Next Article in Journal
Comprehensive Review on Development of Early Diagnostics on Oral Cancer with a Special Focus on Biomarkers
Previous Article in Journal
Properties of Spatially Indirect Excitons in Nanowire Arrays
 
 
Font Type:
Arial Georgia Verdana
Font Size:
Aa Aa Aa
Line Spacing:
Column Width:
Background:
Article

Controlling the Temperature on the Vein Wall Based on the Analysis of the IR Signal during Endovasal Laser Treatment

by
Andrey V. Belikov
1,2,*,
Do Thanh Tung
1,3 and
Yulia V. Fyodorova
1
1
Faculty of Nanoelectronics, ITMO University, 197101 Saint Petersburg, Russia
2
Department of Modern Dental Technologies, The First Pavlov State Medical University of St. Petersburg, 197022 Saint Petersburg, Russia
3
Faculty of Physical and Chemical Engineering, Le Quy Don Technical University, Ha Noi 122300, Vietnam
*
Author to whom correspondence should be addressed.
Appl. Sci. 2022, 12(10), 4925; https://doi.org/10.3390/app12104925
Submission received: 18 April 2022 / Revised: 5 May 2022 / Accepted: 11 May 2022 / Published: 12 May 2022
(This article belongs to the Special Issue Lasers and Their Biomedical Applications)

Abstract

Possibility of controlling the temperature of the vein wall during endovasal laser treatment (EVLT) is investigated. The desired medical effect is achieved by the coagulation of the vein wall at the temperature of 80 °C. Heating of the vein wall is mainly due to the efficient conversion of laser radiation into heat in an optothermal fiber converter (OTFC) located at the output end of the optical fiber placed inside the vein. Titanium-containing optothermal fiber converter (TOTFC) is very promising for EVLT application due to its high efficiency in converting laser energy into thermal energy and its smooth shape that excludes perforation of the vein wall when the fiber moves inside the vein. During the endovasal laser treatment heated by laser radiation TOTFC emits an IR signal which can be used for controlling the temperature on the vein wall during endovasal laser treatment. At present study, a computer thermophysical model of the EVLT with TOTFC has been developed in the COMSOL Multiphysics 5.4 program (COMSOL Inc., Burlington, MA, USA). In the EVLT model, a laser radiation wavelength of 980 nm with an average laser power of 8–14 W to the traction speed of the optical fiber in range of 1–7 mm/s is applied. The dependence of the TOTFC temperature and the temperature on the vein wall has been numerically investigated. In accordance with Planck’s formula, the dependence of the spectral luminosity density of a blackbody simulating IR signal from TOTFC on its temperature has been determined. The spectral luminosity density in a wide range the wavelength of 0.4–20 μm, as well as in spectral ranges limited by the transmission of the quartz fiber and the sensitivity of Ge and PbS photodetectors was defined. The possibility of controlling the average power of the laser radiation depending on the magnitude of the change in the spectral luminosity density of TOTFC during EVLT is demonstrated. The results obtained can be useful in developing laser medical equipment and materials for use in vascular surgery at endovasal laser treatment.

