Influence of Digester Temperature on Methane Yield of Organic Fraction of Municipal Solid Waste (OFMSW)
Abstract
1. Introduction
1.1. OFMSW as a Resource
1.2. Operating Temperatures in AD
1.3. AD of OFMSW
1.4. Aim of the Study
2. Materials and Methods
2.1. Substrate Characteristics
2.1.1. Sampling of OFMSW and Digested Sewage Sludge (DSS)
2.1.2. DM, oDM, and Processing
2.1.3. Elemental Analysis and Stoichiometric Biogas Potentials
2.2. AD Experiments and Process Monitoring
3. Results and Discussion
3.1. Characteristics of Raw OFMSW and DSS
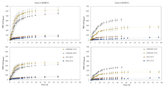
3.2. Influence of Process Temperature on AD of OFMSW
3.3. Efficiency Potentials through Lowered Process Temperatures
4. Conclusions
Author Contributions
Funding
Institutional Review Board Statement
Informed Consent Statement
Data Availability Statement
Acknowledgments
Conflicts of Interest
Abbreviations
| AD | anaerobic digestion | 
| DM | dry matter | 
| DSS | digested sewage sludge | 
| FM | fresh mass | 
| GHG | greenhouse gas(es) | 
| HRT | hydraulic retention time | 
| oDM | organic dry matter | 
| MSW | municipal solid waste | 
| OFMSW | organic fraction of municipal solid waste | 
| SBG | specific biogas yield | 
| SD | standard deviation | 
| SMY | specific methane yield | 
Appendix A
References
- Campuzano, R.; González-Martínez, S. Characteristics of the organic fraction of municipal solid waste and methane production: A review. Waste Manag. 2016, 54, 3–12. [Google Scholar] [CrossRef] [PubMed]
 - Vea, E.B.; Romeo, D.; Thomsen, M. Biowaste valorisation in a future circular bioeconomy. Procedia CIRP 2018, 69, 591–596. [Google Scholar] [CrossRef]
 - CD. 1999/31/EC. Council Directive on the Landfill of Waste. Available online: https://eur-lex.europa.eu/legal-content/EN/TXT/PDF/?uri=CELEX:31999L0031&from=DE (accessed on 26 January 2021).
 - D. 2008/98/EC. Directive 2008/98/EC of the European Parliament and of the Council on waste and repealing certain Directives. Available online: https://eur-lex.europa.eu/legal-content/EN/TXT/PDF/?uri=CELEX:32008L0098&from=EN (accessed on 26 January 2021).
 - D. 2018/850. Directive (EU) 2018/850 of the European Parliament and of the Council amending Directive 1999/31/EC on the Landfill of Waste. Available online: https://eur-lex.europa.eu/legal-content/EN/TXT/PDF/?uri=CELEX:32018L0850&from=EN (accessed on 26 January 2021).
 - Lin, L.; Xu, F.; Ge, X.; Li, Y. Improving the sustainability of organic waste management practices in the food-energy-water nexus: A comparative review of anaerobic digestion and composting. Renew. Sustain. Energy Rev. 2018, 89, 151–167. [Google Scholar] [CrossRef]
 - Hungría, J.; Gutiérrez, M.C.; Siles, J.A.; Martín, M.A. Advantages and drawbacks of OFMSW and winery waste co-composting at pilot scale. J. Clean. Prod. 2017, 164, 1050–1057. [Google Scholar] [CrossRef]
 - Mata-Alvarez, J.; Macé, S.; Llabrés, P. Anaerobic digestion of organic solid wastes. An overview of research achievements and perspectives. Bioresour. Technol. 2000, 74, 3–16. [Google Scholar] [CrossRef]
 - Rocamora, I.; Wagland, S.T.; Villa, R.; Simpson, E.W.; Fernández, O.; Bajón-Fernández, Y. Dry anaerobic digestion of organic waste: A review of operational parameters and their impact on process performance. Bioresour. Technol. 2020, 299, 122681. [Google Scholar] [CrossRef]
 - Reichard, T. Biogasanlagen in der Steiermark: Eine Bestandsaufnahme im Juli 2005; 2006. Available online: https://www.abfallwirtschaft.steiermark.at/cms/dokumente/10212870_46555/a8aebd7f/Gesamtwerk_Biogasanlage_in_der_Steiermark_Internetversion.pdf (accessed on 11 May 2020).
