Next Article in Journal
Investigating the Use of Natural and Artificial Records for Prediction of Seismic Response of Regular and Irregular RC Bridges Considering Displacement Directions
Next Article in Special Issue
The Effect of Noble Metals on Co Gas Sensing Properties of In2O3 Nanoparticles
Previous Article in Journal
A Smart and Sustainable Future for Viticulture Is Rooted in Soil: How to Face Cu Toxicity
Previous Article in Special Issue
CNT-Coated Quartz Woven Fabric Electrodes for Robust Lithium-ion Structural Batteries
 
 
Font Type:
Arial Georgia Verdana
Font Size:
Aa Aa Aa
Line Spacing:
Column Width:
Background:
Article

Segregation of NiTe2 and NbTe2 in p-Type Thermoelectric Bi0.5Sb1.5Te3 Alloys for Carrier Energy Filtering Effect by Melt Spinning

1
Department of Materials Science and Engineering, Hongik University, Seoul 04066, Korea
2
Department of Electrical Engineering and Smart Grid Research Center, Jeonbuk National University, Jeonju 54896, Korea
3
Department of Materials Science and Engineering, University of Seoul, Seoul 02504, Korea
*
Author to whom correspondence should be addressed.
These authors contributed equally to this work.
Appl. Sci. 2021, 11(3), 910; https://doi.org/10.3390/app11030910
Submission received: 7 December 2020 / Revised: 18 January 2021 / Accepted: 18 January 2021 / Published: 20 January 2021
(This article belongs to the Special Issue Sintering Phenomena and Microstructural Control)

Abstract

The formation of secondary phases of NiTe2 and NbTe2 in p-type Bi0.5Sb1.5Te3 thermoelectric alloys was investigated through in situ phase separation by using the melt spinning process. Adding stoichiometric Ni, Nb, and Te in a solid-state synthesis process of Bi0.5Sb1.5Te3, followed by rapid solidification by melt spinning, successfully segregated NiTe2 and NbTe2 in the Bi0.5Sb1.5Te3 matrix. Since heterointerfaces of Bi0.5Sb1.5Te3 with NiTe2 and NbTe2 form potential barriers of 0.26 and 0.08 eV, respectively, a low energy carrier filtering effect can be expected; higher Seebeck coefficients and power factors were achieved for Bi0.5Sb1.5Te3(NiTe2)0.01 (250 μV/K and 3.15 mW/mK2), compared to those of Bi0.5Sb1.5Te3 (240 μV/K and 2.69 mW/mK2). However, there was no power factor increase for NbTe2 segregated samples. The decrease in thermal conductivity was seen due to the possible additional phonon scattering by the phase segregations. Consequently, zT at room temperature was enhanced to 0.98 and 0.94 for Bi0.5Sb1.5Te3(NiTe2)0.01 and Bi0.5Sb1.5Te3(NbTe2)0.01, respectively, compared to 0.79 for Bi0.5Sb1.5Te3. The carrier filtering effect induced by NiTe2 segregations with an interface potential barrier of 0.26 eV effectively increased the Seebeck coefficient and power factor, thus improving the zT of p-type Bi0.5Sb1.5Te3, while the interface potential barrier of 0.08 eV of NbTe2 segregation appeared to be too small to induce an effective carrier filtering effect.