1. Introduction

Varicose veins are a common disease [1], which can lead to chronic pathologies and are more common with women [2]. Endovasal laser treatment (EVLT) is currently used to treat this disease, it is a promising minimally invasive procedure that reduces postoperative risks [3].
Typically, solid-state or semiconductor lasers with an average radiation power of up to 30 W are used for EVLT [4]. The radiation of these lasers lies in the near-infrared wavelength range and is transmitted through an optical quartz fiber. During the EVLT, an optical quartz fiber is injected into the vein and then pulled out at a speed of several millimeters per second. At the same time, a carbonized layer is formed at the output end of the fiber under the action of laser radiation. This layer effectively absorbs the energy of laser radiation and can heat up to 1200 °C [5,6]. The thickness of carbonized layer is 26 ± 6 μm, the absorption coefficient is 72 ± 16 mm−1, and the scattering coefficient reaches 30 mm−1 [7]. The high temperature of the carbonized layer leads to the formation of bubbles in the blood surrounding the fiber and to the vein wall heating [8,9]. Heating the vein wall up to 80 °C and above leads to the deformation of the collagen contained, coagulation, and collapse of the vein [10]. However, the lifetime of the carbonized layer is short since it is easily destroyed both by laser radiation and mechanically, in contact with biological tissue.
In recent studies, to efficiently convert laser radiation into heat, the optothermal fiber converters (OTFC) on the distal end of the optical fiber were proposed to create [11,12,13,14,15,16]. OTFC can be used in surgery for effective ablation and coagulation of soft tissues and in photodynamic therapy (PDT) for resonant and non-resonant photoexcitation of photosensitizing drugs [11,12]. A titanium-containing optothermal fiber converter (TOTFC) has been referred to in [12,13]. This converter has strong mechanical connection with an optical quartz fiber, can be heated up to 2700 °C without destruction, and is resistant to laser radiation [12]. TOTFC has the smooth shape similar to a sphere, which eliminates the perforation of the vein wall when moving the optical fiber inside the vein. It was shown in [15] that the optical properties of TOTFC depend on the volume fraction of TiO2 microspheres (k) in it, which can be changed in the converter design. In the same paper, it was demonstrated that TOTFC with 0.15 ≤ k ≤ 0.26 (at the wavelength of 980 nm) and 0.15 ≤ k ≤ 0.2 (at the wavelength of 1470 nm) and the diameter of d > 0.67 mm are optimal for EVLT since it is in these ranges of k and d that TOTFC absorbs laser radiation very effectively. Heating of the vein wall that occurs when exposed to TOTFC laser radiation with wavelengths ranging from 532 nm to 2100 nm was studied and showed that in this range the TOTFC absorbs from 82% to 86% of laser radiation [16]. The temperatures on the inner surface of the vein wall achieved by using varying wavelengths from the above range of wavelength do not differ much, which corresponds to the results presented in [17]. It has also been shown that under the action of laser radiation with the wavelength of 980 nm, TOTFC heats the vein wall to the temperature required for its coagulation (80 °C) slower than the mentioned above carbonized layer, which minimizes the risk of perforation of the vein wall [14]. Thus, TOTFC is very promising for use in the process of endovasal laser treatment.
The temperature of the vein wall is of great importance for a successful EVLT. If the temperature on the vein wall is too low (less than 80 °C), it will not be enough to coagulate the wall. If it is too high (more than 100 °C), this can lead to perforation of the wall, damage to the surrounding tissues, and an increase in the rehabilitation time. During the EVLT, the temperature on the vein wall can be controlled by changing the average power of laser radiation and the speed of pulling (traction) of the fiber. In clinical practice, when performing the EVLT, the optical fiber is moved inside the vein manually or automatically using an automated moving device, and the laser radiation power is left constant at a predetermined level [18]. With manual traction, the surgeon usually monitors the EVLT process using an ultrasound device and manually adjusts the speed of fiber pulling accordingly. In this case, the outcome of the operation depends on the surgeon’s experience, the accuracy of the surgeon’s subjective assessment of the course of the operation and may be unpredictable since the surgeon cannot always manually maintain the traction speed necessary for uniform coagulation of the vein wall. Thus, to achieve uniform coagulation of the vein wall during manual traction, it is necessary for the temperature of the vein wall to remain constant and at a level sufficient for coagulation, regardless of the traction speed. This means changing the laser radiation power so that when the speed changes, the temperature of the vein wall is constant. With automatic traction, the pulling speed is usually set constant, but in this case, the outcome of the operation is determined by the fluctuation of the vein diameter along its length, which ultimately also excludes uniform coagulation of the vein wall. Thus, with automatic traction, it is also necessary to adjust the power of the laser radiation so that when the vein diameter varies, the temperature of the vein wall is constant. However, this is extremely difficult because, in the EVLT, there is no possibility of measuring the temperature of the vein wall. In this regard, the search for vein wall temperature measurement methods and algorithms for controlling laser radiation parameters during EVLT is a very urgent task.
As shown earlier [14], the temperature of the vein wall depends on the temperature of the carbonized layer or the optothermal converter. In this regard, the temperature control of the optothermal converter allows controlling the temperature of the vein wall during the EVLT. As known when a body is heated, thermal radiation is known to occur [19]. This is a well-studied effect. For a blackbody, the dependence of the luminosity spectral density on temperature is described by Planck’s equation [20]. Thus, by measuring the luminosity density of an optothermal converter when heated by laser radiation, it is possible to determine its temperature, predict the temperature on the vein wall, and change the laser radiation power so that the temperature of the vein wall is constant and required for its coagulation. This hypothesis is the basis of the present study.
The aim of this work is to develop a thermophysical model of endovasal laser treatment of a vein with TOTFC, to provide a computer simulation of laser heating of a titanium-containing optothermal fiber converter and the vein wall during EVLT, to determine the relationship between average power of laser radiation, converter temperature, converter luminosity spectral density and the vein wall temperature at various traction speeds and constant internal and external diameters of the vein. The aim also includes a search for opportunities to keep the temperature of the converter at a level required for coagulation of the vein wall when the traction speed changes by changing the average power of laser radiation and controlling the luminosity spectral density of the converter.

2. Thermophysical Model of Endovasal Laser Treatment of a Vein with TOTFC

The technology of TOTFC manufacture is described in detail in the references [12,13]. TOTFC is known to consist of titanium dioxide (TiO2) microspheres with a diameter of ~1.2 μm surrounded by silica (SiO2), and to be located at the distal end of an optical quartz fiber. The TOTFC model used in this research is shown in Figure 1a. The microspheres are evenly distributed over the volume of the converter, and the volume fraction of the TiO2 (k) microspheres is 0.22. The converter has a strong mechanical connection with the optical quartz fiber with the diameter of 440 μm. The scheme describing the EVLT model used in the current study is shown in Figure 1b. The vein is presented in the form of a cylindrical tube with the length of 200 mm, the internal diameter of 5 mm, and the wall thickness of 1 mm. An optical quartz fiber with TOTFC is located on the axis of the vein. It can be moved along the axis of the vein using a fiber moving device. The traction speed ranges from 1 mm/s to 7 mm/s. Laser radiation passing through the beamsplitter is fed to the input of the optical quartz fiber. The laser radiation has the wavelength of 980 nm. In studies previously performed for TOTFC with k = 0.22, the efficiency of converting laser radiation with the wavelength of 980 nm into heat was 83.2% [15,16]. Laser radiation propagating through the optical quartz fiber reaches TOTFC and heats the latter and the vein wall. The thermal radiation (IR signal) from the laser heated TOTFC propagating along with the optical quartz fiber in the direction opposite to the direction of propagation of the laser radiation reaches the beamsplitter and falls on the photodetector (PD). The PD signal enters the laser control system for subsequent processing and making a decision on the change in the average laser power required for optimal EVLT (feedback).
Computer simulation of radiation and thermal processes occurring during EVLT using TOTFC was carried out in the COMSOL Multiphysics 5.4 software package (“COMSOL Inc.”, USA). After heating TOTFC by laser radiation with the wavelength of 980 nm, there is heat exchange of the converter with the environment by natural convection and thermal radiation. A thermal insulation condition was assigned at the entrance of the optical quartz fiber and at the ends of the vein.
In the COMSOL Multiphysics 5.4 software package (COMSOL Inc., Burlington, MA, USA), the thermal conductivity equation was solved by the finite element method using the COMSOL PDE toolkit, which is described in two-dimensional space as follows:
ρ C p T t = κ ( 2 T x 2 + 2 T y 2 ) + Q 0
where Cp [J/(kg·K)] is specific heat capacity; κ [W/(m·K)] is thermal conductivity; ρ [kg/m3] is physical density; Q0 [W/m3] is specific energy of the heat source.
The following boundary and initial conditions were set: (i) optical quartz fiber with TOTFC at the distal end is located horizontally on the axis of the vein; (ii) the medium surrounding the fiber with TOTFC is blood; (iii) the initial temperature of the fiber, converter, and blood is equal to the human body’s normal temperature (36.6 °C); (iv) the blood, the vein, and the vein wall are stationary, and (v) the optical quartz fiber with TOTFC can move progressively from left to right (Figure 1b).
When simulating, the distribution of heat sources in TOTFC was uniform. Boiling of the blood around the converter was not simulated, however, it was taken into account by 200 times increase in the thermal conductivity coefficient in the area where the temperature exceeded the threshold of 95 °C [21]. The thermal properties of TOTFC, such as physical density, specific heat capacity, thermal conductivity, and blackness coefficient, which depend on the temperature in the range from 36.6 °C to 3000 °C, were identical to those presented in [13,16]. These values change when the temperature of the TOTFC changes and taking these changes into account leads to more accurate simulation results. The values of the thermophysical parameters of the optical quartz fiber, the vein wall, and the blood at 300 K used to provide the thermal simulation are given in [14,16,21] and presented in Table 1.