 - Sankoh, F.P.; Yan, X.; Tran, Q. Environmental and health impact of solid waste disposal in developing cities: A case study of Granville Brook Dumpsite, Freetown, Sierra Leone. JEP 2013, 4, 665–670. [Google Scholar] [CrossRef]
 - Malinauskaite, J.; Jouhara, H.; Czajczyńska, D.; Stanchev, P.; Katsou, E.; Rostkowski, P.; Thorne, R.J.; Colón, J.; Ponsá, S.; Al-Mansour, F.; et al. Municipal solid waste management and waste-to-energy in the context of a circular economy and energy recycling in Europe. Energy 2017, 141, 2013–2044. [Google Scholar] [CrossRef]
 - Awiszus, S.; Meissner, K.; Reyer, S.; Müller, J. Gärrestverwertung in Einer Warmlufttrocknungsanlage mit Integrierter Stickstoffrückgewinnung; Landtechnik: Darmstadt, Germany, 2018. [Google Scholar] [CrossRef]
 - United Nations General Assembly. The Future We Want. Available online: https://www.un.org/en/development/desa/population/migration/generalassembly/docs/globalcompact/A_RES_66_288.pdf (accessed on 11 May 2020).
 - Jain, S.; Newman, D.; Nzihou, A.; Dekker, H.; Le Feuvre, P.; Richter, H.; Gobe, F.; Morton, C.; Thompson, R. Global Potential of Biogas; 2019. Available online: https://www.worldbiogasassociation.org/wp-content/uploads/2019/09/WBA-globalreport-56ppa4_digital-Sept-2019.pdf (accessed on 4 March 2021).
 - Hussein, A.I.; Mansour, M.S.M. Solid waste issue: Sources, composition, disposal, recycling, and valorization. Egypt. J. Pet. 2018, 27, 1275–1290. [Google Scholar] [CrossRef]
 - Saini, R.; Osorio-Gonzalez, C.S.; Hegde, K.; Brar, S.K.; Magdouli, S.; Vezina, P.; Avalos-Ramirez, A. Lignocellulosic biomass-based biorefinery: An insight into commercialization and economic standout. Curr. Sustain. Renew. Energy Rep. 2020, 7, 122–136. [Google Scholar] [CrossRef]
 - Sara, M.; Rouissi, T.; Brar, S.K.; Blais, J.F. Life Cycle Analysis of Potential Substrates of Sustainable Biorefinery. In Platform Chemical Biorefinery; Elsevier: Amsterdam, The Netherlands, 2016; pp. 55–76. ISBN 9780128029800. [Google Scholar]
 - Wilken, D.; Bontempo, G.; Fürst, M.; Hofmann, F.; Strippel, F.; Kramer, A.; Ricci-Jürgensen, M. Biowaste to Biogas. Available online: https://www.biogas.org/edcom/webfvb.nsf/id/DE-biowaste-to-biogas_eng/$file/biowaste-to-biogas.pdf (accessed on 3 March 2021).
 - Fritsche, W.; Laplace, F. Mikrobiologie; Spektrum Akad. Verl.: Berlin/Heidelberg, Germany, 2002; ISBN 3827411076. [Google Scholar]
 - Munk, K.; Dersch, P.; Eikmanns, B.; Eikmanns, M.; Fischer, R.; Jahn, D.; Jahn, M.; Nethe-Jaenchen, R.; Requena, N.; Schultzem, B. Mikrobiologie: Taschenlehrbuch Biologie; Thieme: Stuttgart, Germany, 2008; ISBN 978-3-13-144861-3. [Google Scholar]
 - Energie aus Biomasse: Grundlagen, Techniken und Verfahren; Kaltschmitt, M., Hartmann, H., Hofbauer, H., Eds.; Springer Vieweg: Berlin/Heidelberg, Germany, 2016; ISBN 9783662474389. [Google Scholar]
 - Kämpfer, P.; Weißenfels, W.D. Biologische Behandlung Organischer Abfälle, 1st ed.; Springer: Berlin/Heidelberg, Germany, 2012; ISBN 3642626238. [Google Scholar]
 - Mähnert, P. Kinetik der Biogasproduktion aus Nachwachsenden Rohstoffen und Gülle. 2007. Available online: https://edoc.hu-berlin.de/bitstream/handle/18452/16303/maehnert.pdf?sequence=1&isAllowed=y (accessed on 5 March 2021).