Graphical Abstract

1. Introduction

Research on renewable energy generation has attracted considerable attention because traditional energy resources have become more limited. In addition, approximately 60% of the total energy is lost as waste heat during energy generation and consumption. Therefore, thermoelectric power generation has several advantages as a power generation technology to use energy more efficiently [1,2]. Thermoelectric materials can directly convert the temperature gradient into electrical energy, and they have attracted considerable attention in recent decades. In particular, bismuth telluride (Bi2Te3)-based alloys exhibit high thermoelectric performance at near-room temperature [1,2]. They can be applied either to power generation from low grade waste heat, or in thermoelectric solid-state cooling to replace traditional refrigeration [1,2]. The thermoelectric efficiency is determined in terms of a thermoelectric dimensionless figure of merit, expressed as zT = σ∙S2∙T/κ, where σ is the electrical conductivity, S is the Seebeck coefficient, T is the absolute temperature, and κ is the thermal conductivity [3].
Many approaches have been adopted to enhance the zT of thermoelectric materials. To improve electrical transport properties, approaches such as band convergence, carrier energy filtering, and resonance doping have been applied [4,5,6]. In addition, a variety of defect structures is introduced to the material to reduce the κ by intensifying phonon scattering [7,8,9]. For example, nanograin-composite, dense dislocations formed at the grain boundary, and substitutional doping have been known as effective approaches to reduce κ by intensifying phonon scattering in (Bi2Te3)-based alloys [8,9,10,11,12]. Among these approaches, introducing nanoparticles in the thermoelectric materials can improve zT by increasing the electrical transport properties and reduction in κ. The reduction in κ can be attained by additional phonon scattering by the embedded nanoparticles [13], and the increase in the electrical transport properties can be attributed to the carrier energy filtering effect caused by the nanoparticles. The carrier filtering effect is a strong energy dependence of the carrier relaxation time caused by band bending at the interface between metallic inclusions and thermoelectric materials [14,15,16].
In this study, the formation of secondary phases of NiTe2 and NbTe2 in p-type Bi0.5Sb1.5Te3 thermoelectric alloys related with the carrier filtering effect was investigated through in situ phase segregation by using the melt spinning process. Metallic NiTe2 and NbTe2 were chosen for the successful segregation in Bi0.5Sb1.5Te3 alloys, using the melt spinning process, which was observed in the preliminary experiment. Adding excess stoichiometric composition of NiTe2 and NbTe2 in the melt-process of Bi0.5Sb1.5Te3 synthesis successfully segregated NiTe2 and NbTe2 phases through the rapid solidification process by melt spinning. As heterointerfaces of semiconducting Bi0.5Sb1.5Te3 with metallic NiTe2 and NbTe2, a possible carrier energy filtering effect can be expected. In addition, the segregation of NiTe2 and NbTe2 would intensify the phonon scattering, possibly reducing κ.

2. Materials and Methods

Ingots of Bi0.5Sb1.5Te3(NiTe2)x (x = 0, 0.003, 0.01, 0.1) and Bi0.5Sb1.5Te3(NbTe2)x (x = 0, 0.005, 0.01, 0.1) were prepared by conventional melting and quenching techniques using high-purity elemental Bi (99.999%, shots, 5N Plus, Montreal, QC, Canada), Sb (99.999%, shots, 5N Plus), Te (99.999%, pieces, 5N Plus), Nb (99.99%, powder, Sigma Aldrich, St. Louis, MO, USA), and Ni (99.9%, powder, Sigma Aldrich), as starting materials. Stoichiometric mixtures were loaded into a quartz tube (15 mm in diameter). The tube was vacuum-sealed under 10−4 torr, and the contents were melted in a box furnace at 1423 K for 20 h, and then quenched to room temperature. The ingots were grounded using a high-energy ball mill (8000D, SPEX, Metuchen, NJ, USA) for 5 min. Subsequently, melt spinning of the prepared ingots (except for Bi0.5Sb1.5Te3(NiTe2)0.1 and Bi0.5Sb1.5Te3(NbTe2)0.1) was performed, under a copper wheel rotation of 3600 rpm, and the molten solution was shot at 0.03 MPa under Ar. The ribbons were grounded in an agate mortar. Then, disk-shaped polycrystalline bulk samples (10 mm in diameter and 10 mm thickness) were prepared by spark plasma sintering (SPS) at 430 °C for 5 min, under 50 MPa in vacuum.
X-ray diffraction (XRD, D8 Discover, Bruker, Billerica, MA, USA) was performed for phase analysis. The temperature-dependent S and σ parameters were measured within a temperature range from room temperature to 480 K on the samples, perpendicular to the direction of the applied pressure (ZEM-3 Advanced-RIKO, Yokohama, Japan). The nominal temperature gradients were given as 10, 20, and 30 K. The experimental error margin for S and σ are estimated as ±5% and ±3%, respectively. The carrier concentrations were determined by van der Pauw measurements under a magnetic field of 0.5 T (AHT-55T5, Ecopia, Anyang, Korea) in the same direction; the input current can be regulated between 1 nA and 20 mA. The van der Pauw method typically provides the carrier concentration with relative error within 5%. The κ values of the samples were calculated from the expression κ = ρsCpλ, considering their theoretical density (ρs), heat capacity (Cp), and thermal diffusivity (λ) measured across the same direction (perpendicular to the pressing direction), so the zT can be determined. The Cp values from 300 K to 400 K were measured by using a physical property measurement system (PPMS, Quantum Design, San Diego, CA, USA), and 121.6 J mol−1 K−1 were used, which were estimated from Dulong–Petit fitting. The densities of all samples were measured as being higher than 98.5%, from the sintered samples of cylinder shape and 10 mm diameter with ~12 mm height, by the Archimedes method, and the ρs for Bi0.5Sb1.5Te3 of 6.88 g/cm3 was used for samples with small addition (x ≤ 0.01). The λ were measured using a laser flash installation (Laser Flash Analysis, LFA 467, Netzsch, Selb, Germany). The experimental error margin for λ is estimated as ±3%.