3. Thermophysical Simulation of Endovasal Laser Treatment of a Vein with TOTFC

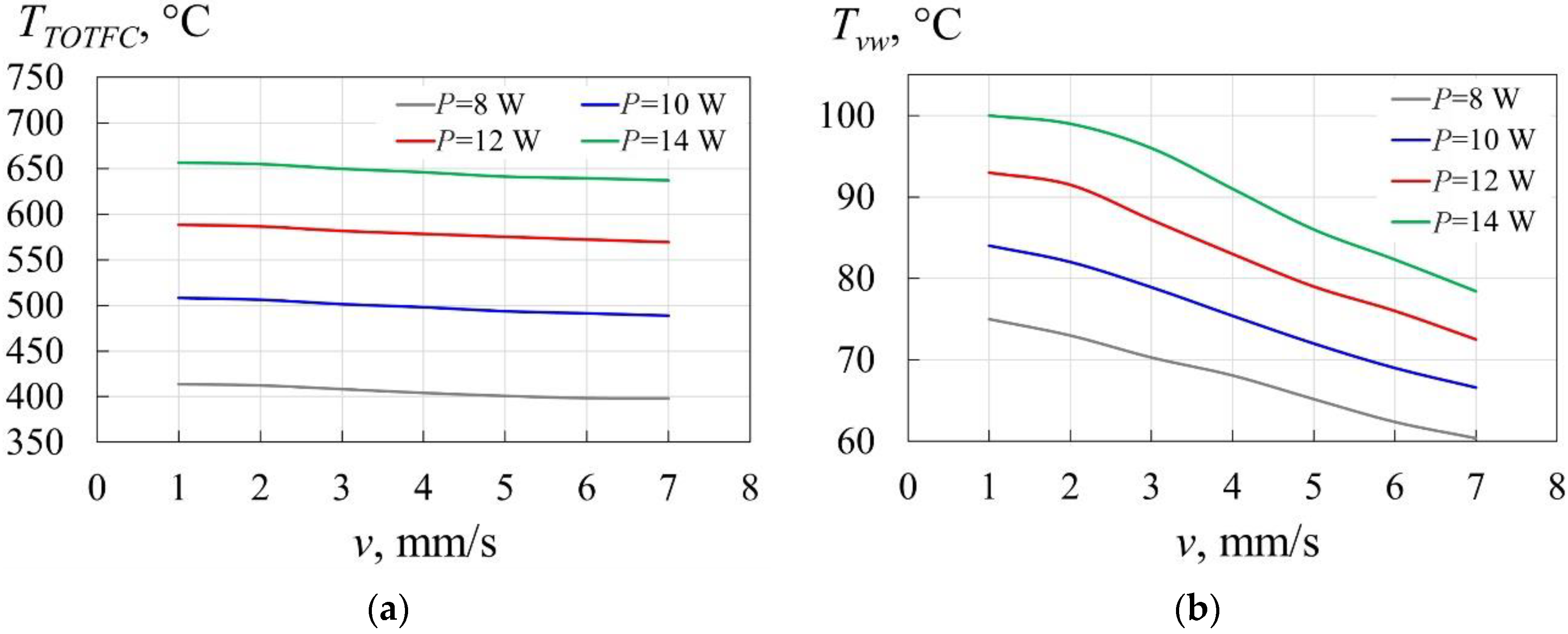
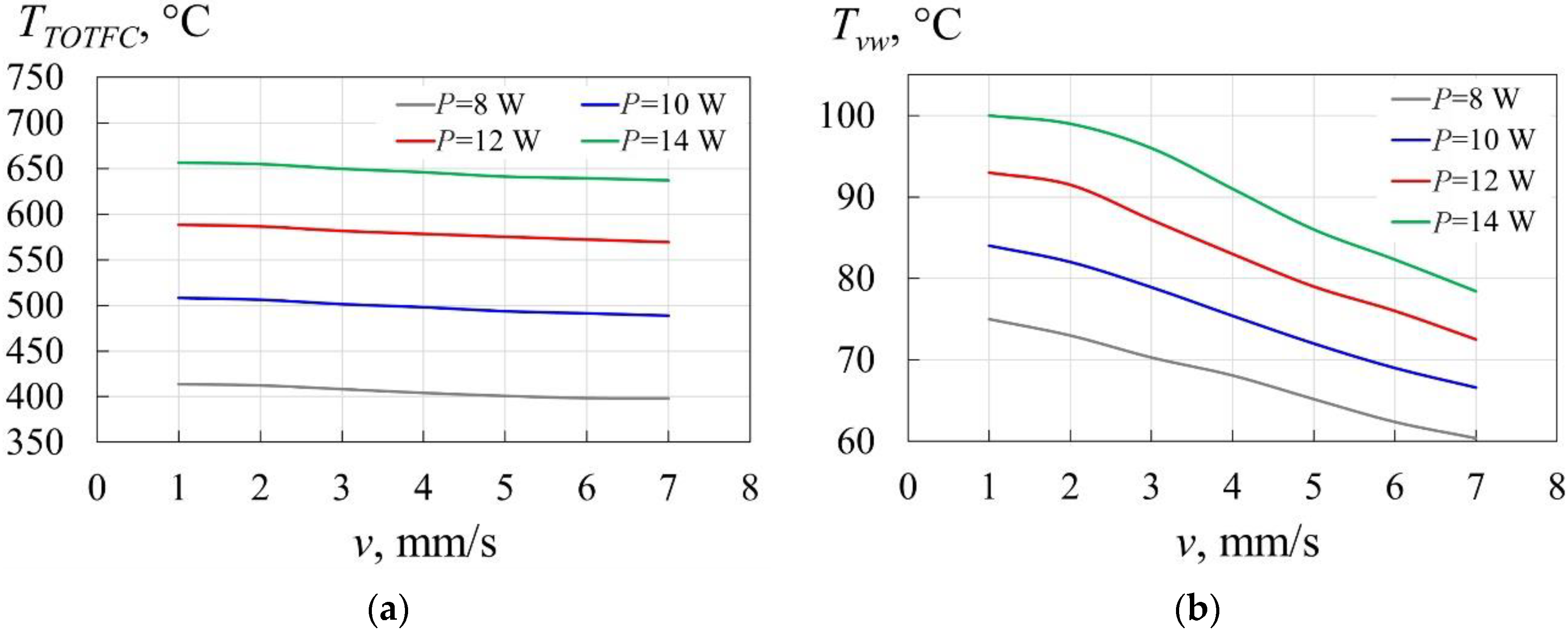
Within the model of the EVLT described above, a computer simulation of heating the TOTFC and the vein wall during TOTFC with the laser radiation wavelength of 980 nm was performed for varied average laser radiation powers and traction speeds. The relationship between the maximum converter temperature (TTOTFC), the maximum vein wall temperature (Tvw), and the traction speed (v) at a varied average laser radiation power (P) is shown in Figure 2.
The maximum temperature of the TOTFC is reached inside the converter. It is localized at a negligible distance from its center in the direction of the optical quartz fiber, which is due to the influence of the heat sink along the optical quartz fiber. With an increase in the average laser radiation power, TTOTFC increases, and with an increase in the traction speed, TTOTFC slightly decreases (Figure 2a). As the heat from the TTOTFC diffuses to the vein wall, it causes the vein wall to heat up. With an increase in the average power of laser radiation, the temperature of the vein wall (Tvw) increases, and with an increase in the traction speed, the value of Tvw decreases significantly (Figure 2b). The latter dependence can be attributed to the contribution of the effect of heat accumulation to Tvw at a certain point of the vein wall. This contribution is greater the longer the point remains close to the heat source and, accordingly, with the speed increasing, this contribution decreases. It should also be noted that the simulation did not take into account the contribution of the phase transition when the water contained in the vein wall was boiling, and therefore Tvw in Figure 2b, does not exceed 100 °C. It can be seen that with an average laser power of P = 8 W, the value of Tvw does not reach the 80 °C required for the coagulation of the vein wall. With an average laser power of P = 10 W, the temperature of Tvw can be higher or equal to 80 °C at ν ≤ 2.5 mm/s, while the temperature of TTOTFC reaches the value of ~510 °C. With an average laser power of P = 12 W, the temperature of Tvw can be higher or equal to 80 °C at ν ≤ 4.8 mm/s, while the temperature of TTOTFC reaches the value of ~580 °C. With an average laser power of P = 14 W, the temperature of Tvw can be higher or equal to 80 °C at ν ≤ 6.6 mm/s, while the temperature of TTOTFC reaches ~640 °C. The dependence of Tvw on the traction speed manifests pronounced non-linearity. At low traction speeds (1–2 mm/s), the value of Tvw decreases less significantly with increasing traction speed than at high traction speeds (2–7 mm/s). At low traction speeds, a decrease in Tvw with an increase in traction speed and the accumulation effect may also be due to the instability of thermal convection in the liquid (here—blood) at the beginning of the TOTFC movement [21]. At high traction speeds, these effects may be supplemented by the movement of uneven areas of fluid when the TOTFC is moving.
As a result of the analysis of the data represented above, the dependence of Tvw on TTOTFC was obtained at varied traction speeds in the range of 1–7 mm/s (Figure 3).
In this case, the change in TTOTFC is caused by a change in the average power of the laser radiation from 8 W to 14 W (see Figure 2a). It can be seen that Tvw increases with increasing TTOTFC and decreases with the increasing traction speed at constant TTOTFC. The dependences shown in Figure 3 allows choosing a TTOTFC acceptable (at a constant traction speed and a constant internal diameter of the vein, which in this case, equal to 5 mm) to achieve the Tvw value of 80 °C required for the coagulation of the vein wall (TTOTFC_80). For example, at the traction speed ν = 2 mm/s, in order for Tvw to be equal to or above 80 °C, the temperature TTOTFC_80 has to be ≥500 °C, which is consistent with the results presented in [16].
In the EVLT process, changing the average laser power and the traction speed to ensure that the temperature on the vein wall reached 80 °C required for its coagulation is crucial for the success. In this regard, it should be expected that for the coagulation of the vein wall in the EVLT process, when the traction speed changes, it is necessary to change the temperature of the TOTFC, and therefore the laser radiation power be adjusted for the vein wall to have the temperature of 80 °C. Thus, as a result of computer simulation, for each traction speed, it is necessary to determine the average laser radiation power (P_80) and the temperature TOTFC (TTOTFC_80) so that the vein wall temperature reaches 80 °C. The dependence of these values on the varied traction speeds is shown in Figure 4.
It can be seen that with an increase in the traction speed, the average power of the laser radiation P_80 and the temperature TTOTFC_80 is increased. As a result of an analysis of the data represented above, the dependence of TTOTFC_80 on P_80 was plotted at varied traction speeds in the range of 1–7 mm/s (Figure 5).
This dependence shows what would be the temperature TTOTFC_80 for a given P_80. If this temperature is not reached, then we would have to either change the average power of the laser radiation at a constant traction speed until the temperature of the TOTFC reaches the required value, or to change the traction speed at a constant average power of the laser radiation until the temperature of the TOTFC reaches the required value. A change in the traction speed ν by a certain amount Δν would lead to a change in the temperature TOTFC by the mount ΔTTOTFC_80 and can be compensated by a change in the average power of the laser radiation ΔP_80. The dependences demonstrating how much the average laser radiation power and the temperature of TOTFC would have to change compared to the current value in order for the temperature of the Tvw vein wall to remain equal to 80 °C when changing ν by the value of Δν are shown on Figure 6.
It can be seen that with Δν increasing, the average laser radiation power ΔP_80 and the temperature ΔTTOTFC_80 is increased. In a linear approximation, the correlation between ΔP_80 and Δν can be described by the equation:
Δ P _ 80   = 0.94 Δ ν
and the relationship between ΔTTOTFC_80 and Δν can be described in the following way:
Δ T T O T F C _ 80 = 33 Δ ν
As a result of the data analysis represented above, the dependence of ΔP_80 on ΔTTOTFC_80 was obtained at various Δν from the range of 0–6 mm/s (see Figure 7).
The analysis of the dependence represented above shows that the change in the temperature TOTFC (ΔTTOTFC_80) required to achieve the vein wall temperature of 80 °C associated with a change in the traction speed can be compensated by a proportional change in the average power of laser radiation (ΔP_80), following the equation:
Δ P _ 80   = 0.029 Δ T T O T F C _ 80
The numerical coefficients included as shown in Equations (2)–(4) may vary depending on the size of the vein and the parameters of laser exposure, for example, the wavelength. The investigation of these changes would be the subject of a separate research and is beyond the scope of this study.
Thus, in this part of the study, a relationship between the change in the temperature of TOTFC (ΔTTOTFC_80) required to maintain the temperature of TOTFC at a level sufficient for coagulation of the vein wall (TTOTFC_80) and the change in the average power of laser radiation with a wavelength of 980 nm (ΔP_80) required for maintaining of it was established. Further, we will look at how TTOTFC can be measured in order for the laser control system (see Figure 1b) to be able to obtain the information necessary for the formation of a feedback signal in accordance with Equation (4), which leads to a change in the laser radiation power by ΔP_80.

