Fractional-Order LQR and State Observer for a Fractional-Order Vibratory System
Abstract
1. Introduction
2. Background
2.1. Stability of Fractional-Order Dynamical System
2.2. Controllability of Fractional-Order Dynamical System
- A pair of matrices is controllable.
- The rank of the following controllability matrix is n:
2.3. Observability of Fractional-Order Dynamical System
- A pair of matrices is observable.
- The rank of the following observability matrix is n:
3. Fractional-Order Vibratory System with Viscoelasticity
4. Fractional-Order LQR Method for State Feedback Control
4.1. Design Method for Fractional-Order LQR
4.2. Iteration-Based Method for Obtaining Optimal Feedback Gains
5. Fractional-Order LQR Method for Output Feedback Control
5.1. Necessity of Fractional-Order State Observer
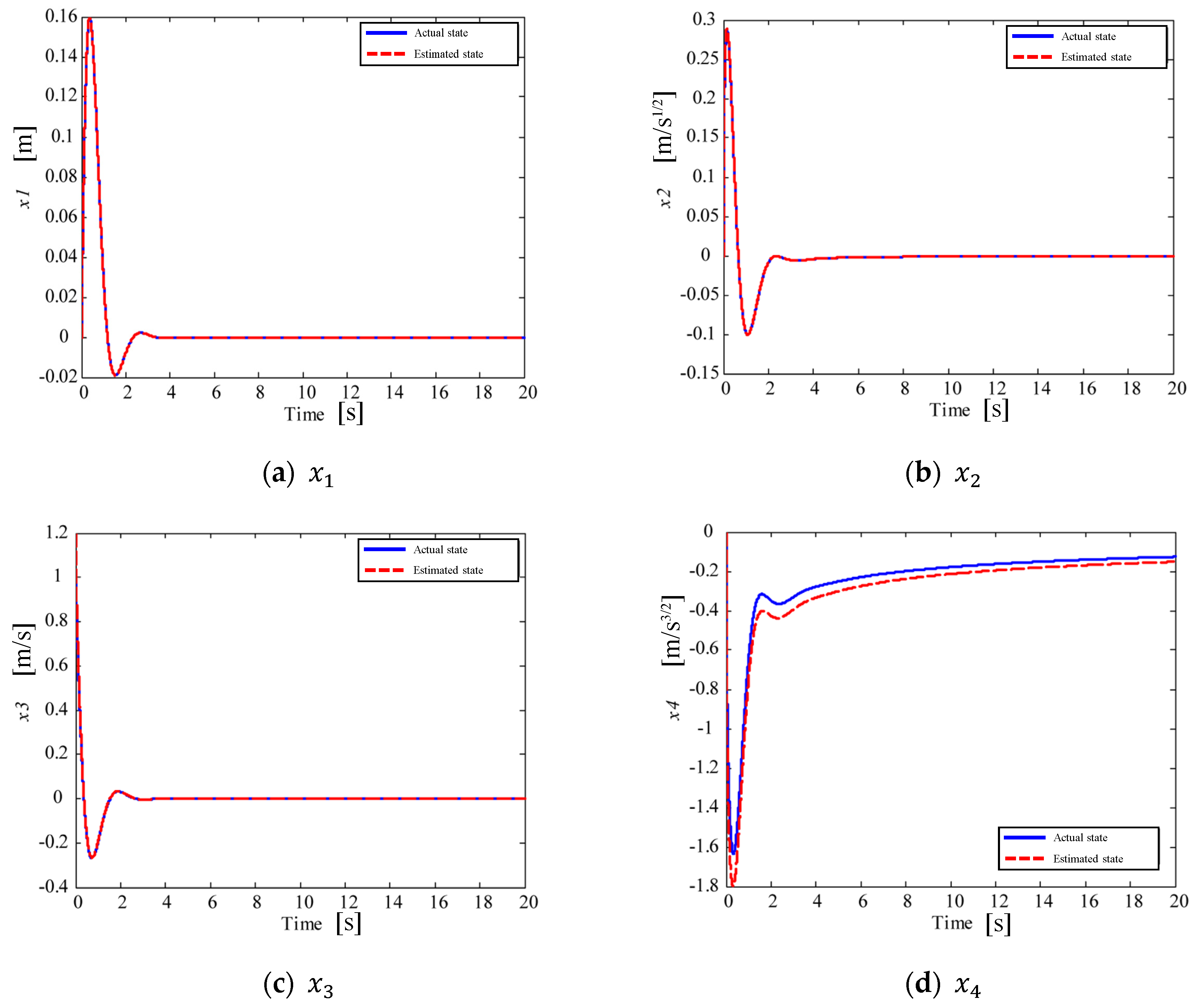
5.2. Configuration of Fractional-Order State Observer
6. Numerical Calculation Method for Fractional-Order Dynamical System
6.1. Numerical Solution of Fractional-Order State Equation
6.2. Comparison between Numerical and Exact Solutions
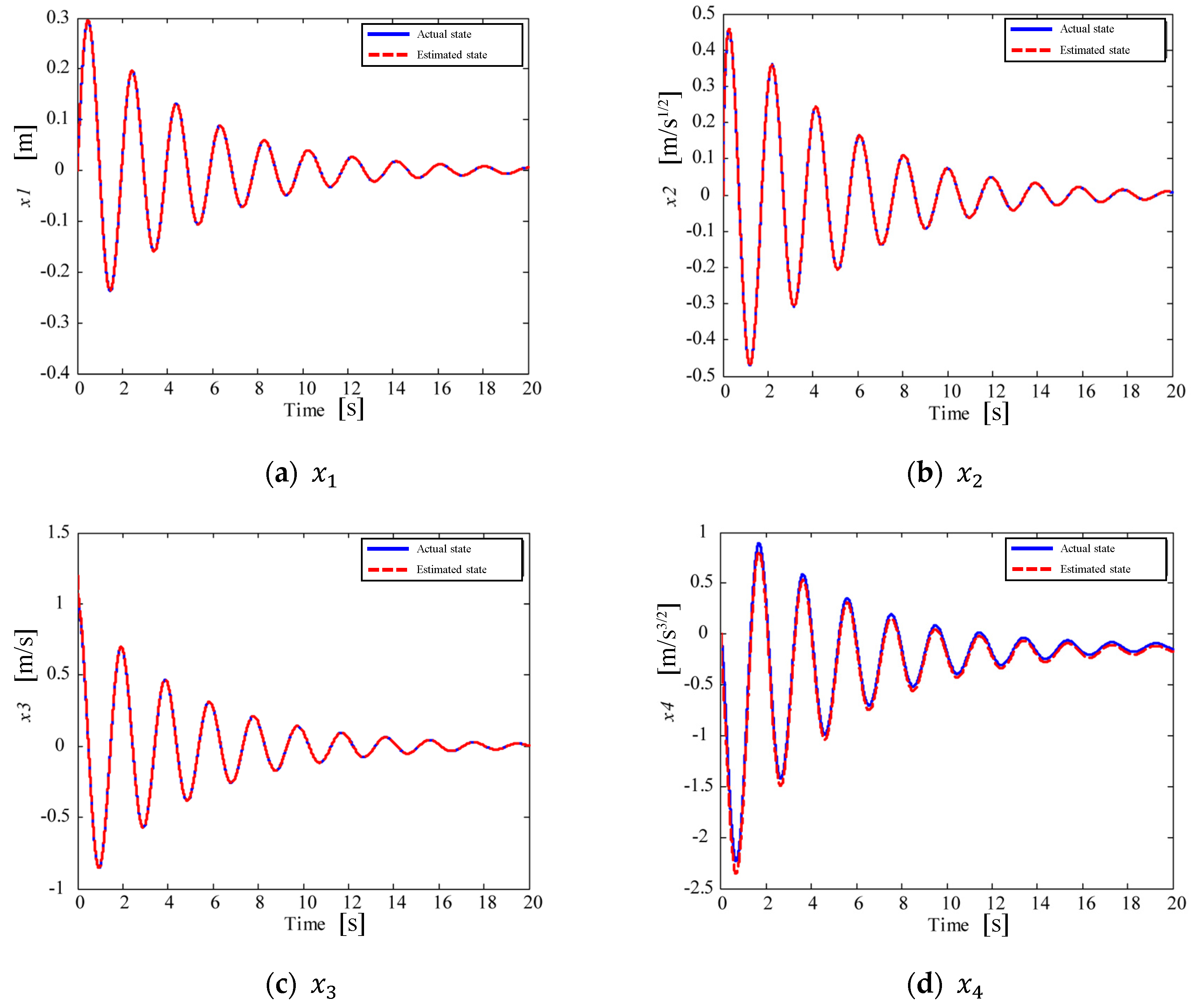
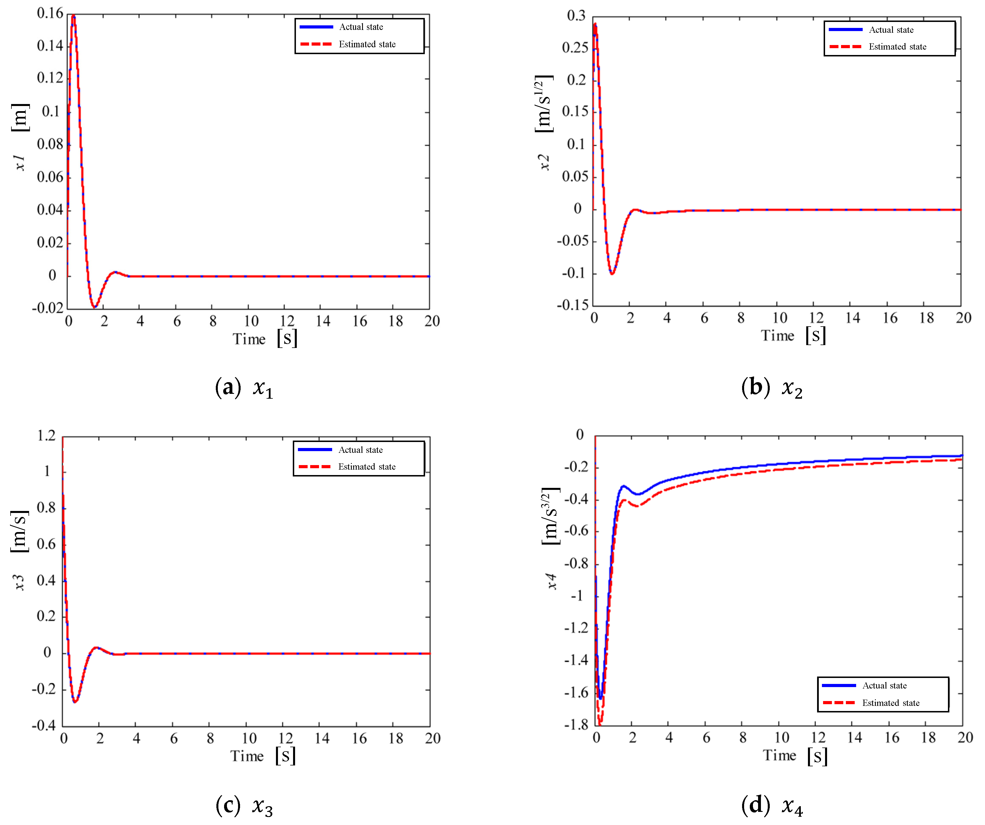
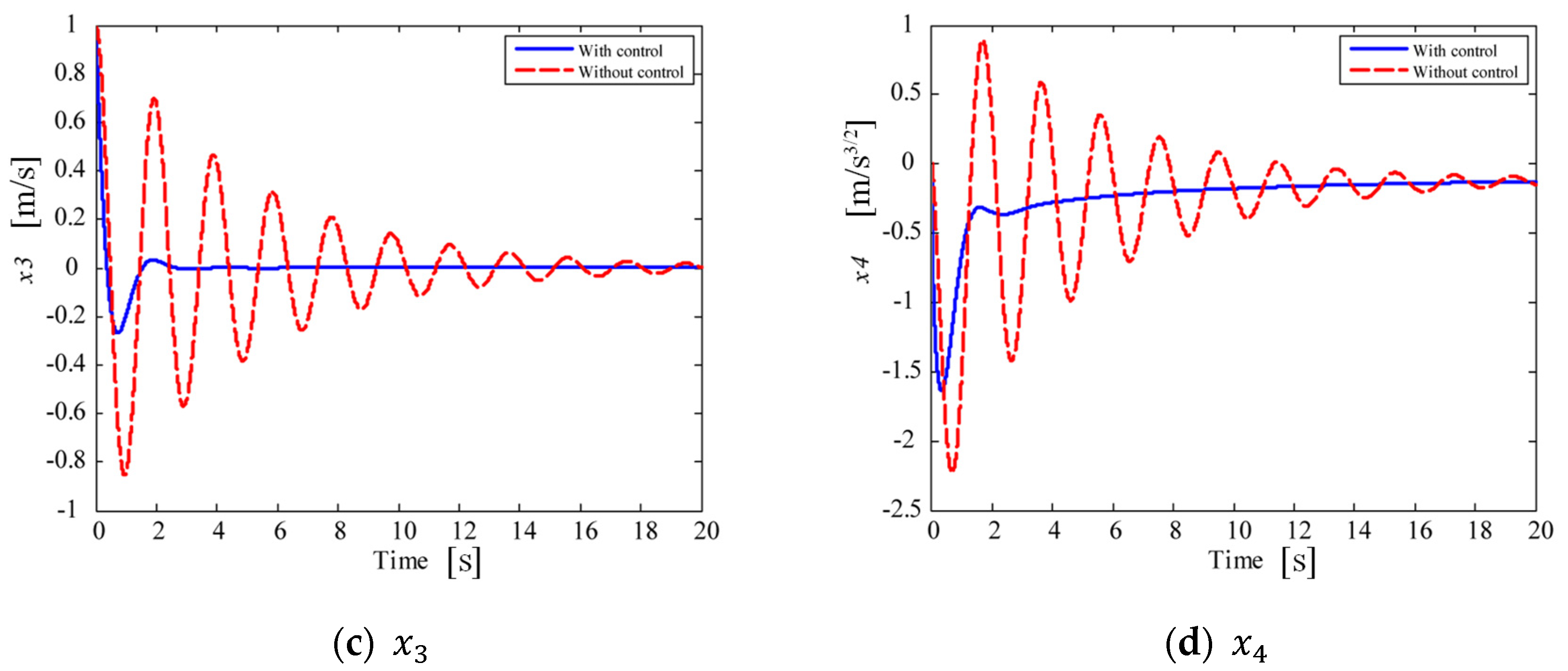
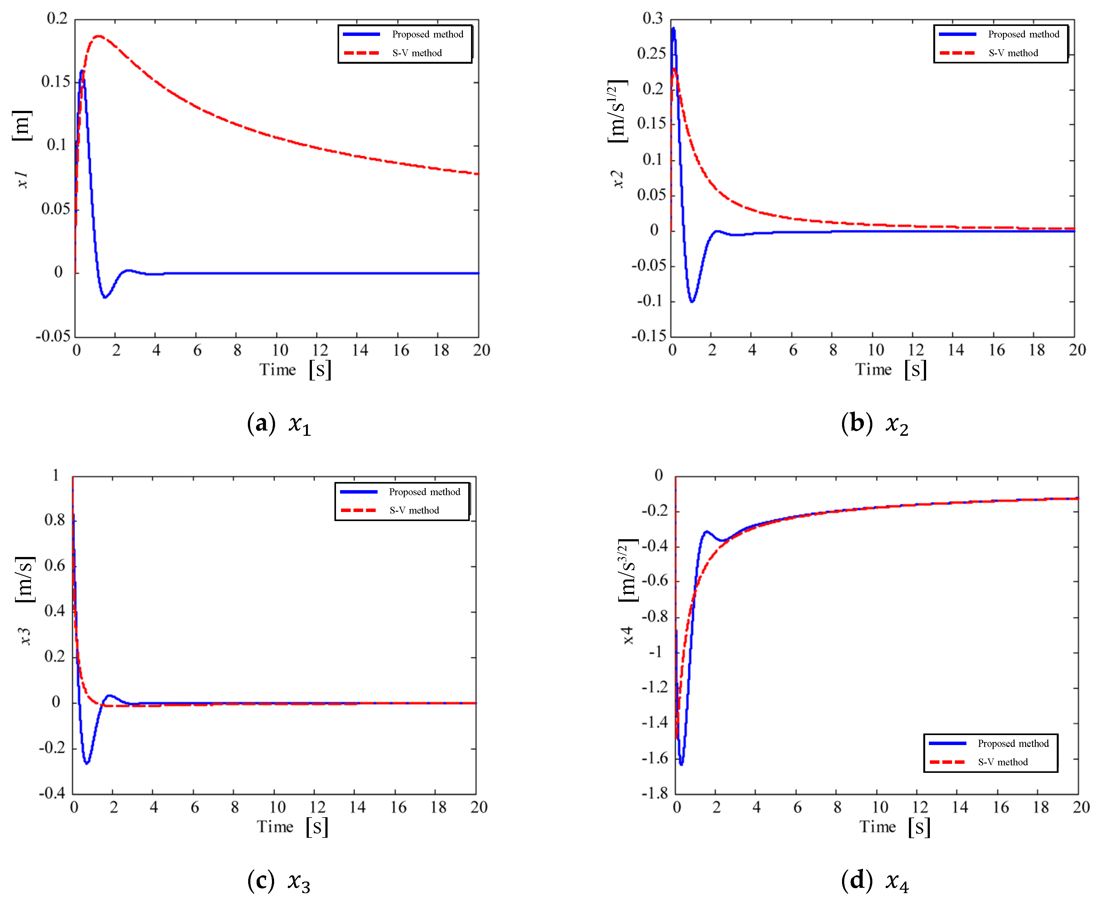
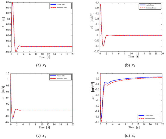
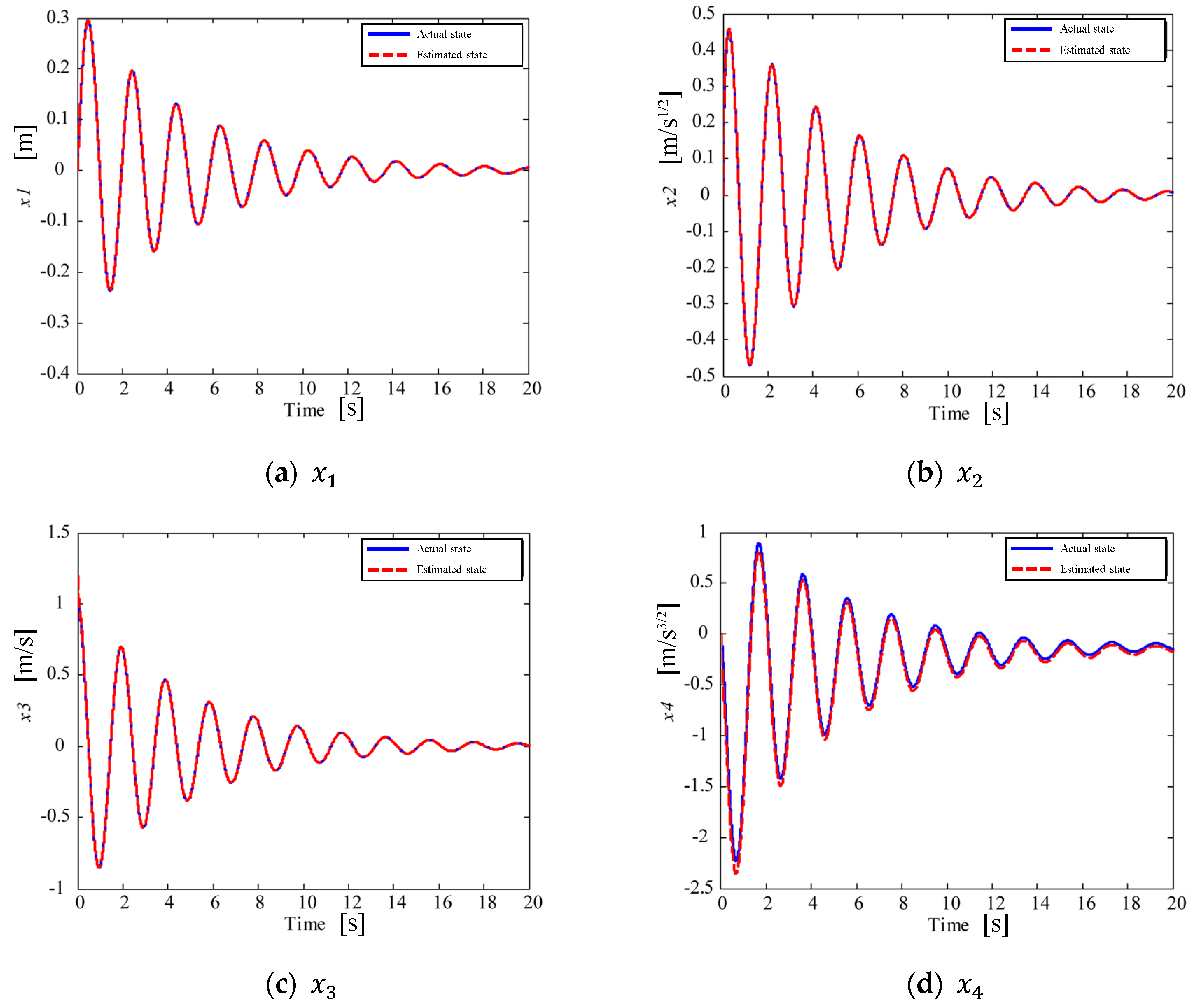
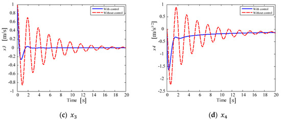
