Next Article in Journal
Ray Tracing Method of Gradient Refractive Index Medium Based on Refractive Index Step
Next Article in Special Issue
Vertical Vibrations of Footbridges Due to Group Loading: Effect of Pedestrian–Structure Interaction
Previous Article in Journal
Segregation of NiTe2 and NbTe2 in p-Type Thermoelectric Bi0.5Sb1.5Te3 Alloys for Carrier Energy Filtering Effect by Melt Spinning
Previous Article in Special Issue
Error Caused by Damping Formulating in Multiple Support Excitation Problems
 
 
Font Type:
Arial Georgia Verdana
Font Size:
Aa Aa Aa
Line Spacing:
Column Width:
Background:
Article

Investigating the Use of Natural and Artificial Records for Prediction of Seismic Response of Regular and Irregular RC Bridges Considering Displacement Directions

1
Department of Civil and Environmental Engineering, Amirkabir University of Technology, 424 Hafez Ave, Tehran 15875-4413, Iran
2
Department of Civil Engineering & Applied Mechanics, McGill University, Montreal, QC H3A 0C3, Canada
*
Author to whom correspondence should be addressed.
Appl. Sci. 2021, 11(3), 906; https://doi.org/10.3390/app11030906
Submission received: 4 January 2021 / Revised: 16 January 2021 / Accepted: 17 January 2021 / Published: 20 January 2021
(This article belongs to the Special Issue Bridge Dynamics: Volume II)

Abstract

Featured Application

The use of artificial and natural records typically resulted in similar predictions. The use of 2D analyses with combination rules resulted in good prediction of the maximum radial displacement demands obtained using 3D analyses. The use of the mean responses in different directions resulted in up to 30% reduction in predicted maximum ductility demands.

Abstract

The seismic responses of continuous multi-span reinforced concrete (RC) bridges were predicted using inelastic time history analyses (ITHA) and incremental dynamic analysis (IDA). Some important issues in ITHA were studied in this research, including: the effects of using artificial and natural records on predictions of the mean seismic demands, effects of displacement directions on predictions of the mean seismic response, the use of 2D analysis with combination rules for prediction of the response obtained using 3D analysis, and prediction of the maximum radial displacement demands compared to the displacements obtained along the principal axes of the bridges. In addition, IDA was conducted and predictions were obtained at different damage states. These issues were investigated for the case of regular and irregular bridges using three different sets of natural and artificial records. The results indicated that the use of natural and artificial records typically resulted in similar predictions for the cases studied. The effect of displacement direction was important in predicting the mean seismic response. It was shown that 2D analyses with the combination rules resulted in good predictions of the radial displacement demands obtained from 3D analyses. The use of artificial records in IDA resulted in good prediction of the median collapse capacity.