4. IR Signal Occurring during Endovasal Laser Treatment of a Vein with TOTFC

In the EVLT process, as a result of the absorption of laser radiation, TOTFC is heated to a high temperature, the value of which depends on the average power of laser radiation (see Figure 2). Heated bodies are known to emit of radiation in a wide spectral range. This radiation is called a thermal or an IR signal [19]. Let us assume that TOTFC is a completely blackbody. The spectral luminosity density of a blackbody (u(λ,T)) at a certain temperature is described by the formula [20]:
u ( λ ,   T ) = 2 h · c 2 λ 5 · 1 e x p ( h c λ k T ) 1
where λ is the wavelength (m), c is the speed of light (3 × 108 m/s), h is the Planck’s constant (h = 6.626 × 10−34 J·s), k is the Boltzmann constant (k = 1.380649 × 10−23 J/K), T is the temperature of a blackbody in degrees Kelvin (in this case, T = TTOTFC).
The distributions of the spectral luminosity density of TOTFC in the wavelength range 0.2–20 μm at an average laser power P = 10 W for traction speeds ν in the range 1–7 mm/s and at ν = 2 mm/s for an average laser power P in the range 8–14 W are shown on Figure 8.
The spectral luminosity density of TOTFC mainly depends on the average power of laser radiation (see Figure 8b), and the change in the traction speed does not significantly affect the spectral luminosity density of TOTFC (see Figure 8a). The maximum spectral luminosity of TOTFC is in the wavelength range of 1–6 μm. With a decrease in the traction speed and with an increase in the average power of laser radiation, the wavelength of the maximum spectral luminosity density of TOTFC shifts to the short-wavelength region, which, following Wien’s law [22], is associated with an increase in the temperature of TOTFC.
In the EVLT model shown in Figure 1b, thermal radiation (IR signal) occurs in TOTFC, then propagates along with the optical quartz fiber, is reflected by a beamsplitter, and then PD is recorded. In this case, the spectral luminosity density TOTFC at the output of PD (σ) is described as follows:
σ = λ 1 λ 2 u ( λ , T ) · S F ( λ ) · S B S ( λ ) · S P D ( λ ) d λ
where λ1, λ2 are the smallest and the largest wavelengths under study, respectively, SF(λ) is the transmission spectrum of the optical quartz fiber, SBS(λ) is the reflection spectrum of the beamsplitter, SPD(λ) is the spectral sensitivity of PD.
When choosing PD, it is to be taken into account that its spectral sensitivity is to lie in the range corresponding to the maximum spectral luminosity of TOTFC, that is, in the wavelength range of 1–6 μm. In addition, after passing through the optical quartz fiber, the intensity of the IR signal in the region of wavelengths above 2 μm will be greatly weakened [23,24]. PD is to be particularly sensitive in the range 1–2 μm. According to [25], these conditions are satisfied by an uncooled Germanium (Ge) photodiode, an uncooled PbS295 photoresistor, and a cooled PbS78 photoresistor. In the current study, continuous laser radiation was used. In this case, the problem of the high noise level of PbS photoresistors may be important [26]. To solve this problem, it is necessary to modulate continuous laser radiation or use a pulsed laser. For modern PbS photoresistors, the operating modulation frequency can be 2–3 kHz, and the pulse duration is 50–100 μs.
Considering the dependence of TTOTFC_80 on P_80 (Figure 5), assuming that TOTFC is a completely blackbody and the beamsplitter reflects the entire incident IR signal without any distortion (i.e., SBS(λ) = 1), it is possible to describe the dependence of the spectral luminosity density of TOTFC σ within the framework of the developed EVLT model for the wavelength range 1–6 μm from TTOTFC_80 and P_80 excluding SF(λ) and SPD(λ), and taking into account SF(λ) and SPD(λ). These dependencies are shown in Figure 9.
With an increase in the temperature TTOTFC_80 and the average power of the laser radiation P_80, the value of σ increases non-linearly and these dependences are described by smooth curves. Taking into account SF(λ) and SPD(λ) leads to a decrease in the recorded spectral luminosity density TOTFC. The highest spectral luminosity density of the IR signal transmitted through an optical quartz fiber is recorded using an uncooled PbS295 photoresistor.
Taking into account the dependences presented in Figure 6, Figure 7 and Figure 9, it is possible to plot the dependence of the change in the spectral density of radiation TOTFC Δσ on ΔP_80 for the wavelength range 1–6 μm (see Figure 10) without taking into account SF(λ) and SPD(λ) and considering SF(λ) and SPD(λ).
The analysis of the dependencies represented above shows that for SF(λ) = 1 and SPD(λ) = 1 in the change in the spectral radiation density Δσ in the wavelength range 1–6 μm is associated with a change of temperature ΔTTOTFC_80, which in turn, is related to a change of the traction speed. The change in the spectral radiation density Δσ can be compensated by a proportional change in the average power of the laser radiation ΔP_80, following the equation:
Δ P _ 80 = 0.0046 ( Δ σ ) 3 0.083 ( Δ σ ) 2 + 1.1812 Δ σ
Thus, in this part of the study, a relationship between a change in the spectral density of radiation Δσ associated with a change of temperature ΔTTOTFC_80 required to maintain the temperature of TOTFC at TTOTFC_80 and with a change in the average power of laser radiation ΔP_80 was established. Equation (7) can be used to create a feedback system that ensures uniform coagulation of the vein wall during EVLT with wavelength of laser radiation equal 980 nm. It should be noted that the numerical coefficients as shown in Equation (7) can vary depending on the size of the vein, the range of the recorded wavelengths of the IR signal, the parameters of laser exposure and the materials of the optical fiber and the photodetector. The investigation of the effects of these changes on ΔP_80 would be the subject of a separate research, depending on the technical features of a laser system used for EVLT and may be a target for further studies.