 - Westerholm, M.; Isaksson, S.; Sun, L.; Schnürer, A. Microbial community ability to adapt to altered temperature conditions influences operating stability in anaerobic digestion. Energy Procedia 2017, 105, 895–900. [Google Scholar] [CrossRef]
 - Jain, S.; Wolf, I.T.; Lee, J.; Tong, Y.W. A comprehensive review on operating parameters and different pretreatment methodologies for anaerobic digestion of municipal solid waste. Renew. Sustain. Energy Rev. 2015, 52, 142–154. [Google Scholar] [CrossRef]
 - Vindis, P.; Mursec, B.; Janzekovic, M.; Cus, F. The impact of mesophilic and thermophilic anaerobic digestion on biogas production. J. Achiev. Mater. Manuf. Eng. 2009, 36, 192–198. [Google Scholar]
 - BMJV. Verordnung über die Verwertung von Bioabfällen auf landwirtschaftlich, forstwirtschaftlich und gärtnerisch genutzten Böden (Bioabfallverordnung): BioAbfV. Available online: https://www.gesetze-im-internet.de/bioabfv/BioAbfV.pdf (accessed on 29 January 2021).
 - Zábranská, J.; Štěpová, J.; Wachtl, R.; Jeníček, P.; Dohányos, M. The activity of anaerobic biomass in thermophilic and mesophilic digesters at different loading rates. Water Sci. Technol. 2000, 42, 49–56. [Google Scholar] [CrossRef]
 - Ahring, B.K.; Ibrahim, A.A.; Mladenovska, Z. Effect of temperature increase from 55 to 65 °C on performance and microbial population dynamics of an anaerobic reactor treating cattle manure. Water Res. 2001, 35, 2446–2452. [Google Scholar] [CrossRef]
 - Kashyap, D.R.; Dadhich, K.S.; Sharma, S.K. Biomethanation under psychrophilic conditions: A review. Bioresour. Technol. 2003, 87, 147–153. [Google Scholar] [CrossRef]
 - Connaughton, S.; Collins, G.; O’Flaherty, V. Psychrophilic and mesophilic anaerobic digestion of brewery effluent: A comparative study. Water Res. 2006, 40, 2503–2510. [Google Scholar] [CrossRef] [PubMed]
 - LfU. Biogashandbuch Bayern. Available online: https://www.lfu.bayern.de/energie/biogashandbuch/index.htm (accessed on 11 May 2020).