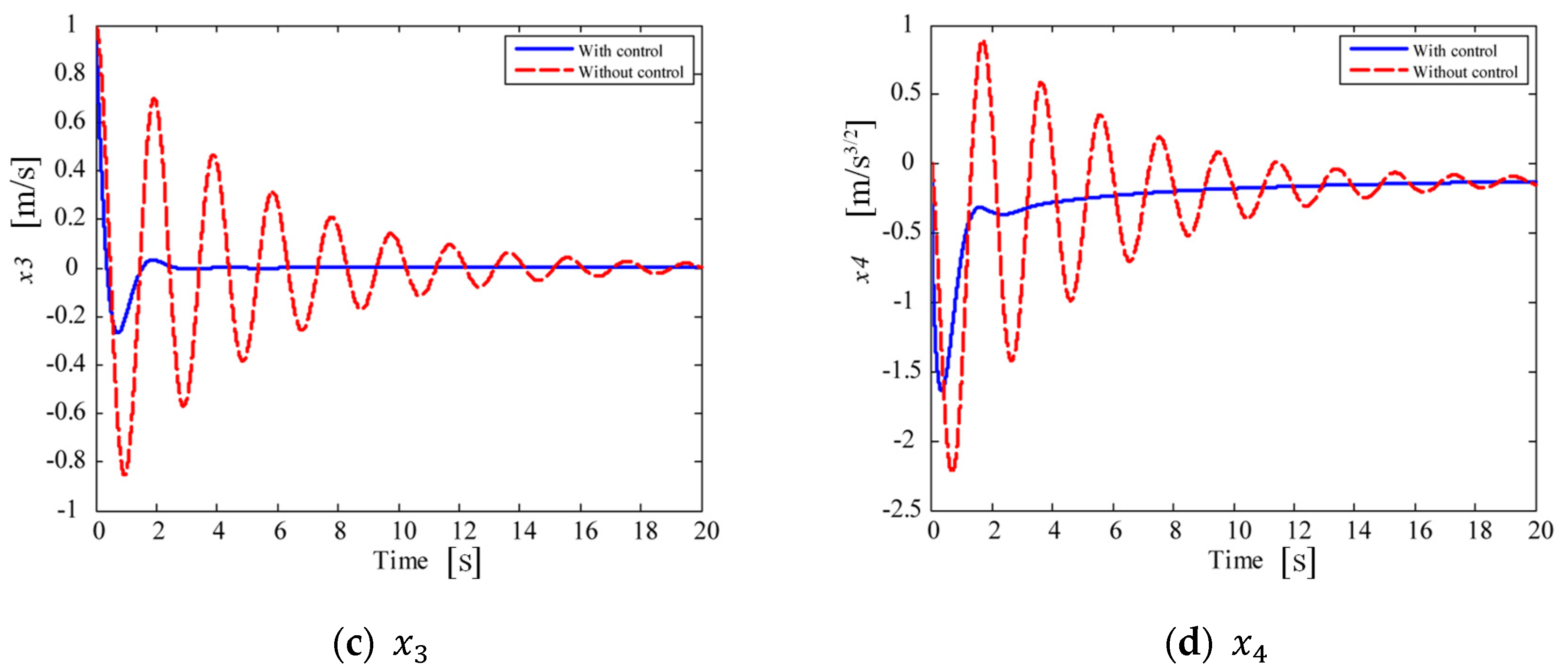
7. Illustrative Examples
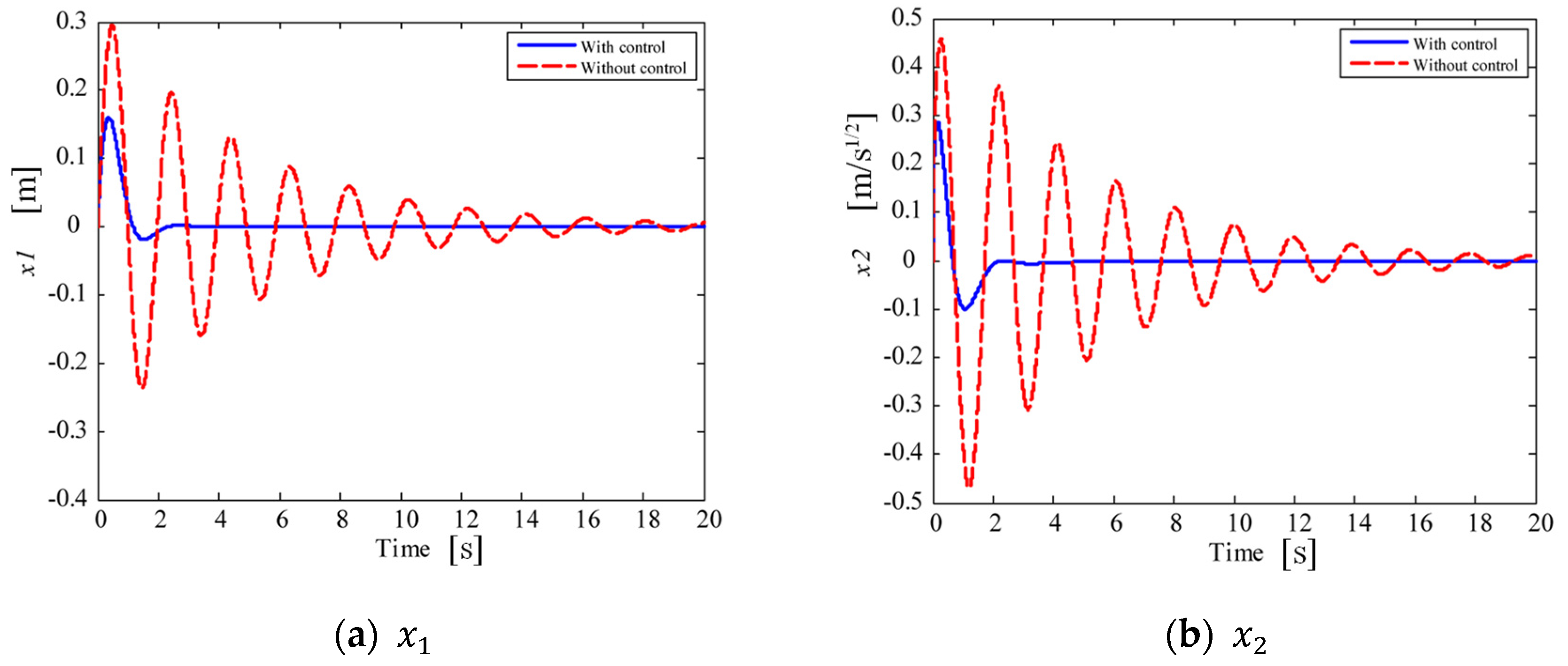
7.1. Fractional-Order LQR Control for Viscoelastic Damper System
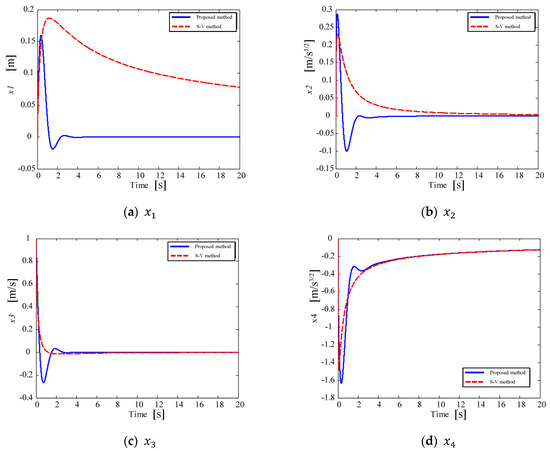
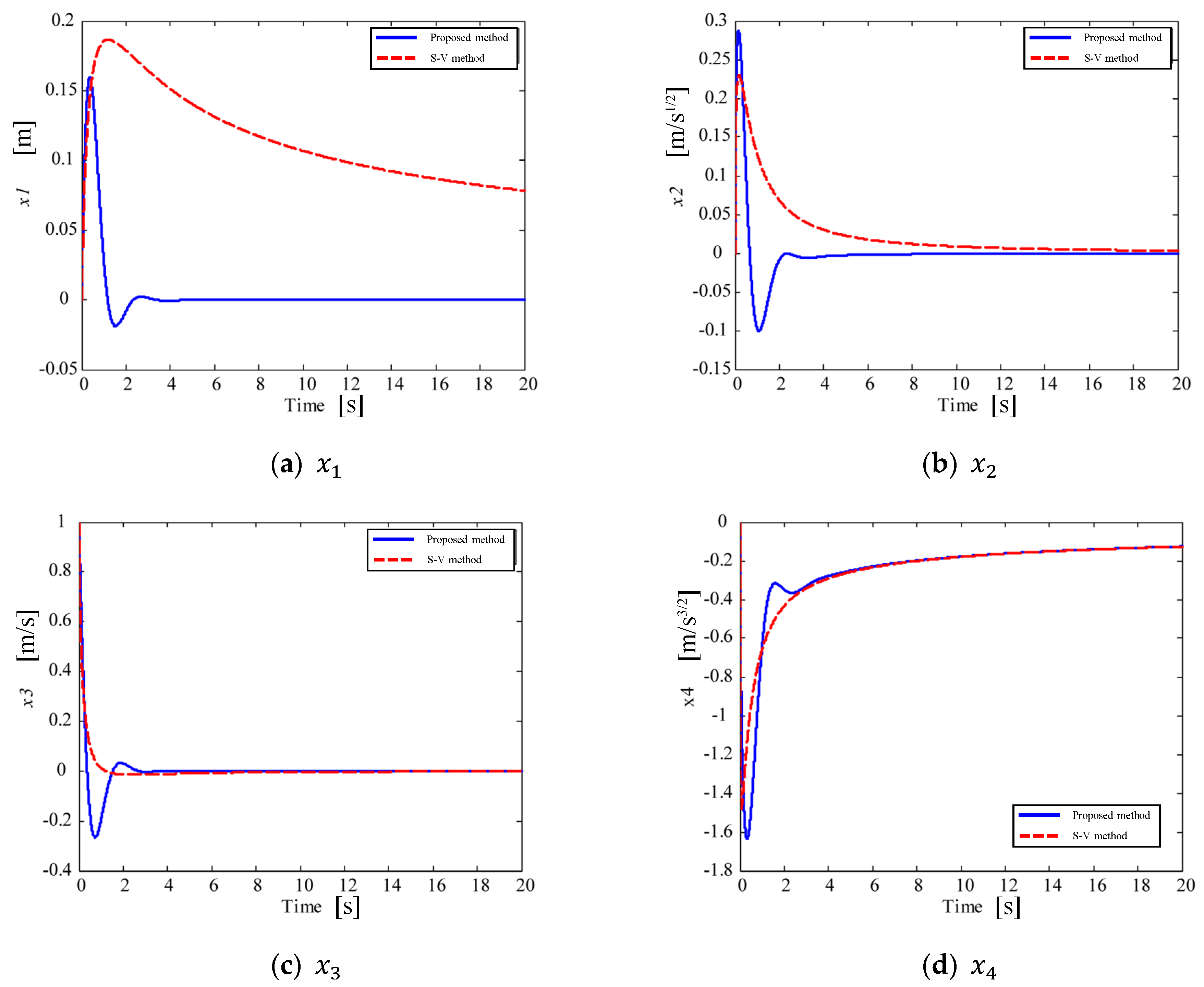
7.2. Comparison between Proposed Method and Sierociuk and Vinagre Method
8. Conclusions
Author Contributions
Funding
Institutional Review Board Statement
Informed Consent Statement
Data Availability Statement
Conflicts of Interest
References
- Oldham, K.B.; Spanier, J. The Fractional Calculus; Dover: Mineola, NY, USA, 2006. [Google Scholar]
- Podlubny, I. Fractional-order systems and PIλDμ-controllers. IEEE Trans. Autom. Control 1999, 44, 208–214. [Google Scholar] [CrossRef]
- Cajo, R.; Muresan, C.I.; Ionescu, C.M.; De Keyser, R.; Plaza, D. Multivariable Fractional Order PI Autotuning Method for Heterogeneous Dynamic Systems. In Proceedings of the 3rd IFAC Conference on Advances in Proportional-Integral-Derivative Control, Ghent, Belgium, 9–11 May 2018; pp. 865–870. [Google Scholar]
- Muresan, C.I.; Copot, C.; Birs, I.; De Keyser, R.; Vanlanduit, S.; Ionescu, C.M. Experimental Validation of a Novel Auto-Tuning Method for a Fractional Order PI Controller on an UR10 Robot. Algorithms 2018, 11, 95. [Google Scholar] [CrossRef]