5. Conclusions

A thermophysical model of endovasal laser treatment of a vein with TOTFC has been developed. A computer simulation of laser heating of a titanium-containing optothermal fiber converter and the vein wall during EVLT has been performed. The relationships between the average power of laser radiation, the converter temperature, the luminosity of the converter (IR signal), and the temperature of the vein wall at varied traction speeds and constant internal and external diameters of the vein has been established. The dependence according to which the change in the temperature of the TOTFC required to achieve the temperature of the vein wall enough for its coagulation (80 °C) caused by a change in the traction speed can be compensated by a proportional change in the average power of the laser radiation has been obtained. The correlation between the spectral luminosity density of TOTFC and its temperature has been established. The possibility of record the TOTFC temperature during endovasal laser treatment by measuring the spectral luminosity density of TOTFC and controlling the laser radiation power depending on the magnitude of the change in the spectral luminosity density of TOTFC in the wavelength range of 1–6 μm has been demonstrated. The patterns obtained in this study can be used in the development of laser medical equipment with feedback-based control systems.

Author Contributions

Conceptualization, D.T.T. and A.V.B.; methodology, D.T.T. and A.V.B.; software, D.T.T.; validation, A.V.B.; writing—original draft preparation, D.T.T. and A.V.B.; writing—review and editing, D.T.T. and A.V.B.; references, Y.V.F. All authors have read and agreed to the published version of the manuscript.

Funding

The work was supported by the Russian Science Foundation (project No. 22-25-00468).

Institutional Review Board Statement

Not applicable.

Informed Consent Statement

Not applicable.

Data Availability Statement

The data presented in this study are available on request from the corresponding author.

Conflicts of Interest

The authors declare no conflict of interest.