 - Effenberger, M.; Kaiser, F.; Metzner, T.; Gronauer, A. Sicherung der Prozessstabilität in Landwirtschaftlichen Biogasanlagen; Information Bayerische Landesanstalt für Landwirtschaft: Freising-Weihenstephan, Germany, 2008. [Google Scholar]
 - Amon, T.; Behrendt, U.P.; Daniel-Gromke, J. Leitfaden Biogas: Von der Gewinnung zur Nutzung; FNR: Gülzow, Germany, 2013; ISBN 3-00-014333-5. [Google Scholar]
 - Donoso-Bravo, A.; Bandara, W.M.K.R.T.W.; Satoh, H.; Ruiz-Filippi, G. Explicit temperature-based model for anaerobic digestion: Application in domestic wastewater treatment in a UASB reactor. Bioresour. Technol. 2013, 133, 437–442. [Google Scholar] [CrossRef][Green Version]
 - Fernández-Rodríguez, J.; Pérez, M.; Romero, L.I. Comparison of mesophilic and thermophilic dry anaerobic digestion of OFMSW: Kinetic analysis. Chem. Eng. J. 2013, 232, 59–64. [Google Scholar] [CrossRef]
 - Szyłak-Szydłowski, M.; Kulig, A.; Miaśkiewicz-Pęska, E. Seasonal changes in the concentrations of airborne bacteria emitted from a large wastewater treatment plant. Int. Biodeterior. Biodegrad. 2016, 115, 11–16. [Google Scholar] [CrossRef]
 - Liu, D.; Zhang, L.; Chen, S.; Buisman, C.; Ter, H.A. Bioelectrochemical enhancement of methane production in low temperature anaerobic digestion at 10 °C. Water Res. 2016, 99, 281–287. [Google Scholar] [CrossRef]
 - Chala, B.; Oechsner, H.; Müller, J. Introducing temperature as variable parameter into kinetic models for anaerobic fermentation of coffee husk, pulp and mucilage. Appl. Sci. 2019, 9, 412. [Google Scholar] [CrossRef]
 - Kumar, A.; Samadder, S.R. Performance evaluation of anaerobic digestion technology for energy recovery from organic fraction of municipal solid waste: A review. Energy 2020, 197, 117253. [Google Scholar] [CrossRef]
 - Jaimes-Estévez, J.; Zafra, G.; Martí-Herrero, J.; Pelaz, G.; Morán, A.; Puentes, A.; Gomez, C.; Castro, L.d.P.; Escalante Hernández, H. Psychrophilic Full scale tubular digester operating over eight years: Complete performance evaluation and microbiological population. Energies 2021, 14, 151. [Google Scholar] [CrossRef]
 - Lanko, I.; Flores, L.; Garfí, M.; Todt, V.; Posada, J.A.; Jenicek, P.; Ferrer, I. Life cycle assessment of the mesophilic, thermophilic, and temperature-phased anaerobic digestion of sewage sludge. Water 2020, 12, 3140. [Google Scholar] [CrossRef]
 - Pasalari, H.; Gholami, M.; Rezaee, A.; Esrafili, A.; Farzadkia, M. Perspectives on microbial community in anaerobic digestion with emphasis on environmental parameters: A systematic review. Chemosphere 2021, 270, 128618. [Google Scholar] [CrossRef]
 - Cavinato, C.; Bolzonella, D.; Pavan, P.; Fatone, F.; Cecchi, F. Mesophilic and thermophilic anaerobic co-digestion of waste activated sludge and source sorted biowaste in pilot- and full-scale reactors. Renew. Energy 2013, 55, 260–265. [Google Scholar] [CrossRef]
 - Derbal, K.; Bencheikh-Lehocine, M.; Meniai, A.H. Study of biodegradability of organic fraction of municipal solids waste. Energy Procedia 2012, 19, 239–248. [Google Scholar] [CrossRef][Green Version]
 - Moya, D.; Aldás, C.; López, G.; Kaparaju, P. Municipal solid waste as a valuable renewable energy resource: A worldwide opportunity of energy recovery by using waste-to-energy technologies. Energy Procedia 2017, 134, 286–295. [Google Scholar] [CrossRef]
 - Rajagopal, R.; Bellavance, D.; Rahaman, M.S. Psychrophilic anaerobic digestion of semi-dry mixed municipal food waste: For North American context. Process Saf. Environ. Protect. 2017, 105, 101–108. [Google Scholar] [CrossRef]