- Folea, S.; De Keyser, R.; Birs, I.R.; Muresan, C.I.; Ionescu, C. Discrete-Time Implementation and Experimental Validation of a Fractional Order PD Controller for Vibration Suppression in Airplane Wings. Acta Polytech. Hung. 2017, 14, 191–206. [Google Scholar]
- Birs, I.R.; Folea, S.; Copot, D.; Prodan, O.; Muresan, C.I. Comparative analysis and experimental results of advanced control strategies for vibration suppression in aircraft wings. J. Phys. Conf. Ser. 2017, 783, 012054. [Google Scholar] [CrossRef]
- Li, H.; Luo, Y.; Chen, Y. A Fractional Order Proportional and Derivative (FOPD) Motion Controller: Tuning Rule and Experiments. IEEE Trans. Control Syst. Technol. 2010, 18, 516–520. [Google Scholar] [CrossRef]
- Swain, S.K.; Sain, D.; Mishra, S.K.; Ghosh, S. Real time implementation of fractional order PID controllers for a magnetic levitation plant. AEU Int. J. Electron. Commun. 2017, 78, 141–156. [Google Scholar] [CrossRef]
- Birs, I.R.; Muresan, C.I.; Prodan, O.; Folea, S.C.; Ionescu, C. Structural vibration attenuation using a fractional order PD controller designed for a fractional order process. IFAC-PapersOnLine 2018, 51, 533–538. [Google Scholar] [CrossRef]
- Muresan, C.I. Simplified Optimization Routine for Tuning Robust Fractional Order Controllers. Am. J. Comput. Math. 2013, 3, 7–12. [Google Scholar] [CrossRef]