3. Results

Figure 1a,b shows XRD patterns of the melt-spun ribbons of Bi0.5Sb1.5Te3(NiTe2)x (x = 0.1) and Bi0.5Sb1.5Te3(NbTe2)x (x = 0.1). Figure 1c,d shows XRD patterns of the SPS-sintered samples of Bi0.5Sb1.5Te3(NiTe2)x (x = 0, 0.003, 0.01, and 0.1) and Bi0.5Sb1.5Te3(NbTe2)x (x = 0, 0.005, 0.01, and 0.1). For all samples, the diffraction peaks of the major phase were related to the Bi0.5Sb1.5Te3 structure (JCPDS #00-49-1713). The XRD patterns of Bi0.5Sb1.5Te3(NiTe2)0.1 and Bi0.5Sb1.5Te3(NbTe2)0.1 with x = 0.1 showed additional peaks of the segregated phases of NiTe2 (JCPDS #01-089-2642) and NbTe2 (JCPDS #00-021-0605), respectively. Thus, it was confirmed that in situ phase segregation is possible after applying a rapid solidification process. For the samples doped with small fractions (x ≤ 0.01), no secondary phase was observed. However, it can be expected that the same phase segregation of NiTe2, and NbTe2 occurred while the amount of the segregations was too small to be detected by XRD. Figure 1e,f shows the lattice parameters calculated from the XRD patterns for Bi0.5Sb1.5Te3(NiTe2)x (x = 0, 0.003, and 0.01) and Bi0.5Sb1.5Te3(NbTe2)x (x = 0, 0.005, and 0.01) with no changes in lattice parameters.
Figure 2 represents a schematic of energy band diagrams at heterointerfaces formed between Bi0.5Sb1.5Te3 and the secondary phases, based on the concept of carrier energy filtering [14,15]. The main concept, which involves a Bi0.5Sb1.5Te3 matrix with the precipitates, is illustrated in Figure 2. Carrier transfer induces band bending away from the heterointerfaces between the BiSbTe matrix and precipitates. The work function, electron affinity, and bandgap data for NiTe2, NbTe2, and Bi0.5Sb1.5Te3 are shown in Table 1. The electron affinity of Bi0.5Sb1.5Te3 is 4.50 eV and the band gap is 0.2 eV [15]. The work functions of NiTe2 and NbTe2 are 4.44 eV and 4.62 eV, respectively [17,18]. Barrier potentials may form near the interface; the presence of the electrostatic potential causes energy-dependent scattering of carriers at the heterointerfaces for NiTe2 and NbTe2, with Bi0.5Sb1.5Te3 forming potential barriers of approximately 0.26 and 0.08 eV, respectively, as depicted in Figure 2. When hole carriers pass near the surfaces of secondary phases, low energy carriers are scattered, inducing the carrier filtering effect [14,15]. However, the energy blocking effect near the interfaces between NbTe2 would be smaller due to their low barrier height of 0.08 eV (Figure 2b).
Figure 3 shows the σ and S as a function of temperature of the samples after melt spinning with a small addition (x ≤ 0.01). Bi0.5Sb1.5Te3 exhibited an σ of 465 S/cm at room temperature. As shown in Figure 3a, no change in σ was observed for x = 0.003; however, the x = 0.01 showed an increased σ (~500 S/cm at room temperature). In Figure 3b, the S values, as a function of temperature, are shown, while there is no distinct change in the error range. However, as shown in inset of Figure 3b, the power factor (σS2) was increased from 2.68 to 3.15 mW/mK2 for x = 0.01 as both the σ and S increased. In Figure 3c, after the addition of a small amount of NbTe2, there is no significant change in the σ. As in Figure 3d, the S shows no distinct change in error range by NbTe2 addition. Therefore, power factors (σS2) also show no increase with the addition of NbTe2 at all compositions (inset of Figure 3d).
Figure 4 shows the results from the Hall measurement (Hall carrier concentration, nH, and Hall mobility, μH) and the Pisarenko plots at room temperature [14,15,19]. In Figure 4a, no clear relationship between nH and μH is seen, while the nH does not change for NiTe2-added samples in the range of 9.5 × 1018–9.6 × 1018 cm−3. Figure 4b shows a Pisarenko plot (S as a function of nH) with the effective mass m* of 0.5 m0, 0.55 m0, and 0.6 m0 shown as lines, based on Equation (1).