 - Lettinga, G. Challenge of psychrophilic anaerobic wastewater treatment. Trends Biotechnol. 2001, 19, 363–370. [Google Scholar] [CrossRef]
 - Saady, N.M.C.; Massé, D.I. Starting-up low temperature dry anaerobic digestion of cow feces and wheat straw. Renew. Energy 2016, 88, 439–444. [Google Scholar] [CrossRef]
 - King, S.M.; Barrington, S.; Guiot, S.R. In-storage psychrophilic anaerobic digestion of swine manure: Acclimation of the microbial community. Biomass Bioenergy 2011, 35, 3719–3726. [Google Scholar] [CrossRef][Green Version]
 - Hussain, A.; Dubey, S.K. Specific methanogenic activity test for anaerobic degradation of influents. Appl. Water Sci. 2017, 7, 535–542. [Google Scholar] [CrossRef]
 - Watanabe, K.; Koyama, M.; Ueda, J.; Ban, S.; Kurosawa, N.; Toda, T. Effect of operating temperature on anaerobic digestion of the Brazilian waterweed Egeria densa and its microbial community. Anaerobe 2017, 47, 8–17. [Google Scholar] [CrossRef]
 - Gaby, J.C.; Zamanzadeh, M.; Horn, S.J. The effect of temperature and retention time on methane production and microbial community composition in staged anaerobic digesters fed with food waste. Biotechnol. Biofuels 2017, 10, 302. [Google Scholar] [CrossRef] [PubMed]
 - McAteer, P.G.; Christine Trego, A.; Thorn, C.; Mahony, T.; Abram, F.; O’Flaherty, V. Reactor configuration influences microbial community structure during high-rate, low-temperature anaerobic treatment of dairy wastewater. Bioresour. Technol. 2020, 307, 123221. [Google Scholar] [CrossRef]
 - Luning, L.; van Zundert, E.H.M.; Brinkmann, A.J.F. Comparison of dry and wet digestion for solid waste. Water Sci. Technol. 2003, 48, 15–20. [Google Scholar] [CrossRef] [PubMed]
 - Rajagopal, R.; Ghosh, D.; Ashraf, S.; Goyette, B.; Zhao, X. Effects of low-temperature dry anaerobic digestion on methane production and pathogen reduction in dairy cow manure. Int. J. Environ. Sci. Technol. 2019, 16, 4803–4810. [Google Scholar] [CrossRef]
 - Kern, M.; Raussen, T. Biogas-Atlas; 1. Aufl.; Witzenhausen-Institut für Abfall, Umwelt und Energie GmbH: Witzenhausen, Germany, 2014; ISBN 392867367X. [Google Scholar]
 - Thien, T.; Cu, T.; Cuong, P.H.; Le, H.T.; van Chao, N.; Le Anh, X.; Trach, N.X.; Sommer, S.G. Manure management practices on biogas and non-biogas pig farms in developing countries–using livestock farms in Vietnam as an example. J. Clean. Prod. 2012, 27, 64–71. [Google Scholar] [CrossRef]
 - Daniel-Gromke, J. Anlagenbestand Biogas und Biomethan-Biogaserzeugung und-nutzung in Deutschland: (FKZ 37EV 16 111 0); DBFZ Deutsches Biomasseforschungszentrum Gemeinnützige GmbH: Leipzig, Germany, 2017; ISBN 978-3-946629-24-5. [Google Scholar]
 - Fachverband Biogas. Branchenzahlen 2018 und Prognose der Branchenentwicklung 2019. 2019. Available online: https://www.biogas.org/edcom/webfvb.nsf/id/de_branchenzahlen (accessed on 11 May 2020).
 - Völler, K. Branchenbarometer Biomethan 2020. Available online: https://www.dena.de/fileadmin/dena/Publikationen/PDFs/2020/Brachenbarometer_Biomethan_2020.pdf (accessed on 26 January 2021).
 - Guss, H.; Pertagnol, J.; Hauser, E.; Wern, B.; Baur, F.; Gärtner, S.; Rettenmaier, N.; Reinhardt, G. Biogas-Quo Vadis? Saarbrücken: Heidelberg, Germany, 2016; Available online: https://www.ifeu.de/fileadmin/uploads/landwirtschaft/pdf/Biogas_quo_vadis_final_report_2016.pdf (accessed on 27 February 2021).