- Birs, I.R.; Muresan, C.I.; Folea, S.; Prodan, O.; Kovacs, L. Vibration suppression with fractional-order PIλDμ controller. In Proceedings of the 2016 IEEE International Conference on Automation, Quality and Testing, Robotics (AQTR), Cluj-Napoca, Romania, 19–21 May 2016; pp. 1–6. [Google Scholar]
- Tejado, I.; Vinagre, B.M.; Traver, J.E.; Prieto-Arranz, J.; Nuevo-Gallardo, C. Back to Basics: Meaning of the Parameters of Fractional Order PID Controllers. Mathematics 2019, 7, 530. [Google Scholar] [CrossRef]
- Li, C.; Zhang, N.; Lai, X.; Zhou, J.; Xu, Y. Design of a fractional-order PID controller for a pumped storage unit using a gravitational search algorithm based on the Cauchy and Gaussian mutation. Inf. Sci. 2017, 396, 162–181. [Google Scholar] [CrossRef]
- Zamani, A.; Barakati, S.M.; Yousofi-Darmian, S. Design of a fractional order PID controller using GBMO algorithm for load–frequency control with governor saturation consideration. ISA Trans. 2016, 64, 56–66. [Google Scholar] [CrossRef] [PubMed]
- Padula, F.; Visioli, A. Tuning rules for optimal PID and fractional-order PID controllers. J. Process Control 2011, 21, 69–81. [Google Scholar] [CrossRef]
- Dumlu, A.; Erenturk, K. Trajectory Tracking Control for a 3-DOF Parallel Manipulator Using Fractional-Order PIlDm Control. IEEE Trans. Ind. Electron. 2014, 61, 3417–3426. [Google Scholar] [CrossRef]