References

  1. Oliveira, R.Á.; Mazzucca, A.C.P.; Pachito, D.V.; Riera, R.; Silva, J.C.C.B. Evidence for varicose vein treatment: An overview of systematic reviews. Sao Paulo Med. J. 2018, 136, 324–332. [Google Scholar] [CrossRef] [PubMed]
  2. Bora, A.; Avcu, S.; Arslan, H.; Adali, E.; Bulut, M.D. The relation between pelvic varicose veins and lower extremity venous insufficiency in women with chronic pelvic pain. J. Belg. Radiol. 2012, 95, 215–221. [Google Scholar] [CrossRef] [PubMed]
  3. Weiss, R.A.; Weiss, M.A.; Eimpunth, S.; Wheeler, S.; Udompunturak, S.; Beasley, K.L. Comparative outcomes of different endovenous thermal ablation systems on great and small saphenous vein insufficiency: Long-term results. Lasers Surg. Med. 2015, 47, 156–160. [Google Scholar] [CrossRef] [PubMed]
  4. Maurins, U. Practical Aspects of Endovenous Laser Ablation of Varicose Veins; Dr Maurins Vein Clinic: Riga, Latvia, 2014; ISBN 978-9934-14-363-2. [Google Scholar]
  5. Shevchenko, Y.L.; Masayshvili, C.V.; Stoyko, Y.M. Laser Treatments for Varicose Veins; Borges: Moscow, Russia, 2010; ISBN 978-5-9902607-1-9. [Google Scholar]
  6. Shevchenko, Y.L.; Stoyko, Y.M.; Masayshvili, C.V.; Khlevtova, T.V. The mechanism of endovenous laser obliteration: A new look. Phlebology 2011, 5, 46–50. [Google Scholar]
  7. Amzayyb, M.; Van Den Bos, R.R.; Kodach, V.M.; de Bruin, D.M.; Nijsten, T.; Neumann, H.A.M.; van Gemert, M.J.C. Carbonized blood deposited on fibres during 810, 940 and 1470 and 1,470 nm endovenous laser ablation: Thickness and absorption by optical coherence tomography. Lasers Med. Sci. 2010, 25, 439–447. [Google Scholar] [CrossRef] [PubMed][Green Version]
  8. Van der Geld, C.W.M.; van den Bos, R.R. The heat-pipe resembling action of boiling bubbles in endovenous laser ablation. Lasers Med. Sci. 2010, 25, 97–99. [Google Scholar] [CrossRef] [PubMed][Green Version]
  9. Verdaasdonk, R.M.; Grimbergen, M.C.; Rem, A.I. Imaging techniques for research and education of thermal and mechanical interactions of lasers with biological and model tissues. J. Biomed. Optics 2006, 11, 14–19. [Google Scholar] [CrossRef] [PubMed]
  10. Shaydakov, E.V.; Iluhin, E.A. Endovascular Methods in the Treatment of Varicose Veins; Diton-Art: St. Petersburg, Russia, 2016. [Google Scholar]
  11. Belikov, A.V.; Skrypnik, A.V. Soft tissue cutting efficiency by 980 nm laser with carbon-, erbium-, and titanium-doped optothermal fiber converters. Lasers Surg. Med. 2019, 51, 185–200. [Google Scholar] [CrossRef] [PubMed]
  12. Belikov, A.V.; Skrypnik, A.V. Laser heating dynamics and glow spectra of carbon-, titanium- and erbium-containing optothermal fibre converters for laser medicine. Quantum Electron. 2017, 47, 669–674. [Google Scholar] [CrossRef]
  13. Belikov, A.V.; Skrypnik, A.V.; Salogubova, I.S. Optical and thermal modeling of Ti-doped optothermal fiber converter for laser surgery. In Proceedings of the Saratov Fall Meeting 2018, Saratov, Russia, 24–29 September 2018; Volume 11065, p. 1106514. [Google Scholar] [CrossRef]
  14. Belikov, A.V.; Do, T.; Skrypnik, A.V.; Semyashkina, Y.V. Modeling of optothermal fiber converters interaction with vein during endovenous laser coagulation. In Proceedings of the Saratov Fall Meeting 2019, Saratov, Russia, 23–27 September 2019; Volume 11457, p. 114571L. [Google Scholar] [CrossRef]
  15. Do, T.; Belikov, A.V.; Semyashkina, Y.V. Modeling of 980 nm and 1470 nm Laser Radiation Absorbance Efficiency in the Blood Vessel Depending on the Structure of Titanium–Containing Optothermal Fiber Converter. J. Biomed. Photonics Eng. 2021, 7, 020304. [Google Scholar] [CrossRef]
  16. Do, T.; Belikov, A.V.; Semyashkina, Y.V. Optics and thermodynamics of titanium-containing optothermal fiber converter and vein wall during endovasal laser coagulation. In Proceedings of the Saratov Fall Meeting 2020, Saratov, Russia, 29 September–2 October 2020; Volume 11845, p. 1184510. [Google Scholar] [CrossRef]
  17. Poluektova, A.A.; Malskat, W.S.J.; van Gemert, M.J.C.; Vuylsteke, M.E.; Bruijninckx, C.M.A.; Neumann, H.A.M.; Van Der Geld, C.W.M. Some controversies in endovenous laser ablation of varicose veins addressed by optical-thermal mathematical modeling. Lasers Med. Sci. 2014, 29, 441–452. [Google Scholar] [CrossRef] [PubMed]
  18. Borsuk, D.A.; Fokin, A.A. Endovenous Laser Ablation of Saphenous Veins Larger than 2 cm: A Prospective Study. Eur. J. Vasc. Endovasc. Surg. 2020, 60, e73–e76. [Google Scholar] [CrossRef]
  19. Klykov, I.I. Study of Thermal Radiation and Verification of the Stefan-Boltzmann Law; Publishing House of Tomsk State University: Tomsk, Russia, 2022. [Google Scholar]
  20. Gorbunova, E.V.; Chertov, A.N. Typical Calculations for the Colorimetry of Radiation Sources. Tutorial; ITMO University: St. Petersburg, Russia, 2014. [Google Scholar]
  21. Belikov, A.V.; Do, T.; Semyashkina, Y.V. Laser heating numerical simulation of titanium-containing optothermal fiber converter and vein wall during endovasal laser coagulation. Sci. Tech. J. Inf. Technol. Mech. Opt. 2020, 20, 485–493. [Google Scholar] [CrossRef]
  22. Ball, D.W. Wien’s displacement law as a function of frequency. J. Chem. Educ. 2013, 90, 1250–1252. [Google Scholar] [CrossRef]
  23. Newport Corporation, Optical Materials. Technical Note. Available online: https://www.newport.com/n/optical-materials (accessed on 4 April 2021).
  24. Optical Fiber Loss and Attenuation. Available online: https://www.fiberoptics4sale.com/blogs/archive-posts/95048006-optical-fiber-loss-and-attenuation (accessed on 4 April 2021).