 - Scheftelowitz, M.; Rensberg, N.; Denysenko, V.; Daniel-Gromke, J.; Stinner, W.; Hillebrand, K.; Naumann, K.; Peetz, D.; Hennig, C.; Thrän, D.; et al. Stromerzeugung aus Biomasse-Vorhaben IIa Biomasse: Zwischenbericht Mai 2015; Leipzig. 2015. Available online: https://www.dbfz.de/fileadmin/eeg_monitoring/berichte/01_Monitoring_ZB_Mai_2015.pdf (accessed on 27 February 2021).
 - Barchmann, T.; Pohl, M.; Denysenko, V.; Fischer, E.; Hofmann, J.; Lenhart, M.; Postel, J.; Liebetrau, J.; Effenberger, M.; Kissel, R.; et al. Biogas-Messprogramm III, Gülzow. 2021. Available online: https://biogas.fnr.de/biogasmessprogramm-iii/ (accessed on 27 February 2021).
 - VDI 4630. Fermentation of Organic Materials: Characterisation of the Substrate, Sampling, Collection of Material Data, Fermentation Tests; Verein Deutscher Ingenieure e.V.: Düsseldorf, Germany, Sweden, 2016. [Google Scholar]
 - DIN EN 12579. Bodenverbesserungsmittel und Kultursubstrate-Probenahme 65.080; Beuth Verlag: Berlin, Germany, 2014. [Google Scholar]
 - DIN EN 13040. Bodenverbesserungsmittel und Kultursubstrate-Probenherstellung für Chemische und Physikalische Untersuchungen, Bestimmung des Trockenrückstands, des Feuchtigkeitsgehaltes und der Laborschüttdichte 65.080; Beuth Verlag: Berlin, Germany, 2008. [Google Scholar]
 - DIN EN 14775. Feste Biobrennstoffe-Bestimmung des Aschegehaltes 75.160.10; Beuth Verlag: Berlin, Germany, 2012. [Google Scholar]
 - DIN EN 13039. Bodenverbesserungsmittel und Kultursubstrate-Bestimmung des Gehaltes an organischer Substanz und Asche; Beuth Verlag: Berlin, Germany, 2012. [Google Scholar]
 - DIN EN ISO 16948. Biogene Festbrennstoffe-Bestimmung des Gesamtgehaltes an Kohlenstoff, Wasserstoff und Stickstoff 75.160.10; Beuth Verlag: Berlin, Germany, 2015. [Google Scholar]
 - Boyle, W.C. Energy recovery from sanitary landfills-a review. In Microbial Energy Conversion, Proceedings of a Seminar Sponsored by the UN Institute for Training and Research (UNITAR) and the Ministry for Research and Technology of the Federal Republic of Germany; Schlegel, H.G., Barnea, J., Eds.; Elsevier Science: Burlington, VT, USA, 1977; pp. 119–138. ISBN 9780080217918. [Google Scholar]
 - Buswell, A.M. Anaerobic Fermentations. Available online: https://www.ideals.illinois.edu/bitstream/handle/2142/94555/ISWSB-32.pdf?sequence=1 (accessed on 12 April 2020).
 - Sailer, G.; Eichermüller, J.; Poetsch, J.; Paczkowski, S.; Pelz, S.; Oechsner, H.; Müller, J. Optimizing anaerobic digestion of organic fraction of municipal solid waste (OFMSW) by using biomass ashes as additives. Waste Manag. 2020, 109, 136–148. [Google Scholar] [CrossRef] [PubMed]
 - Bertau, M.; Simbach, B.; Aubel, I.; Kiehle, R.; Kaiser, D.; Tröbs, R. Verbesserung der Klärschlammentwässerung durch den Abbau der Extrazellulären Polymeren Substanzen; Freiberg. 2018. Available online: https://www.dbu.de/projekt_32909/01_db_2409.html (accessed on 23 May 2020).
 - Maier, J.; Scheffknecht, G. Systematische Untersuchungen zur Rückgewinnung von Phosphor aus Klärschlamm unter besonderer Berücksichtigung von Feuerungparametern. 2007. Available online: https://fachdokumente.lubw.baden-wuerttemberg.de/servlet/is/40276/BWT24004SBer.pdf?command=downloadContent&filename=BWT24004SBer.pdf&FIS=203 (accessed on 23 May 2020).
