops and leading to unstable fan performance. These findings demonstrate that swirl-induced velocity-profile transformations are a major source of inefficiency in residential ventilation systems employing axial fans without flow-straightening devices. Full article
26 pages, 2444 KB  
Article
Optimized Elbow Design for Hydrogen Pipeline Using Multi-Objective Genetic Algorithm
by Ho-Jin Choi and Younjea Kim
Energies 2026, 19(3), 748; https://doi.org/10.3390/en19030748 - 30 Jan 2026
Viewed by 77
Abstract
In 90° elbows, abrupt turning induces strong secondary flow, separation, and turbulence, increasing pressure loss and degrading velocity uniformity. A hydrogen pipeline elbow is optimized by combining a nature-inspired cross-section with a guide vane, while tuning vane position/angle and geometric radii/offsets using a [...] Read more.
In 90° elbows, abrupt turning induces strong secondary flow, separation, and turbulence, increasing pressure loss and degrading velocity uniformity. A hydrogen pipeline elbow is optimized by combining a nature-inspired cross-section with a guide vane, while tuning vane position/angle and geometric radii/offsets using a multi-objective genetic algorithm (MOGA). Three-dimensional CFD is performed for compressible gaseous hydrogen using the Peng–Robinson equation of state and the SST k–ω turbulence model. Design points are generated by Latin hypercube sampling, and response surface models based on non-parametric regression (NPR) and genetic aggregation (GA) guide the search. Relative to the reference elbow, the GA-based optimum improves velocity uniformity by 5.825% and reduces the total pressure-drop coefficient by 0.470%; the NPR-based optimum yields 4.021% and 0.229%, respectively. Flow-field analysis shows reduced separation area, axial vorticity, turbulent kinetic energy, and dissipation, indicating suppressed secondary flow and smoother turning. These gains translate to lower pumping power and enhanced energy efficiency, supporting cost-effective deployment of carbon-neutral hydrogen infrastructure. Full article
(This article belongs to the Section A5: Hydrogen Energy)
34 pages, 10581 KB  
Article
Effects of Momentum-FluxRatio on POD and SPOD Modes in High-Speed Crossflow Jets
by Subhajit Roy and Guillermo Araya
Appl. Sci. 2026, 16(3), 1424; https://doi.org/10.3390/app16031424 - 30 Jan 2026
Viewed by 57
Abstract
High-speed jet-in-crossflow (JICF) configurations are central to several aerospace applications, including turbine-blade film cooling, thrust vectoring, and fuel or hydrogen injection in combusting or reacting flows. This study employs high-fidelity direct numerical simulations (DNS) to investigate the dynamics of a supersonic jet (Mach [...] Read more.
High-speed jet-in-crossflow (JICF) configurations are central to several aerospace applications, including turbine-blade film cooling, thrust vectoring, and fuel or hydrogen injection in combusting or reacting flows. This study employs high-fidelity direct numerical simulations (DNS) to investigate the dynamics of a supersonic jet (Mach 3.73) interacting with a subsonic crossflow (Mach 0.8) at low Reynolds numbers. Three momentum-flux ratios (J = 2.8, 5.6, and 10.2) are considered, capturing a broad range of jet–crossflow interaction regimes. Turbulent inflow conditions are generated using the Dynamic Multiscale Approach (DMA), ensuring physically consistent boundary-layer turbulence and accurate representation of jet–crossflow interactions. Modal decomposition via proper orthogonal decomposition (POD) and spectral POD (SPOD) is used to identify the dominant spatial and spectral features of the flow. Across the three configurations, near-wall mean shear enhances small-scale turbulence, while increasing J intensifies jet penetration and vortex dynamics, producing broadband spectral gains. Downstream of the jet injection, the spectra broadly preserve the expected standard pressure and velocity scaling across the frequency range, except at high frequencies. POD reveals coherent vortical structures associated with shear-layer roll-up, jet flapping, and counter-rotating vortex pair (CVP) formation, with increasing spatial organization at higher momentum ratios. Further, POD reveals a shift in dominant structures: shear-layer roll-up governs the leading mode at high J, whereas CVP and jet–wall interactions dominate at lower J. Spectral POD identifies global plume oscillations whose Strouhal number rises with J, reflecting a transition from slow, wall-controlled flapping to faster, jet-dominated dynamics. Overall, the results demonstrate that the momentum-flux ratio (J) regulates not only jet penetration and mixing but also the hierarchy and characteristic frequencies of coherent vortical, thermal, and pressure and acoustic structures. The predominance of shear-layer roll-up over counter-rotating vortex pair (CVP) dynamics at high J, the systematic upward shift of plume-oscillation frequencies, and the strong analogy with low-frequency shock–boundary-layer interaction (SBLI) dynamics collectively provide new mechanistic insight into the unsteady behavior of supersonic jet-in-crossflow flows. Full article
23 pages, 2232 KB  
Article
Physics-Informed Neural Networks for Three-Dimensional River Microplastic Transport: Integrating Conservation Principles with Deep Learning
by Pengjie Hu, Mengtian Wu, Jian Ma, Jingwen Zhang and Jianhua Zhao
Sustainability 2026, 18(3), 1392; https://doi.org/10.3390/su18031392 - 30 Jan 2026
Viewed by 81
Abstract
Microplastic pollution in riverine systems poses critical environmental challenges, yet predictive modeling remains constrained by data scarcity and the computational limitations of traditional numerical approaches. This study develops a physics-informed neural network (PINN) framework that integrates advection–diffusion equations and turbulence modeling approaches with [...] Read more.
Microplastic pollution in riverine systems poses critical environmental challenges, yet predictive modeling remains constrained by data scarcity and the computational limitations of traditional numerical approaches. This study develops a physics-informed neural network (PINN) framework that integrates advection–diffusion equations and turbulence modeling approaches with deep learning architectures to stimulate three-dimensional microplastic transport dynamics. The methodology embeds governing partial differential equations as soft constraints, enabling predictions under sparse observational conditions (requiring approximately three times fewer observation points than conventional numerical models), while maintaining physical consistency. Applied to a representative 15 km Yangtze River reach with 12 months of monitoring data, the model achieves improved performance with a root mean square error of 0.82 particles/m3 and a Nash–Sutcliffe efficiency exceeding 0.88, representing a 34% accuracy improvement over conventional finite volume methods. The framework successfully captures size-dependent transport behavior, identifies three primary accumulation hotspots exhibiting 3–5 times elevated concentrations, and quantifies nonlinear flux–discharge relationships with 6–8-fold amplification during high-flow events. This physics-constrained approach provides practical findings for pollution management and establishes an adaptable computational framework for environmental transport modeling in data-limited scenarios across diverse riverine systems. Full article
Show Figures