1. Introduction

Non-linear structural analysis is used to predict the maximum deformation and corresponding structural damage for performance-based assessments. Different types of ground motion record, including scaled natural records or synthetic records generated to match a target response spectrum, have been widely used in research and practice to perform such analyses. However, limited research is available to investigate the influence of using different types of synthetic ground motion records on the seismic response predictions of structures, particularly for bridges. Some researchers have studied the use of synthetic records for the seismic evaluation of structures (e.g., [1,2,3,4]), while other studies suggest that more research is needed on the use of artificially generated records for the purpose of seismic design and performance assessment of structures due to different results observed from such ground motion records (e.g., [5,6]). This paper illustrates the use of artificial and natural ground motion records for the seismic evaluation of continuous multi-span reinforced concrete (RC) bridges using 2D and 3D non-linear dynamic analyses.
In design it is typically assumed that the seismic response of straight bridges is independent in the two orthogonal directions and, as a result, the seismic responses in the two directions can be predicted using 2D analysis with the horizontal components of the ground motion records applied separately in the transverse and the longitudinal directions (e.g., [7]). In addition, another important issue that needs further study is the use of different methods to predict the mean values of seismic demands when structural models are subjected to a number of ground motion records. The prediction of the mean response of bridges has been carried out either by averaging the maximum absolute value displacements or by averaging the displacements in different directions. While the first method is widely used in practice, the second method has not been thoroughly investigated for different types of structure including bridges. Although the use of the first averaging method (i.e., averaging the maximum absolute values) is easy and practical, there are some problems with this method particularly when the seismic response of the structure is different in different directions. Further details about problems with this method are available in [7]. Therefore, the displacement envelopes in different radial directions are predicted and compared for the natural and artificial record sets considered in this research.
Another issue that is not considered in practice is the fact that the maximum response of structures occurs in a random direction and at a random time (i.e., referred to here as radial response), while typically in practice the maximum response in the two perpendicular directions (e.g., X and Y directions) are predicted and used for seismic evaluation. As a result, the actual maximum radial displacement for each record is not predicted during the analysis. To estimate the maximum overall displacements, the 30% rule or the square root of the sum of the squares (SRSS) combination of the results from the two principal axes of the structure (e.g., [8,9]) are typically used. The use of such combination rules is an attempt to account for the fact that the maximum displacements in the two principal directions do not occur at the same time. In this study the radial displacements of the bridge columns were determined by post processing the analysis results at each time step (very small time steps were considered for this purpose). As a result, the maximum radial displacements (i.e., actual seismic demands) are determined for each record and the results were compared to the predictions obtained using the simplified methods such as the 30% combination rule. To further investigate this issue the radial displacements (i.e., the real maximum displacement that occurs in a random direction) of the bridge columns were also predicted and compared for different record sets, in addition to the displacements in the longitudinal and transverse directions. The effect of displacement directions on the prediction of the mean response of structures was also considered in this study, as proposed by Priestley et al. [7].
The horizontal components of the artificial records may be generated separately and, therefore, for performing 3D analyses different pairs of records are selected from a number of horizontal components. Hence, it is important to investigate if this random selection of the ground motion pairs will affect the predictions of the mean responses of the bridges. To address this issue, the correlation coefficients between the horizontal components of the natural and artificial ground motion records were also computed and compared for the records considered. The analyses in this study were performed using one natural and two artificial record sets and the predictions from different sets of records are compared.
Another issue that needs further investigation is the impact of using artificial records for incremental dynamic analysis (IDA) of RC bridges. In this paper IDA results are studied at different damage states of the RC bridges including yielding, cover spalling, bar buckling and collapse using different record sets and different number of records.
An attempt is made to compare the seismic response predictions obtained using different types of artificial and natural records in different important aspects including, the use of 3D and 2D analyses for predictions of seismic demands, predicting the seismic response in different directions (i.e., around the full 360°) and the effects of using different types of record (i.e., artificial and natural) on the IDA results at different damage states of the RC bridges. Also the maximum radial displacements (i.e., the real maximum displacement in seismic response) were predicted for the bridge columns and compared with the displacements along the principal axes of the bridges, as predicted in customary practice.
In addition, no research is available to investigate the effects of the artificial records on the seismic response considering directionality. The mean response of the RC bridges is presented using two different methods including an advanced method that takes into account the displacement directions and also the conventional method that only considers the absolute maximum response, regardless of the direction. These comparisons are made for different record sets and important differences are presented in the paper.
It is important to investigate if the use of artificial records, such as those studied in this research, provide reliable and acceptable predictions, in all aspects, for seismic response of bridges compared with the predictions using natural records. Limited research is available on these issues and this study attempts to further investigate the differences using different approaches.
It is noted that although many different methods of generating artificial records may be available, this study is limited to two different sets of artificial records used in practice as examples of the use of such records for the seismic evaluation of structures.