 - Sherwood, J. The significance of biomass in a circular economy. Bioresour. Technol. 2020, 300, 122755. [Google Scholar] [CrossRef] [PubMed]
 - Constantinescu, M.; Bucura, F.; Ionete, R.-E.; Niculescu, V.-C.; Ionete, E.I.; Zaharioiu, A.; Oancea, S.; Miricioiu, M.G. Comparative study on plastic materials as a new source of energy. Mater. Plast. 2019, 56, 41–46. [Google Scholar] [CrossRef]
 - Lansing, S.; Hülsemann, B.; Choudhury, A.; Schueler, J.; Lisboa, M.S.; Oechsner, H. Food waste co-digestion in Germany and the United States: From lab to full-scale systems. Resour. Conserv. Recycl. 2019, 148, 104–113. [Google Scholar] [CrossRef]
 




| Reference | Year | Psychrophilic (°C) | Mesophilic (°C) | Thermophilic (°C) | 
|---|---|---|---|---|
| Zábranská et al. [29] | 2000 | - | 30–40 | 50–70 | 
| Ahring et al. [30] | 2001 | - | - | 55–70 | 
| Kashyap et al. [31] | 2003 | <20 | 32–38 | 50–55 | 
| Connaughton et al. [32] | 2006 | <20 | 25–45 | 45–65 | 
| Reichard [10] | 2006 | <50 | >50 | |
| LfU [33] | 2007 | <20 | 30–42 | 48–55 | 
| Effenberger et al. [34] | 2008 | <25 | 32–42 | 50–57 | 
| Vindis et al. [27] | 2009 | 12–16 | 35–37 | 55–60 | 
| Amon et al. [35] | 2013 | <25 | 37–42 | 50–60 | 
| Donoso-Bravo et al. [36] | 2013 | 15–25 | 35–37 | 50–55 | 
| Jain et al. [26], Fernández-Rodríguez et al. [37] | 2015, 2013 | - | 35 | 55 | 
| Szyłak-Szydłowski et al. [38] | 2016 | - | 35–37 | - | 
| Kaltschmitt et al. [22] | 2016 | <25 | 35–42 | 50–55 | 
| Liu et al. [39] | 2016 | - | 25–37 | 55–65 | 
| Chala et al. [40] | 2019 | <20 | 20–45 | 45–60 | 
| Jain et al. [15] | 2019 | - | 35–40 | 55–60 | 
| Kumar and Samadder [41] | 2020 | ~20 | ~35 | ~55 | 
| Rocamora et al. [9] | 2020 | - | 35–40 | 50–57 | 
| Jaimes-Estévez et al. [42] | 2020 | <20 | 20–45 | - | 
| Lanko et al. [43] | 2020 | - | 35–40 | 55–70 | 
| Pasalari et al. [44] | 2021 | 9–25 | 25–35 | 35–70 1 | 
| Variant | Series 1 T25 | Series 1 T40 | Series 2 T23 | Series 2 T35 | ||||
|---|---|---|---|---|---|---|---|---|
| Inoc. (blank)  | Inoc. and OFMSW  | Inoc. (blank)  | Inoc. and OFMSW  | Inoc. (blank)  | Inoc. and OFMSW  | Inoc. (blanc)  | Inoc. and OFMSW  | |
| Inoculum | 0.8 L DSS 1.2 L water  | 2 L DSS | 0.8 L DSS 1.2 L water  | 2 L DSS | 1 L DSS 1 L water  | 1 L DSS 1 L water  | 1 L DSS 1 L water  | 1 L DSS 1 L water  | 
| Feedstock | - | 15 g DM OFMSW  | - | 15 g DM OFMSW  | - | 10 g DM OFMSW  | - | 10 g DM OFMSW  | 
| Retention time (d) | 56 | 56 | 56 | 56 | 77 | 77 | 35 | 35 | 
| Day with gas analysis | 56 | 5; 56 | 56 | 5; 56 | 8; 24 | 8; 24 | 8; 24 | 8; 24 | 
| Replicates | 2 | 4 | 2 | 4 | 2 | 4 | 2 | 4 | 