  S = 8 π 2 k B 2 3 e h 2 ( π 3 n ) 2 / 3 m * T  
where h is the Planck constant, kB is the Boltzmann constant, e is the elemental electric charge and n is the carrier concentration. The gradual increase in m* is clearly shown as x increased for NiTe2-added samples (Figure 4b), although the noticeable decrease in nH is not seen (Figure 4a). As nH could vary for various reasons, the systematic increase in the m* would suggest the presence of the carrier filtering effect due to the energy barrier of 0.26 eV (Figure 2a) as the density of interfaces between NiTe2 and the matrix increases; for instance, the simultaneous increase in σ and S in NiTe2-added samples (x = 0.01 compared to x = 0 of Bi0.5Sb1.5Te3(NiTe2)x).
Figure 4c shows that the nH of Bi0.5Sb1.5Te3(NbTe2)x (x = 0, 0.005, 0.01) gradually decreased with x; the nH values of 9.5 × 1018, 9.0 × 1018, and 8.7 × 1018 cm−3 for x = 0, 0.005, and 0.01, respectively. In contrast, the, μH increased gradually with increasing x, leading to values of 314, 327, and 343 cm2/Vs for x = 0, 0.005, and 0.01, respectively. However, no change in m* was shown. It seems that there is less carrier filtering influence on these samples due to the smaller barrier height (Figure 2b).
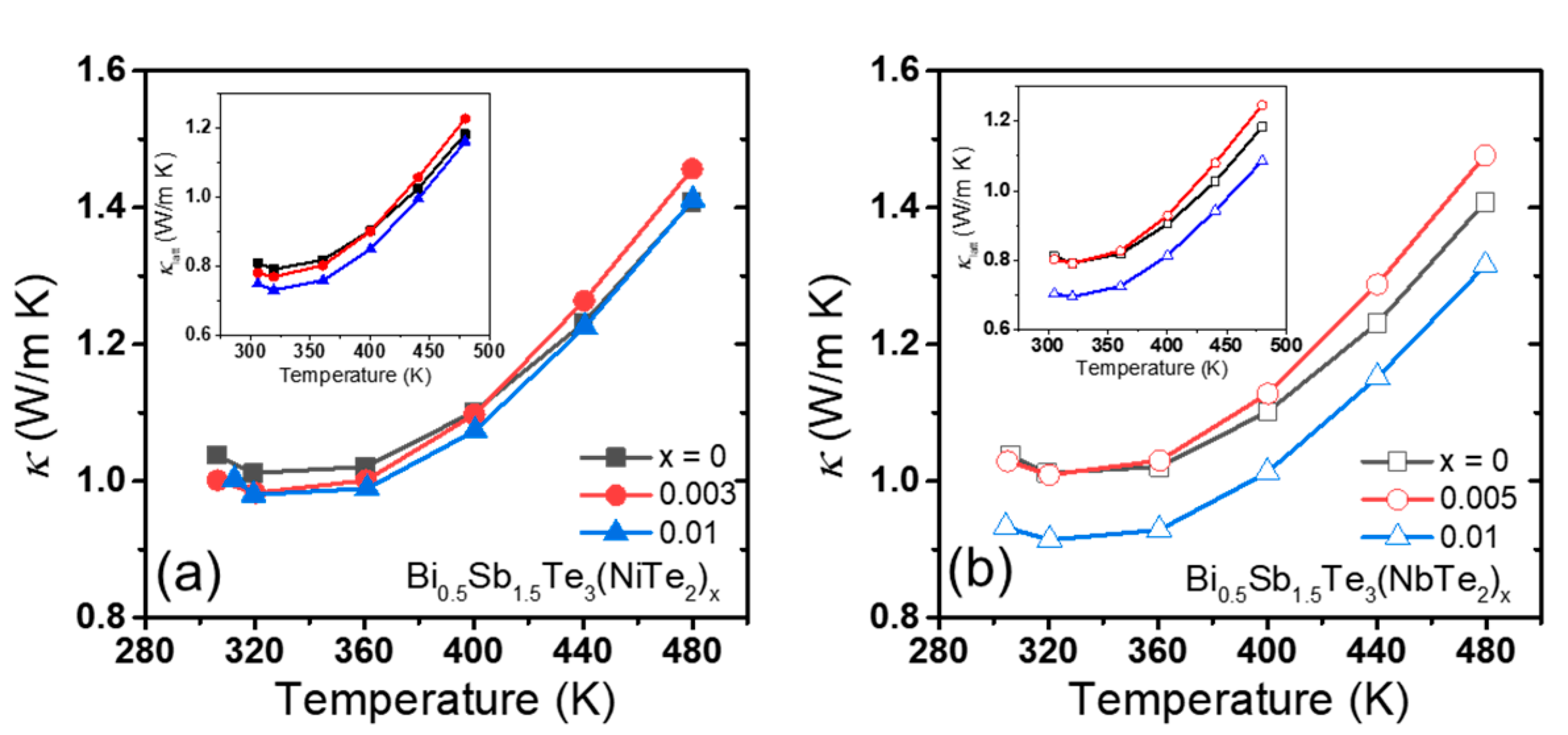
Figure 5 shows the temperature dependent κ of all samples (the uncertainty of κ would be around ±3%), while the inset shows the lattice thermal conductivity (κlatt), calculated by subtracting the electronic contribution (κelec) calculated by the Wiedemann–Frantz law (κelec = L·σ·T), where L is Lorenz number, which can be estimated with Equation (2) (where L is in 10−8 WΩK−2 and S in μV/K) [20],
  L = 1.5 + e x p ( | S | 116 )
For Bi0.5Sb1.5Te3(NiTe2)x samples, a gradual decrease in κlatt (0.81, 0.78, and 0.75 W/mK for x = 0, 0.003, and 0.01) was seen at room temperature (inset of Figure 5a), while there seems to be no distinct change in κ in Figure 5a. At high temperatures, the different influences from the bipolar conduction may affect the κlatt. The second phases of NiTe2 may scatter the phonons further to reduce room temperature κlatt. For Bi0.5Sb1.5Te3(NbTe2)0.01, the κ (and κlatt) decreased to 0.92 W/mK (0.70 W/mK) at room temperature, compared to 1.03 W/mK (0.81 W/mK) of Bi0.5Sb1.5Te3.
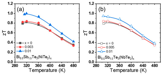
The estimated zT values of the samples are shown in Figure 6. For Bi0.5Sb1.5Te3(NiTe2)x samples (Figure 6a, the uncertainty of zT would be around ±17%), the zT was enhanced from 0.79 to 0.82 and 0.98 for x = 0.003 and 0.01, respectively, as the power factor increased due to increases in S, power factor, and m* (Figure 3b and Figure 4b). We speculate that the interface barrier height of 0.26 eV between Bi0.5Sb1.5Te3 and NiTe2 (Figure 2a) induced the carrier filtering effect, while there was slight systematic κlatt reduction as well (inset of Figure 5a). For Bi0.5Sb1.5Te3(NbTe2)x samples (Figure 6b), with the much smaller barrier height of 0.08 eV between Bi0.5Sb1.5Te3 and NbTe2 (Figure 2b), no increases in S, power factor, and m* (Figure 3d and Figure 4d) were seen. However, the reduction in κlatt to 0.70 W/mK at room temperature (inset of Figure 5b) was achieved for x = 0.01. Therefore, the zT was also enhanced slightly from 0.79 to 0.83 and 0.94 for x = 0.005 and 0.01; however, this was mainly due to decreased κ (and κlatt) for x = 0.01 (Figure 5b). For Bi0.5Sb1.5Te3(NiTe2)x samples, the improved electronic transport properties, caused by the possible carrier filtering effect, enhanced the zT, while the reduced thermal conductivity enhanced the zT in Bi0.5Sb1.5Te3(NbTe2)x samples.