2. Bridge Properties and Modelling

To investigate the influence of using different natural and artificial records on the prediction of the mean seismic demands two bridges with two different column arrangements were considered. The bridges had four spans with equal lengths of 50 m, as shown in Figure 1, and the superstructure was continuous over the columns. The bridge columns were hinged at the top and fixed at their bases. The superstructure consisted of a box girder with a uniform dead load of 200 kN/m. At the abutments the superstructure had no restraint in the longitudinal direction, but was restrained against transverse movements.
All column diameters, D, were 2.0 m. For the case of the regular bridge, all column heights were 7 m, while for the irregular bridge the column heights were 14, 7 and 21 m, respectively. The bridges were designed based on the 2006 Canadian Highway Bridge Design Code (CHBDC) provisions [10]. It is noted that the seismic design provisions of the 2006 CHBDC are similar to those of the 2014 American Association of State Highway and Transportation Officials (AASHTO) design specification [9], were chosen to be compatible with both US and Canadian bridge design codes.
The bridges were designed for Vancouver and site class C (i.e., V ¯ S = 555 m/s) with an importance factor, I of 1.0. Force modification factors of R = 3 and 5 were used for design of bridges in the transverse and longitudinal directions, respectively. The central columns of the regular and irregular bridges, C2, contained longitudinal reinforcement ratios of 1.23% and 1.88%, respectively. Columns C1 and C3 contained the minimum longitudinal reinforcement ratio. The concrete compressive strength and the yield stress of the reinforcing bars were taken as 40 and 400 MPa, respectively. The displacement limit for the critical central columns of the bridges was determined as 370 mm based on the equations developed by Berry and Eberhard [11] for the bar buckling damage state.
A computer program was developed [12] to design the columns and carry out the moment-curvature analyses to compute the curvature and moment strength at different steel and concrete strains. The confinement effects in the concrete core were considered using the Mander equation [13] in the moment curvature analysis assuming confinement reinforcement provided in accordance with the provisions of the CHBDC [10]. It is noted that the non-linear behavior of RC elements strictly depends on the detailing rules of the transverse reinforcements that have a significant impact on the strength and ductility capacity of the structural elements [14,15].
In predicting the non-linear response, the modified Takeda hysteresis model [16] was used in this study to model the behavior of the ductile RC columns with the Ruaumoko software [17] using the lumped plasticity method, as shown schematically in Figure 2a. This model has two main parameters, alpha and beta, which control the unloading and the reloading stiffness, respectively (see Figure 2b). The values of alpha = 0.5 and beta = 0 were adopted based on the recommendations of Priestley et al. [7]. The structural modelling considered in this study is similar to that used by Priestley et al. [7]. The superstructure was modelled using elastic beam elements and the superstructure mass was lumped at the nodal points as shown in Figure 2a. In addition, the column mass was considered in the corresponding nodal points. Rigid elements were defined to model the superstructure depth. The heights of these elements were considered as half of the superstructure depth (see Figure 2a). For the 3D analyses the yield interaction for moments of these circular columns had interaction factors of 2 in the Ruaumoko program [17].
Although this modelling procedure (i.e., using the lumped plasticity model) has been widely used in research and practice for design and evaluation of bridges and is recommended in many seismic codes and guidelines (e.g., [8,18]), to further validate the modeling assumptions the numerical results were compared to some experimental data. The data from the RC column tests [19] (data was available in the Pacific Earthquake Engineering Research Center (PEER) structural database [20]; verification details are available in [12]), as well as the data from a large-scale (i.e., 1:2.5) pseudo-dynamic test [21] were considered to validate the predictions from the numerical models. The bridge data labelled as B213C in the experimental study were used for the verifications. A comparison of the results from numerical modelling with experimental results (see Figure 3) indicates that the recommendations made by Priestley et al. [7] (i.e., the use of the lumped plasticity model with the Takeda hysteresis rule) for modelling bridge structures provided sufficient accuracy in predicting the maximum displacement demands [12]. Therefore, these modelling assumptions were adopted for the seismic analysis and evaluation of the bridges in this research. More details concerning the modelling of the bridges and the verification of computer models are available in [1,12,22,23,24].
The modal properties of the bridges including the fundamental transverse mode, TT, second transverse mode, TT2, fundamental longitudinal period, TL, geometric mean period, TG, (defined as TG = (TL·TT)0.5) and the effective modal mass ratios are presented in Table 1. The periods are computed using the effective stiffness of the columns.

3. Natural and Artificial Ground Motion Records

Three different record sets were considered including natural records, Atkinson simulated records and SIMQKE artificial records. Although different methods for simulating artificial records are available this study is limited to these types of ground motion records as examples of different procedures used for generating artificial records. These methods have been used in practice and research and were chosen to investigate the use of such artificially generated records in seismic performance assessment of bridges in comparison with the use of available natural ground motion records.