- Zeng, G.-Q.; Chen, J.; Dai, Y.-X.; Li, L.-M.; Zheng, C.-W.; Chen, M.-R. Design of fractional order PID controller for automatic regulator voltage system based on multi-objective extremal optimization. Neurocomputing 2015, 160, 173–184. [Google Scholar] [CrossRef]
- Chen, Z.; Yuan, X.; Ji, B.; Wang, P.; Tian, H. Design of a fractional order PID controller for hydraulic turbine regulating system using chaotic non-dominated sorting genetic algorithm II. Energy Convers. Manag. 2014, 84, 390–404. [Google Scholar] [CrossRef]
- Sierociuk, D.; Vinagre, B.M. Infinite Horizon State-feedback LQR Controller for Fractional Systems. In Proceedings of the 49th IEEE Conference on Decision and Control, Atlanta, GA, USA, 15–17 December 2010; pp. 6674–6679. [Google Scholar]
- Das, S.; Pan, I.; Halder, K.; Das, S.; Gupta, A. LQR based improved discrete PID controller design via optimum selection of weighting matrices using fractional order integral performance index. Appl. Math. Model. 2013, 37, 4253–4268. [Google Scholar] [CrossRef]
- Li, Y.; Chen, Y.Q. Fractional Order Linear Quadratic Regulator. In Proceedings of the 2008 IEEE/ASME International Conference on Mechatronic and Embedded Systems and Applications, Beijing, China, 12–15 October 2008; pp. 363–368. [Google Scholar]
- Birs, I.; Folea, S.; Ionescu, F.; Prodan, O.; Muresan, C. Preliminary results and simulation of an active pendulum system for a three floor building. Procedia Eng. 2017, 199, 1647–1652. [Google Scholar] [CrossRef]