4. Conclusions

The electrical and thermal transport properties of Bi0.5Sb1.5Te3 with the formation of secondary phases of NiTe2 and NbTe2 were analyzed in regard to the carrier filtering effect. The possible carrier filtering effect was shown with enhanced Seebeck coefficient, power factor and effective mass for the NiTe2 added samples, where the heterointerfaces are expected to form the energy barrier of 0.26 eV with the Bi0.5Sb1.5Te3 matrix. However, for the NbTe2 added samples with the energy barrier of 0.08 eV, only slight enhancement of the power factor was seen without increase in effective mass, implying that there is only minor influence of the carrier filtering effect. While the additional phonon scattering by the segregation was anticipated, the influence on κ was slight. Consequently, zT the zT was enhanced to 0.98 for Bi0.5Sb1.5Te3(NiTe2)0.01 from 0.79 for Bi0.5Sb1.5Te3 at room temperature, mainly due to the increases in S and m* by the possible carrier filtering effect.

Author Contributions

Conceptualization, S.-i.K. and H.-S.K.; methodology, T.K.; formal analysis, J.A.; investigation, D.K., and J.H.J.; data curation, J.A.; writing—original draft preparation, S.-i.K.; writing—review and editing, H.-S.K. and T.K. All authors have read and agreed to the published version of the manuscript.

Funding

This work was supported by the Samsung Research Funding & Incubation Center of Samsung Electronics under Project Number SRFC-MA1701-05.

Institutional Review Board Statement

Not applicable.