  25. Torshina, I.P.; Yakushenkov, Y.G. Choosing a Radiation Receiver when Designing an Optoelectronic Device; MIIGAiK Publishing House: Moscow, Russia, 2017; ISBN 978-5-91188-074-3. [Google Scholar]
  26. PbS and PbSe Detectors. Available online: https://www.lasercomponents.com/de-en/product/pbs-detectors/ (accessed on 4 April 2021).
Figure 1. Model of a titanium–containing optothermal fiber converter (a) and a scheme explaining the EVLT model (b). 1—laser, 2—laser radiation, 3—optical quartz fiber, 4—fiber moving device, 5—vein wall, 6—TOTFC, 7—blood, 8—beamsplitter, 9—thermal radiation (IR signal), 10—photodetector, 11—laser control system.
Figure 1. Model of a titanium–containing optothermal fiber converter (a) and a scheme explaining the EVLT model (b). 1—laser, 2—laser radiation, 3—optical quartz fiber, 4—fiber moving device, 5—vein wall, 6—TOTFC, 7—blood, 8—beamsplitter, 9—thermal radiation (IR signal), 10—photodetector, 11—laser control system.
Applsci 12 04925 g001
Figure 2. The dependences of TTOTFC (a) and Tvw (b) on the traction speed (v), at a varied average laser radiation power (P) (the wavelength of laser radiation is 980 nm, the inner vein diameter is 5 mm).
Figure 2. The dependences of TTOTFC (a) and Tvw (b) on the traction speed (v), at a varied average laser radiation power (P) (the wavelength of laser radiation is 980 nm, the inner vein diameter is 5 mm).
Applsci 12 04925 g002
Figure 3. The dependence of Tvw on TTOTFC at varied traction speeds (ν) (the wavelength of laser radiation is 980 nm, the inner vein diameter is 5 mm).
Figure 3. The dependence of Tvw on TTOTFC at varied traction speeds (ν) (the wavelength of laser radiation is 980 nm, the inner vein diameter is 5 mm).
Applsci 12 04925 g003
Figure 4. The dependences of the average laser radiation power P_80 (a) and the temperature of the TOTFC required for the vein wall temperature to reach 80 °C TTOTFC_80 (b) on the traction speed (ν) of the TOTFC (the wavelength of laser radiation is 980 nm, the inner vein diameter is 5 mm).
Figure 4. The dependences of the average laser radiation power P_80 (a) and the temperature of the TOTFC required for the vein wall temperature to reach 80 °C TTOTFC_80 (b) on the traction speed (ν) of the TOTFC (the wavelength of laser radiation is 980 nm, the inner vein diameter is 5 mm).
Applsci 12 04925 g004
Figure 5. The dependence of TTOTFC_80 on P_80 at varied traction speed (ν) (the wavelength of laser radiation is 980 nm, the inner vein diameter is 5 mm).
Figure 5. The dependence of TTOTFC_80 on P_80 at varied traction speed (ν) (the wavelength of laser radiation is 980 nm, the inner vein diameter is 5 mm).
Applsci 12 04925 g005
Figure 6. The dependences of ΔP_80 (a) and ΔTTOTFC_80 (b) on the step of change in the traction speed TOTFC Δν, provided that the temperature of the vein wall is 80 °C (the wavelength of laser radiation is 980 nm, the inner vein diameter is 5 mm).
Figure 6. The dependences of ΔP_80 (a) and ΔTTOTFC_80 (b) on the step of change in the traction speed TOTFC Δν, provided that the temperature of the vein wall is 80 °C (the wavelength of laser radiation is 980 nm, the inner vein diameter is 5 mm).
Applsci 12 04925 g006
Figure 7. The dependence of ΔP_80 on ΔTTOTFC_80 at various Δν (the wavelength of laser radiation is 980 nm, the inner vein diameter is 5 mm).
Figure 7. The dependence of ΔP_80 on ΔTTOTFC_80 at various Δν (the wavelength of laser radiation is 980 nm, the inner vein diameter is 5 mm).
Applsci 12 04925 g007
Figure 8. Spectral luminosity densities TOTFC (u(λ,T)) at an average laser radiation power P = 10 W for traction speeds (ν) in the range 1–7 mm/s (a) and at ν = 2 mm/s for P in the range 8–14 W (b) (the wavelength of laser radiation is 980 nm, the inner vein diameter is 5 mm).
Figure 8. Spectral luminosity densities TOTFC (u(λ,T)) at an average laser radiation power P = 10 W for traction speeds (ν) in the range 1–7 mm/s (a) and at ν = 2 mm/s for P in the range 8–14 W (b) (the wavelength of laser radiation is 980 nm, the inner vein diameter is 5 mm).
Applsci 12 04925 g008
Figure 9. The dependence of the spectral luminosity density TOTFC σ (in the wavelength range 1–6 μm) on TTOTFC_80 (a) and P_80 (b) without taking into account SF(λ) and SPD(λ) and considering SF(λ) and SPD(λ) for varied PD (the wavelength of laser radiation is 980 nm, the inner vein diameter is 5 mm).
Figure 9. The dependence of the spectral luminosity density TOTFC σ (in the wavelength range 1–6 μm) on TTOTFC_80 (a) and P_80 (b) without taking into account SF(λ) and SPD(λ) and considering SF(λ) and SPD(λ) for varied PD (the wavelength of laser radiation is 980 nm, the inner vein diameter is 5 mm).
Applsci 12 04925 g009
Figure 10. The dependence of the spectral density of radiation TOTFC Δσ from ΔP_80 without taking into account SF(λ) and SPD(λ) and considering SF(λ) and SPD(λ) for varied PD (the wavelength of laser radiation is 980 nm, the inner vein diameter is 5 mm).
Figure 10. The dependence of the spectral density of radiation TOTFC Δσ from ΔP_80 without taking into account SF(λ) and SPD(λ) and considering SF(λ) and SPD(λ) for varied PD (the wavelength of laser radiation is 980 nm, the inner vein diameter is 5 mm).
Applsci 12 04925 g010
Table 1. Thermophysical parameters of optical quartz fiber, vein wall, and blood.
Table 1. Thermophysical parameters of optical quartz fiber, vein wall, and blood.
Physical Density (ρ), kg/m3Specific Heat Capacity (Cp), J/kg·KThermal Conductivity (κ), W/m·K
Optical quartz fiber22107301.4
Vein wall109034210.609
Blood106042000.52
Publisher’s Note: MDPI stays neutral with regard to jurisdictional claims in published maps and institutional affiliations.