3.1. Natural Records

In this study the method recommended by ASCE/SEI Standard 7-16 [25] was chosen for the selection of the ground motion records. For the natural records, 22 pairs of records with the best spectrum match were selected from a large pool of records including 326 record pairs selected from the PEER-NGA ground motion database for the purpose of this study. The minimum limits on magnitude (M), peak ground acceleration (PGA) and peak ground velocity (PGV) were 6.0, 0.1 g and 10 m/s, respectively, for the records in the pool. These limits were chosen based on the recommendations available in different guidelines and research (e.g., [26,27]) to select the records with sufficient strength and intensity that do not need large-scale factors to match the target spectrum and can cause structural damage. A computer code was developed for this purpose so that the records with the best matches to the target design spectrum were selected from the pool of records for each structure. For measuring the match with the target spectrum the sum of the squared errors between the logarithms of the ground motion’s spectrum and the target spectrum was used [28]. For 3D analyses the records were selected so that the SRSS spectrum of the records matches 1.3 times the design spectrum [27]. For the 2D analyses the mean spectrum of the 44 horizontal components were matched to the design spectrum. A period range of 0.2T to 3T was used for spectrum matching, where T is the fundamental period of the structure. The smaller fundamental period in the transverse and longitudinal directions was used to determine the lower bound of 0.2T and the larger period was used to determine the upper bound of 3T. It is noted that a shorter period range (i.e., 0.2T to 2T) is typically recommended in current seismic design provisions. However, some studies suggest that the period range up to 3T can influence the non-linear seismic response of ductile structures [27].
The selected records had a magnitude, M, range of 6.5 to 7.6, PGA range of 0.11 to 0.54 g, PGV range of 11 to 54 m/s, range of 200 to 725 m/s and a hypo-central distance range of 11 to 54 km. The response spectra of the 44 horizontal components of the selected records are shown in Figure 4a. The target spectrum in Figure 4 is the uniform hazard spectrum for Vancouver, site class C, having a probability of exceedance of 2% in 50 years [29].
The variation of the predicted mean response of the central column, C2, with the number of records is shown in Figure 5a,b for the regular and irregular bridges, respectively. The results suggest that the use of a minimum number of 7 records, as recommended in some seismic codes, leads to satisfactory predictions of the mean radial displacements. In this study for the case of the natural records the results obtained using 22 record pairs (i.e., 44 horizontal components) are presented. For the case of the artificial records since these records are closely matched and are compatible with the target spectrum, 14 horizontal components were used.

3.2. Atkinson Records

Atkinson [30] used the stochastic finite-fault method to generate earthquake time histories that may be used (by simple linear scaling) to match the National Building Code of Canada (NBC) [29] uniform hazard spectra (UHS) for a wide range of Canadian sites. The simulated ground motions were developed from a seismological model of source, path and site parameters that has been validated by comparing data and predictions in data-rich regions. The simulated records were generated for a range of magnitudes and distances contributing to the hazard level of 2% in 50 years. For each site condition, there are 4 sets available (each set contains 45 records) that correspond to different magnitudes (M) and distances including: M6.5 at 10 to 15 km, M6.5 at 20 to 30 km, M7.5 at 15 to 25 km, and M7.5 at 50 to 100 km. For example, for site class C considered in this study these four sets correspond to sets 6C1, 6C2, 7C1 and 7C2, respectively. For the analyses, a total of 14 records with the best match to the target spectrum were selected from different sets. The number of records from each set was determined based on the seismic deaggregation results for Vancouver. For selecting the records, the method described by Atkinson [30] was used. For this purpose, for each record the values of (SAtarg/SAsim) were calculated for all periods in the period range where SAtarg and SAsim are the spectral acceleration from the target spectrum and the response spectrum of the simulated record, respectively. The records with the lowest standard deviation in (SAtarg/SAsim) ratios and the mean (SAtarg/SAsim) ratio in the approximate range from 0.5 to 2 were chosen. Each selected record was scaled by the mean values of (SAtarg/SAsim) ratio. The response spectra of the selected records and the mean response spectrum are presented in Figure 4b. For the 3D analysis the average SRSS spectrum of the records should match 1.3 times the design spectrum. Therefore, a scale factor of 1.3/ 2 = 0.92 was applied to the pairs of selected records to perform 3D analysis.

3.3. SIMQKE Records

The SIMQKE computer program [31] is used to generate statistically independent artificial acceleration time histories which are matched to a specified response spectrum.
The method used by the program for artificial ground motion generation is based on the fact that any periodic function can be expanded into a series of sinusoidal waves with different amplitudes and phase angles. By fixing an array of amplitudes and generating different arrays of phase angles, different motions with the same general appearance but different details can be obtained. The computer program uses a random number generator to produce phase angles with uniform likelihood in the range between 0 and 2π. The program also performs a baseline correction on the generated motion to ensure zero final ground velocity [17,31]. Fourteen acceleration time histories were generated using SMQKE. The response spectra of the generated records and the mean response spectrum are presented in Figure 4c. A scale factor of 0.92 was applied to the pairs of records for the 3D analyses, as explained above.