Informed Consent Statement

Not applicable.

Data Availability Statement

Data available on request.

Conflicts of Interest

The authors declare no conflict of interest.

References

  1. Stordeur, M. The Thermoelectric Figure of Merit in the Mixed Crystal System p-(Bi1−xSbx)2Te3. Phys. Status Solidi B 1990, 161, 831–835. [Google Scholar] [CrossRef]
  2. Lee, K.H.; Kim, J.-Y.; Choi, S.-M. Recent Progress in Bi-Te-based Thermoelectric Materials. J. Korean Ceram. Soc. 2015, 52, 1. [Google Scholar] [CrossRef][Green Version]
  3. Snyder, G.J.; Toberer, E.S. Complex thermoelectric materials. Nat. Mater. 2008, 7, 105–114. [Google Scholar] [CrossRef] [PubMed]
  4. Lee, K.H.; Kim, S.I.; Kim, H.S.; Kim, S.W. Band Convergence in Thermoelectric Materials: Theoretical Background and Consideration on Bi–Sb–Te Alloys. ACS Appl. Energy Mater. 2020, 3, 2214–2223. [Google Scholar] [CrossRef]
  5. Paul, B.; Kumar, V.A.; Banerji, P. Embedded Ag-rich nanodots in PbTe: Enhancement of thermoelectric properties through energy filtering of the carriers. J. Appl. Phys. 2010, 108, 064322. [Google Scholar] [CrossRef]
  6. Wu, L.; Li, X.; Wang, S.; Zhang, T.; Yang, J.; Zhang, W.; Chen, L.; Yang, J. Resonant level-induced high thermoelectric response in indium-doped GeTe. NPG Asia Mater. 2017, 9, e343. [Google Scholar] [CrossRef]
  7. Toberer, E.S.; Baranowski, L.L.; Dames, C. Advances in Thermal Conductivity. Annu. Rev. Mater. Res. 2012, 42, 179–209. [Google Scholar] [CrossRef]
  8. Mun, H.; Choi, S.-M.; Lee, K.H.; Kim, S.W. Boundary Engineering for the Thermoelectric Performance of Bulk Alloys Based on Bismuth Telluride. ChemSusChem 2015, 8, 2312–2326. [Google Scholar] [CrossRef] [PubMed]
  9. Cho, H.J.; Kim, H.S.; Kim, M.; Lee, K.H.; Kim, S.W.; Kim, S.I. Enhanced Thermoelectric Performance of Cu-incorporated Bi0.5Sb1.5Te3 by Melt Spinning and Spark Plasma Sintering. J. Electron. Mater. 2020, 49, 2789–2793. [Google Scholar] [CrossRef]
  10. Poudel, B.; Hao, Q.; Ma, Y.; Lan, Y.; Minnich, A.; Yu, B.; Yan, X.; Wang, D.; Muto, A.; Vashaee, D.; et al. High-thermoelectric performance of nanostructured bismuth antimony telluride bulk alloys. Science 2008, 320, 634–638. [Google Scholar] [CrossRef] [PubMed]
  11. Kim, S.I.; Lee, K.H.; Mun, H.A.; Kim, H.S.; Hwang, S.W.; Roh, J.W.; Yang, D.J.; Shin, W.H.; Li, X.S.; Lee, Y.H.; et al. Dense dislocation arrays embedded in grain boundaries for high-performance bulk thermoelectrics. Science 2015, 348, 109–114. [Google Scholar] [CrossRef] [PubMed]
  12. Kim, K.; Kim, G.; Kim, S.I.; Lee, K.H.; Lee, W. Clarification of electronic and thermal transport properties of Pb-, Ag-, and Cu-doped p-type Bi0.52Sb1.48Te3. J. Alloys Compd. 2019, 772, 593–602. [Google Scholar] [CrossRef]
  13. Lee, K.H.; Kim, H.S.; Shin, W.H.; Kim, S.Y.; Lim, J.H.; Kim, S.W.; Kim, S.I. Nanoparticles in Bi0.5Sb1.5Te3: A prerequisite defect structure to scatter the mid-wavelength phonons between Rayleigh and geometry scatterings. Acta Mater. 2020, 185, 2710278. [Google Scholar] [CrossRef]
  14. Faleev, S.V.; Léonard, F. Theory of enhancement of thermoelectric properties of materials with nanoinclusions. Phys. Rev. B 2008, 77, 214304. [Google Scholar] [CrossRef]
  15. Kim, S.I.; Kim, S.W.; Roh, J.W.; Ahn, K.; Yeon, D.H.; Lee, K.H. Experimental evidence of enhancement of thermoelectric properties in tellurium nanoparticle-embedded bismuth antimony telluride. J. Mater. Res. 2012, 27, 2449–2456. [Google Scholar] [CrossRef]
  16. Gayner, C.; Amouyal, Y. Energy Filtering of Charge Carriers: Current Trends, Challenges, and Prospects for Thermoelectric Materials. Adv. Funct. Mater. 2019, 30, 1901789. [Google Scholar] [CrossRef]
  17. Lebègue, S.; Björkman, T.; Klintenberg, M.; Nieminen, R.M.; Eriksson, O. Two-Dimensional Materials from Data Filtering and Ab Initio Calculations. Phys. Rev. X 2013, 3, 031002. [Google Scholar] [CrossRef]
  18. Zhang, C.; Gong, C.; Min, K.A.; Liang, C.; Oh, Y.J.; Zhang, H.; Wang, W.; Hong, S.; Colombo, L.; Wallace, R.M.; et al. Systematic study of electronic structure and band alignment of monolayer transition metal dichalcogenides in Van der Waals heterostructures. 2D Mater. 2017, 4, 015026. [Google Scholar] [CrossRef]