Figure 1

41 pages, 24095 KB  
Article
Three-Dimensional CFD Simulations for Characterization of a Rectangular Bubble Column with a Unique Gas Distributor Operating at Extremely Low Superficial Gas Velocities
by Arijit Ganguli, Vishal Rasaniya and Anamika Maurya
Micromachines 2026, 17(2), 191; https://doi.org/10.3390/mi17020191 - 30 Jan 2026
Viewed by 79
Abstract
In the present work, three-dimensional (3D) simulations have been performed for the characterization of a rectangular column for a uniform gas distributor with µm-sized holes at a ratio of 5. The model is first validated with experimental data from the literature. Simulations are [...] Read more.
In the present work, three-dimensional (3D) simulations have been performed for the characterization of a rectangular column for a uniform gas distributor with µm-sized holes at a ratio of 5. The model is first validated with experimental data from the literature. Simulations are then performed for a gas distributor with identical pitch but two different hole sizes, namely 600 µm and 200 µm. Three superficial gas velocities, namely 0.002 m/s, 0.004 m/s, and 0.006 m/s, were used for each distributor type. The gas movement in the fluid is found to be a strong function of hole size. For a 600 µm hole size, the operating condition has minimal impact on gas plume movement and moves centrally in a fully aerated regime. However, for a hole size of 200 µm, for all superficial velocities, the gas plume movement is dynamic and partially aerated. The plume moves along the right wall initially and then follows vertically. These characteristics are different from the meandering plume in centrally located spargers. The liquid mixing in the bulk is a function of time. During the plume development flow, different shapes are observed. Based on the analogy with the shapes found in nature, these shapes have been termed as balloon, cap, jet or candle flame, bull horn, mushroom, tree shape, and disintegrated mushroom shapes. Quantitative insights have been obtained in the form of time-averaged radial profiles of both volume fractions and liquid axial velocities. A symmetric parabolic shape for a hole size of 600 µm and skewed asymmetric shapes for a 200 µm hole size for three different axial positions, namely 0.1, 0.25, and 0.4 m, are observed. Correlations for gas holdup and liquid velocity have been proposed for low superficial velocities, which are in good agreement with the CFD simulation data, with a deviation of 15–20%. The deviations are partly due to the use of the k-ε turbulent model. The correlations perform better than the correlations available in the reported literature for similar superficial gas velocities. Full article
(This article belongs to the Special Issue Flows in Micro- and Nano-Systems)
Show Figures

Figure 1

17 pages, 5075 KB  
Article
Hydrodynamic Performance and Cavitation Characteristics of an Integrated Pump-Gate
by Yiming Li, Zhengwen Tang, Qiqing Chen, Deyang Liu, Jinxin Zou, David Yang, Xiangrong Luo and Yun Long
Fluids 2026, 11(2), 41; https://doi.org/10.3390/fluids11020041 - 30 Jan 2026
Viewed by 103
Abstract
The integrated pump-gate is a hydraulic facility that integrates a pumping station and a gate, playing a vital role in urban drainage systems, flood control, and other scenarios. Although integrated pump-gates are widely used, their internal flow presents different forms depending on the [...] Read more.
The integrated pump-gate is a hydraulic facility that integrates a pumping station and a gate, playing a vital role in urban drainage systems, flood control, and other scenarios. Although integrated pump-gates are widely used, their internal flow presents different forms depending on the application scenarios, such as backflow, vortices, and cavitation. These effects markedly influence the pump’s hydraulic performance, operational stability, and overall reliability. This study investigates the cavitation characteristics and internal flow fields within the complex geometry of the integrated pump-gate and numerically simulates the cavitation phenomenon using the SST turbulence model. Specifically, the influence of the impeller, guide vanes, and structural supports on the cavitation performance and internal flow state was analyzed. The results show that the geometric characteristics of the impeller’s leading edge significantly influence the cavitation structure. Regarding cavitation performance, NPSHc was determined to be 5.3 m. At the leading edge of the guide vanes, cavitation usually occurs at the axial diffusion position of the flow channel, and the degree of cavitation is affected by the relative position of the guide vanes and the impeller blades. The structural supports and protrusions significantly affect the vortex structures in the flow field, with protrusion-induced vortex clusters dominating the guide vane region. Full article
Show Figures

Figure 1

Back to TopTop