4. Comparison of Records Spectra and Correlation Coefficient

The mean response spectra obtained from three different record sets are presented in Figure 6. As shown, the mean response spectra of the records are approximately matched to the target spectrum in the period range of the bridges. The SIMQKE artificial records are closely matched to the target spectrum, while the matching obtained using the natural records and the Atkinson artificial records have larger differences. Since the number of available Atkinson records are limited to 45 records in each set, it is difficult to achieve a close match with the target spectrum. This is especially true if the period range considered for matching is relatively wide. The natural records in this study were selected from a large pool of records; therefore, very good spectral matching was achieved for this case. The matching error, E, obtained at different periods is shown in Figure 6b for different record sets in terms of Ln(SAmean/SAtarg), where SAmean is the mean spectrum of the records. It should be noted that increasing the number of records will not necessarily result in improved matching. This is because as the number of records increases, records with larger differences (i.e., error) relative to the target spectrum need to be used. The variability of the records response spectra for different sets is shown in Figure 6c in terms of logarithmic standard deviation (i.e., record-to-record variability). As shown in the figure, the variability of the SIMQKE records are significantly smaller than that of the other two sets. The variability of the Atkinson records in the period range of 0.3 to 1.0 s is similar to that of the natural records and it is smaller in other period ranges. It should be noted that the use of the spectrum matched records results in a reduced record-to-record variability in general. Therefore, these records are only used for the prediction of the mean responses of the bridges.
The coefficients of correlation between the horizontal components of the artificial records were computed for 140 randomly paired records. The correlation coefficients for a pool of 326 natural records selected from the PEER-NGA database were also computed. In Figure 7a,b the cumulative probabilities of the correlation coefficients were compared for the case of the as-recorded horizontal components and the maximum correlation (e.g., [32]). To predict the correlation coefficients reported in Figure 7, a computer code was developed to calculate these coefficients for different types of records based on the equations and recommendations provided by Hadjian [32]. The results demonstrate that the correlation coefficients were much lower for the SIMQKE artificial records considered. The total cumulative probabilities of the correlation coefficients for the Atkinson records were approximately similar to those of the natural records as shown in Figure 7c. Some codes impose an upper bound of 0.3 for the correlation coefficients of the records used in analysis [27]. There is a general concern that the simultaneous use of highly correlated motions may underestimate the response in certain cases [32].

5. Predicting the Mean Responses of the Bridges

In conventional practice the maximum absolute values of deformations obtained from a number of ground motion records are typically used to calculate the mean value of seismic demands. In the method recommended by Priestley et al. [7] the directions of the displacements is considered, because displacement is a vector quantity and hence the averaging procedure should consider the direction at which the maximum radial displacements occur. This method enables the determination of realistic values of strains in the concrete and steel corresponding to the resultant vectorial displacement. To obtain realistic average radial displacements, the displacement in each direction must be obtained for each record pair used in the analyses, and for each time step. From these results of the full time-history of displacements, the maximum value for each radial direction can be determined from the data for a series of directions around the full 360° for a given pair of ground motion records. In this study, radial directions at 10° intervals were considered. The average displacements in the different radial directions can then be determined for a number of input ground motions. From this data the critical direction and corresponding critical displacement can be determined [7]. In this study both of the averaging methods discussed above are used to determine the mean displacements of the bridge columns. A computer code was developed for post-processing of the results from the non-linear time history analyses at each analysis time step (e.g., around 0.01 to 0.02 s. depending on the ground motion record used). Although using this method significantly increased the time needed to perform the analyses, useful information regarding the radial displacement at each time step (i.e., at each time step Δ r = Δ x 2 + Δ y 2 ) to determine the maximum radial displacements and the maximum radial displacements at different directions were obtained.