Share and Cite

MDPI and ACS Style

Belikov, A.V.; Tung, D.T.; Fyodorova, Y.V. Controlling the Temperature on the Vein Wall Based on the Analysis of the IR Signal during Endovasal Laser Treatment. Appl. Sci. 2022, 12, 4925. https://doi.org/10.3390/app12104925

AMA Style

Belikov AV, Tung DT, Fyodorova YV. Controlling the Temperature on the Vein Wall Based on the Analysis of the IR Signal during Endovasal Laser Treatment. Applied Sciences. 2022; 12(10):4925. https://doi.org/10.3390/app12104925

Chicago/Turabian Style

Belikov, Andrey V., Do Thanh Tung, and Yulia V. Fyodorova. 2022. "Controlling the Temperature on the Vein Wall Based on the Analysis of the IR Signal during Endovasal Laser Treatment" Applied Sciences 12, no. 10: 4925. https://doi.org/10.3390/app12104925

APA Style

Belikov, A. V., Tung, D. T., & Fyodorova, Y. V. (2022). Controlling the Temperature on the Vein Wall Based on the Analysis of the IR Signal during Endovasal Laser Treatment. Applied Sciences, 12(10), 4925. https://doi.org/10.3390/app12104925

Note that from the first issue of 2016, this journal uses article numbers instead of page numbers. See further details here.

Article Metrics

Back to TopTop