- Sumathi, R.; Umasankar, P. Optimal design of fractional order PID controller for time-delay systems: An IWLQR technique. Int. J. Gen. Syst. 2018, 47, 714–730. [Google Scholar] [CrossRef]
- Hartley, T.T.; Lorenzo, C.F. Dynamics and Control of Initialized Fractional-Order Systems. Nonlinear Dyn. 2002, 29, 201–233. [Google Scholar] [CrossRef]
- Tejado, I.; Vinagre, B.M.; Sierociuk, D. State space methods for fractional controllers design. In Handbook of Fractional Calculus with Applications, Vol. 6: Applications in Control; Petráš, I., Ed.; De Gruyter: Berlin, Germany, 2019; pp. 175–199. [Google Scholar]
- Monje, C.A.; Chen, Y.Q.; Vinagre, B.M.; Xue, D.; Feliu, V. Fractional-Order Systems and Controls; Springer: London, UK, 2010. [Google Scholar]
- Bagley, R.L.; Torvik, P.J. A Theoretical Basis for the Application of Fractional Calculus to Viscoelasticity. J. Rheol. 1983, 27, 201–210. [Google Scholar] [CrossRef]
- Shimizu, N.; Iijima, M. Fractional Differential Model of Viscoelastic Material. Trans. JSME C 1996, 62, 4447–4451. (In Japanese) [Google Scholar] [CrossRef][Green Version]
- Ikeda, F.; Kawata, S.; Watanabe, A. An Optimal Regulator Design of Fractional Differential Systems. Trans. Soc. Instrum. Control Eng. 2001, 37, 856–861. (In Japanese) [Google Scholar] [CrossRef][Green Version]
- Kodama, S.; Suda, N. Matrix Theory for Systems and Control; SICE, Ed.; Corona: Tokyo, Japan, 1981. (In Japanese) [Google Scholar]