6. Predictions Using 3D Analysis

Structural analysis results are typically available only for the two perpendicular principal directions of the structure (i.e., X and Y directions) and, therefore, the peak displacements only in the X and Y directions are obtained. Since the peak displacements in the X and Y directions occur at different times, it is not possible to estimate the maximum radial (vectorial) displacement of the columns. In this study the radial displacements were determined at each time interval using the component of displacements in X and Y directions. The mean displacements obtained for the bridge columns using different natural and artificial record sets are presented in Table 2 and Table 3 for the regular and irregular bridges, respectively. The results are shown using two different averaging methods: using maximum absolute values; and using averaging procedure in different radial directions. The average displacements and corresponding displacement ductility demands are determined for the longitudinal, transverse and radial directions. It is noted that to predict the displacement ductility demands, μ, the displacement demands, Δu are divided by the yield displacements, Δy as defined by the equations provided by Priestley et al. [7] (i.e., μ = Δuy). Further details regarding the predictions of ductility demands is available by Tehrani and Mitchell [1]. To estimate the maximum radial displacement of the columns using the analysis results in the principal directions of the bridges, typically 100% of the absolute displacement in each principal direction is combined with 30% of the absolute displacement in the perpendicular direction (referred to as the 30% combination rule used in codes). The results obtained using the 30% combination rule are also given in the tables.
As presented in the tables, the predictions obtained using the absolute maximum displacements were significantly larger than those obtained by taking into account the direction of the displacement vectors for the radial displacements (around 30% to 40% difference). However, these differences were smaller when only the transverse and longitudinal displacements were considered (around 15%).
The predictions of the mean displacements obtained from different record sets are compared in Table 2 and Table 3. While for the natural records the two horizontal components are available as recorded from the real earthquakes, for the artificial records the horizontal components may be simulated separately. This can result in a very large number of possible record pairs that can be selected from a number of available horizontal components. Therefore, it is necessary to investigate if the predictions obtained using the artificial records that are randomly selected as pairs are sensitive to the selection of the record pairs. To investigate this issue, 20 different record subsets were selected for each type of artificial record. Each subset included 7 pairs of records which were randomly selected from 14 artificial horizontal components. The mean responses of the bridges were determined for each subset (i.e., the average responses from 7 pairs of records in each set). This resulted in 20 different predictions of the mean response for each artificial record set. The maximum and minimum predictions of the mean displacements obtained from these 20 subsets of records are presented in Table 4 for the critical column C2. The mean and coefficient of variation (i.e., standard deviation divided by mean) of the predicted mean values from 20 different subsets are also presented in Table 4 for the Atkinson and SIMQKE artificial records. The results indicate that on average the coefficients of variation were relatively small (i.e., around 0.05 to 0.1). The minimum predictions from different record sets were around 10% to 15% smaller than the mean values. The mean values predicted from 20 different record subsets were used in Table 2 and Table 3 to compare the predictions from the artificial and natural record sets. The mean predictions in different radial directions from 20 different subsets are shown in Figure 8 for the central column, C2, of the irregular bridge. The predictions obtained from the artificial records, as presented in Table 2 and Table 3, were in good agreement with those obtained from the natural records. The differences in predicting the radial displacements for the critical column C2 in the regular bridge were around +6% and −6% for the Atkinson and SIMQKE records, respectively. These differences for the case of the irregular bridge were −1% and −5%, respectively.
The differences were slightly larger when the displacements in the transverse and longitudinal directions are compared (around 10%). However, when these displacements were combined using the 30% rule the differences were around 5%. The mean displacement envelopes for the central columns of the bridges obtained using the averaging procedure in different directions are presented in Figure 9 for three different record sets considered. The results indicate that the mean predictions from the different sets are in good agreement. The results obtained using the 30% rule (Table 2 and Table 3) provide slightly conservative values compared with the mean radial displacements obtained from the 3D analyses for all record types considered. However, when the averaging procedure in different directions is adopted, the predictions using the 30% rule were much larger than the radial displacements obtained using this procedure (see Table 2 and Table 3).
A comparison of the different averaging methods used indicates that the use of the mean responses in different directions generally resulted in smaller predictions. The differences in predictions of the maximum radial ductility demands were around 30% using the two methods (i.e., reduction in radial ductility demands from 3.2 to 2.2 for the case of the regular bridge and from 4.1 to 2.8 for the case of the irregular bridge as presented in Table 2 and Table 3, respectively). This may indicate that the use of mean values in different directions can result in more economical design of the bridges studied.