| Material | DM (% FM)  | oDM (% DM)  | C (% DM)  | H (% DM)  | N (% DM)  | O (% DM)  | 
|---|---|---|---|---|---|---|
| DSS, series 1 | 3.33 ±1.84  | 58.55 ±0.40  | n.a. 1 | n.a. 1 | n.a. 1 | n.a. 1 | 
| DSS, series 2 | 4.07 ±0.01  | 60.21 ±0.17  | 30.38 ±0.11  | 4.50 ±0.06  | 4.11 ±0.04  | 21.22 | 
| OFMSW, series 1 and 2 | 33.28 ±5.43  | 77.88 ±1.37  | 39.49 ±2.55  | 5.29 ±0.35  | 2.13 ±0.32  | 30.97 | 
| Variant | SBG (mL/goDM) | SMY (mL/goDM) | σ (%) | 
|---|---|---|---|
| DSS T40 (56 d) | 105.45 ± 2.16 | 74.75 ± 2.92 | 70.89 ± 4.22 | 
| DSS T35 (35 d) | 80.75 ± 23.92 | 57.88 ± 17.09 | 71.69 ± 0.07 | 
| DSS T25 (56 d) | 78.03 ± 10.10 | 62.06 ± 10.38 | 79.53 ± 3.05 | 
| DSS T23 (77 d) | 57.67 ± 14.86 | 46.71 ± 12.50 | 80.99 ± 0.86 | 
| OFMSW T40 (56 d) | 552.80 ± 17.22 | 325.17 ± 6.13 | 58.82 ± 0.84 | 
| OFMSW T35 (35 d) | 424.49 ± 31.59 | 268.35 ± 26.74 | 63.22 ± 0.67 | 
| OFMSW T25 (56 d) | 623.91 ± 56.22 | 364.19 ± 24.71 | 58.37 ± 1.41 | 
| OFMSW T23 (77 d) | 270.19 ± 33.47 | 171.89 ± 21.19 | 63.62 ± 2.05 | 
Publisher’s Note: MDPI stays neutral with regard to jurisdictional claims in published maps and institutional affiliations.  | 
© 2021 by the authors. Licensee MDPI, Basel, Switzerland. This article is an open access article distributed under the terms and conditions of the Creative Commons Attribution (CC BY) license (http://creativecommons.org/licenses/by/4.0/).
Share and Cite
Sailer, G.; Silberhorn, M.; Eichermüller, J.; Poetsch, J.; Pelz, S.; Oechsner, H.; Müller, J. Influence of Digester Temperature on Methane Yield of Organic Fraction of Municipal Solid Waste (OFMSW). Appl. Sci. 2021, 11, 2907. https://doi.org/10.3390/app11072907
Sailer G, Silberhorn M, Eichermüller J, Poetsch J, Pelz S, Oechsner H, Müller J. Influence of Digester Temperature on Methane Yield of Organic Fraction of Municipal Solid Waste (OFMSW). Applied Sciences. 2021; 11(7):2907. https://doi.org/10.3390/app11072907
Chicago/Turabian StyleSailer, Gregor, Martin Silberhorn, Johanna Eichermüller, Jens Poetsch, Stefan Pelz, Hans Oechsner, and Joachim Müller. 2021. "Influence of Digester Temperature on Methane Yield of Organic Fraction of Municipal Solid Waste (OFMSW)" Applied Sciences 11, no. 7: 2907. https://doi.org/10.3390/app11072907
APA StyleSailer, G., Silberhorn, M., Eichermüller, J., Poetsch, J., Pelz, S., Oechsner, H., & Müller, J. (2021). Influence of Digester Temperature on Methane Yield of Organic Fraction of Municipal Solid Waste (OFMSW). Applied Sciences, 11(7), 2907. https://doi.org/10.3390/app11072907
        
                                                