- Dadras, S.; Momeni, H.R. A New Fractional Order Observer Design for Fractional Order Nonlinear Systems. In Proceedings of the ASME 2011 International Design Engineering Technical Conferences and Computers and Information in Engineering Conference, Washington, DC, USA, 28–31 August 2011; Volume 3, pp. 403–408. [Google Scholar]
- Matignon, D.; d’Andréa-Novel, B. Observer-based controllers for fractional differential systems. In Proceedings of the 36th Conference on Decision and Control, San Diego, CA, USA, 10–12 December 1997; pp. 4967–4972. [Google Scholar]
- Zhang, W.; Shimizu, N. Numerical Algorithm for Dynamic Problems Involving Fractional Operators. JSME Int. J. Ser. C 1998, 41, 364–370. [Google Scholar]
- Fukunaga, M.; Shimizu, N. A high-speed algorithm for computation of fractional differentiation and fractional integration. Phil. Trans. R. Soc. A 2013, 371, 20120152. [Google Scholar] [CrossRef]
- Chen, Y.Q.; Petráš, I.; Xue, D. Fractional Order Control—A Tutorial. In Proceedings of the 2009 American Control Conference, St. Louis, MO, USA, 10–12 June 2009; pp. 1397–1411. [Google Scholar]
- Xue, D. Fractional-Order Control Systems; De Gruyter: Berlin, Germany, 2017. [Google Scholar]
- Ikeda, F.; Kawata, S.; Oguchi, T. Vibration Control of Flexible Structures with Fractional Differential Active Mass Dampers. Trans. JSME C 2001, 67, 2798–2805. (In Japanese) [Google Scholar] [CrossRef][Green Version]