  19. Ioffe, A.F. Physics of Semiconductors; Academic Press: New York, NY, USA, 1960. [Google Scholar]
  20. Kim, H.-S.; Gibbs, Z.M.; Tang, Y.; Wang, H.; Snyder, G.J. Characterization of Lorenz number with Seebeck coefficient measurement. APL Mater. 2015, 3, 041506. [Google Scholar] [CrossRef]
Figure 1. X-ray diffraction patterns for (a,b) melt-spun ribbons of (a) Bi0.5Sb1.5Te3(NiTe2)x (x = 0.1) and (d) Bi0.5Sb1.5Te3(NbTe2)x (x = 0.1)(c) and (c,d) SPS-sintered pellet of Bi0.5Sb1.5Te3(NiTe2)x (x = 0, 0.003, 0.01, and 0.1) and (d) Bi0.5Sb1.5Te3(NbTe2)x (x = 0, 0.005, 0.01, and 0.1). Lattice parameters calculated for (e) SPS-sintered Bi0.5Sb1.5Te3(NiTe2)x (x = 0, 0.003, and 0.01) samples and (f) Bi0.5Sb1.5Te3(NbTe2)x (x = 0, 0.005, and 0.01).
Figure 1. X-ray diffraction patterns for (a,b) melt-spun ribbons of (a) Bi0.5Sb1.5Te3(NiTe2)x (x = 0.1) and (d) Bi0.5Sb1.5Te3(NbTe2)x (x = 0.1)(c) and (c,d) SPS-sintered pellet of Bi0.5Sb1.5Te3(NiTe2)x (x = 0, 0.003, 0.01, and 0.1) and (d) Bi0.5Sb1.5Te3(NbTe2)x (x = 0, 0.005, 0.01, and 0.1). Lattice parameters calculated for (e) SPS-sintered Bi0.5Sb1.5Te3(NiTe2)x (x = 0, 0.003, and 0.01) samples and (f) Bi0.5Sb1.5Te3(NbTe2)x (x = 0, 0.005, and 0.01).
Applsci 11 00910 g001
Figure 2. Schematic of energy band diagrams of the samples at the heterointerfaces between Bi0.5Sb1.5Te3 and the secondary phase: (a) NiTe2 and (b) NbTe2.
Figure 2. Schematic of energy band diagrams of the samples at the heterointerfaces between Bi0.5Sb1.5Te3 and the secondary phase: (a) NiTe2 and (b) NbTe2.
Applsci 11 00910 g002
Figure 3. Temperature dependence of (a,c) the electrical conductivity and (b,d) the Seebeck coefficient for Bi0.5Sb1.5Te3(NiTe2)x (x = 0, 0.003, 0.01) and Bi0.5Sb1.5Te3(NbTe2)x (x = 0, 0.005, 0.01). Inset graphs in (b,d) exhibit the power factors of the samples.
Figure 3. Temperature dependence of (a,c) the electrical conductivity and (b,d) the Seebeck coefficient for Bi0.5Sb1.5Te3(NiTe2)x (x = 0, 0.003, 0.01) and Bi0.5Sb1.5Te3(NbTe2)x (x = 0, 0.005, 0.01). Inset graphs in (b,d) exhibit the power factors of the samples.
Applsci 11 00910 g003
Figure 4. Carrier concentration and mobility for (a) Bi0.5Sb1.5Te3(NiTe2)x (x = 0, 0.003, 0.01) and (c) Bi0.5Sb1.5Te3(NbTe2)x (x = 0, 0.005, 0.01). Pisarenko plots (S as a function of carrier concentration) for (b) Bi0.5Sb1.5Te3(NiTe2)x (x = 0, 0.003, 0.01) and (d) Bi0.5Sb1.5Te3(NbTe2)x (x = 0, 0.005, 0.01) at room temperature.
Figure 4. Carrier concentration and mobility for (a) Bi0.5Sb1.5Te3(NiTe2)x (x = 0, 0.003, 0.01) and (c) Bi0.5Sb1.5Te3(NbTe2)x (x = 0, 0.005, 0.01). Pisarenko plots (S as a function of carrier concentration) for (b) Bi0.5Sb1.5Te3(NiTe2)x (x = 0, 0.003, 0.01) and (d) Bi0.5Sb1.5Te3(NbTe2)x (x = 0, 0.005, 0.01) at room temperature.
Applsci 11 00910 g004
Figure 5. Thermal conductivity for (a) Bi0.5Sb1.5Te3(NiTe2)x (x = 0, 0.003, 0.01) and (b) Bi0.5Sb1.5Te3(NbTe2)x (x = 0, 0.005, 0.01). Insets shows the lattice thermal conductivity (κlatt).
Figure 5. Thermal conductivity for (a) Bi0.5Sb1.5Te3(NiTe2)x (x = 0, 0.003, 0.01) and (b) Bi0.5Sb1.5Te3(NbTe2)x (x = 0, 0.005, 0.01). Insets shows the lattice thermal conductivity (κlatt).
Applsci 11 00910 g005
Figure 6. The zT values for (a) Bi0.5Sb1.5Te3(NiTe2)x (x = 0, 0.003, 0.01) and (b) Bi0.5Sb1.5Te3(NbTe2)x (x = 0, 0.005, 0.01).
Figure 6. The zT values for (a) Bi0.5Sb1.5Te3(NiTe2)x (x = 0, 0.003, 0.01) and (b) Bi0.5Sb1.5Te3(NbTe2)x (x = 0, 0.005, 0.01).
Applsci 11 00910 g006
Table 1. Work function (Φ) for NbTe2 and NiTe2, and electron affinity (χ) and band gap (Eg) for (Bi0.5Sb1.5)Te3.
Table 1. Work function (Φ) for NbTe2 and NiTe2, and electron affinity (χ) and band gap (Eg) for (Bi0.5Sb1.5)Te3.
Phase SegregationPropertiesWork Function (Φ) or
Electron Affinity (χ) and Band Gap (Eg)
NbTe2MetallicΦ = 4.62 eV
NiTe2MetallicΦ = 4.44 eV
(Bi0.5Sb1.5)Te3SemiconductingEg = 0.2 eV, χ = 4.50 eV
Publisher’s Note: MDPI stays neutral with regard to jurisdictional claims in published maps and institutional affiliations.