Publisher’s Note: MDPI stays neutral with regard to jurisdictional claims in published maps and institutional affiliations. |
© 2021 by the authors. Licensee MDPI, Basel, Switzerland. This article is an open access article distributed under the terms and conditions of the Creative Commons Attribution (CC BY) license (https://creativecommons.org/licenses/by/4.0/).
Share and Cite
Takeshita, A.; Yamashita, T.; Kawaguchi, N.; Kuroda, M. Fractional-Order LQR and State Observer for a Fractional-Order Vibratory System. Appl. Sci. 2021, 11, 3252. https://doi.org/10.3390/app11073252
Takeshita A, Yamashita T, Kawaguchi N, Kuroda M. Fractional-Order LQR and State Observer for a Fractional-Order Vibratory System. Applied Sciences. 2021; 11(7):3252. https://doi.org/10.3390/app11073252
Chicago/Turabian StyleTakeshita, Akihiro, Tomohiro Yamashita, Natsuki Kawaguchi, and Masaharu Kuroda. 2021. "Fractional-Order LQR and State Observer for a Fractional-Order Vibratory System" Applied Sciences 11, no. 7: 3252. https://doi.org/10.3390/app11073252
APA StyleTakeshita, A., Yamashita, T., Kawaguchi, N., & Kuroda, M. (2021). Fractional-Order LQR and State Observer for a Fractional-Order Vibratory System. Applied Sciences, 11(7), 3252. https://doi.org/10.3390/app11073252