Share and Cite

MDPI and ACS Style

Kim, H.-S.; Kim, T.; An, J.; Kim, D.; Jeon, J.H.; Kim, S.-i. Segregation of NiTe2 and NbTe2 in p-Type Thermoelectric Bi0.5Sb1.5Te3 Alloys for Carrier Energy Filtering Effect by Melt Spinning. Appl. Sci. 2021, 11, 910. https://doi.org/10.3390/app11030910

AMA Style

Kim H-S, Kim T, An J, Kim D, Jeon JH, Kim S-i. Segregation of NiTe2 and NbTe2 in p-Type Thermoelectric Bi0.5Sb1.5Te3 Alloys for Carrier Energy Filtering Effect by Melt Spinning. Applied Sciences. 2021; 11(3):910. https://doi.org/10.3390/app11030910

Chicago/Turabian Style

Kim, Hyun-Sik, TaeWan Kim, Jiwoo An, Dongho Kim, Ji Hoon Jeon, and Sang-il Kim. 2021. "Segregation of NiTe2 and NbTe2 in p-Type Thermoelectric Bi0.5Sb1.5Te3 Alloys for Carrier Energy Filtering Effect by Melt Spinning" Applied Sciences 11, no. 3: 910. https://doi.org/10.3390/app11030910

APA Style

Kim, H.-S., Kim, T., An, J., Kim, D., Jeon, J. H., & Kim, S.-i. (2021). Segregation of NiTe2 and NbTe2 in p-Type Thermoelectric Bi0.5Sb1.5Te3 Alloys for Carrier Energy Filtering Effect by Melt Spinning. Applied Sciences, 11(3), 910. https://doi.org/10.3390/app11030910

Note that from the first issue of 2016, this journal uses article numbers instead of page numbers. See further details here.

Article Metrics

Back to TopTop