7. Predictions Using 2D Analysis

For the 2D analyses the bridges were subjected to the horizontal components of the ground motions in the transverse and longitudinal directions separately. Due to different spectrum-matching procedures in the codes for 2D and 3D analyses, some modifications to the records selected for the 3D analysis were necessary to perform 2D analysis. The average displacements of the bridge columns in the transverse and longitudinal directions are summarized in Table 5 and Table 6 for the regular and irregular bridges, respectively. The average displacements were determined using both the average of the maximum absolute displacements and the average of the maximum positive and negative displacements. The differences between the different averaging methods were smaller for the 2D analysis (Table 5 and Table 6) compared with the 3D analysis (Table 2 and Table 3). The results also indicate that the use of the 30% rule for the bridges studied resulted in very good predictions of the maximum radial displacements obtained from 3D analyses. For example, for the case of the natural records the displacements for the central columns of the regular and irregular bridges were predicted as 123 and 178 mm using 2D analysis (Table 5 and Table 6), respectively, which are similar to the predictions of 123 and 166 mm from 3D analyses (Table 2 and Table 3). Similar trends were observed for the case of the artificial records.
The predictions of the mean displacements obtained using the Atkinson records and the SIMQKE records are also presented in Table 5 and Table 6. The predictions from the artificial records were obtained using 14 horizontal components, while the mean displacements for the case of the natural records were predicted using 44 horizontal components of the ground motion records. For the case of the irregular bridge the maximum differences between the predictions from the artificial SIMQKE records and the natural records for the transverse, longitudinal and radial directions (estimated by the 30% rule) were around −7%, −6% and −6%, respectively. These differences for the case of the Atkinson records were 4%, −10% and −7%, respectively (for the critical column C2). The results for this case are in good agreement and the differences are typically smaller than 10%. For the case of the regular bridge, the predictions from the SIMQKE records were somewhat smaller than those obtained from the natural records and the Atkinson records. For this case the maximum differences from the SIMQKE records for the transverse, longitudinal and radial directions were around −7%, −19% and −10% compared to the natural records. These differences were around 1%, −6% and −1%, respectively, for the case of the Atkinson records. Using the 30% rule and the SIMQKE records results in a −10% difference compared with the overall radial displacement of the critical column, C2. However, the predicted mean displacement in the longitudinal direction for the SIMQKE records is around 19% smaller than that obtained from the natural records. However, this difference is most likely due to the overestimation of the displacement demands obtained from the natural records rather than an underestimation of the response by the SIMQKE records. This is because the mean response spectrum of the natural records is inevitably more loosely matched to the target spectrum, as presented in Figure 6a,b. Therefore, depending on the period range controlling the maximum response of the structure the results obtained from loosely matched records can either be overestimated if the mean response spectrum of the records is somewhat larger than the target spectrum in a certain period range or underestimated if the mean spectrum falls below the target spectrum in a particular period range. For example, for the regular bridge the longitudinal period is 0.90 s. The controlling period range can be approximately estimated by multiplying the period by the square root of the maximum ductility demand. Therefore, given a ductility demand of 2.0 (Table 5) for the SIMQKE records, the controlling period range in the longitudinal direction is approximately between 0.90 to 1.27 s (i.e., 0.9 × 2.0 ). From Figure 6b it is clear that in this period range the mean spectrum of the natural records and the Atkinson records are larger than the spectral values of the target spectrum. However, the mean spectrum of the SIMQKE records is very close to the target spectrum (Figure 6b). Therefore, it is expected that the displacements are somewhat overestimated, for this case, when the natural or the Atkinson records, that have larger dispersion, are used.
For the case of the irregular bridge the period of the bridge is 1.28 s in the longitudinal direction. For this case only the central column yields and the other columns remain elastic. The total stiffness of the columns at the maximum displacement was determined as 0.41 times the initial stiffness of the bridge. Therefore, the effective period range is approximately between 1.28 to 2.0 s (i.e., 1.28/ 0.41 ). As shown in Figure 6b, in this period range the mean spectrum of the natural records is closely matched to the target spectrum, while the mean spectrum of the Atkinson records is somewhat below the target spectrum (which resulted in −10% difference). The mean spectrum of the SIMQKE records is only slightly lower than the target spectrum in this period range that resulted in around −5% differences. These differences are reasonably small and negligible.
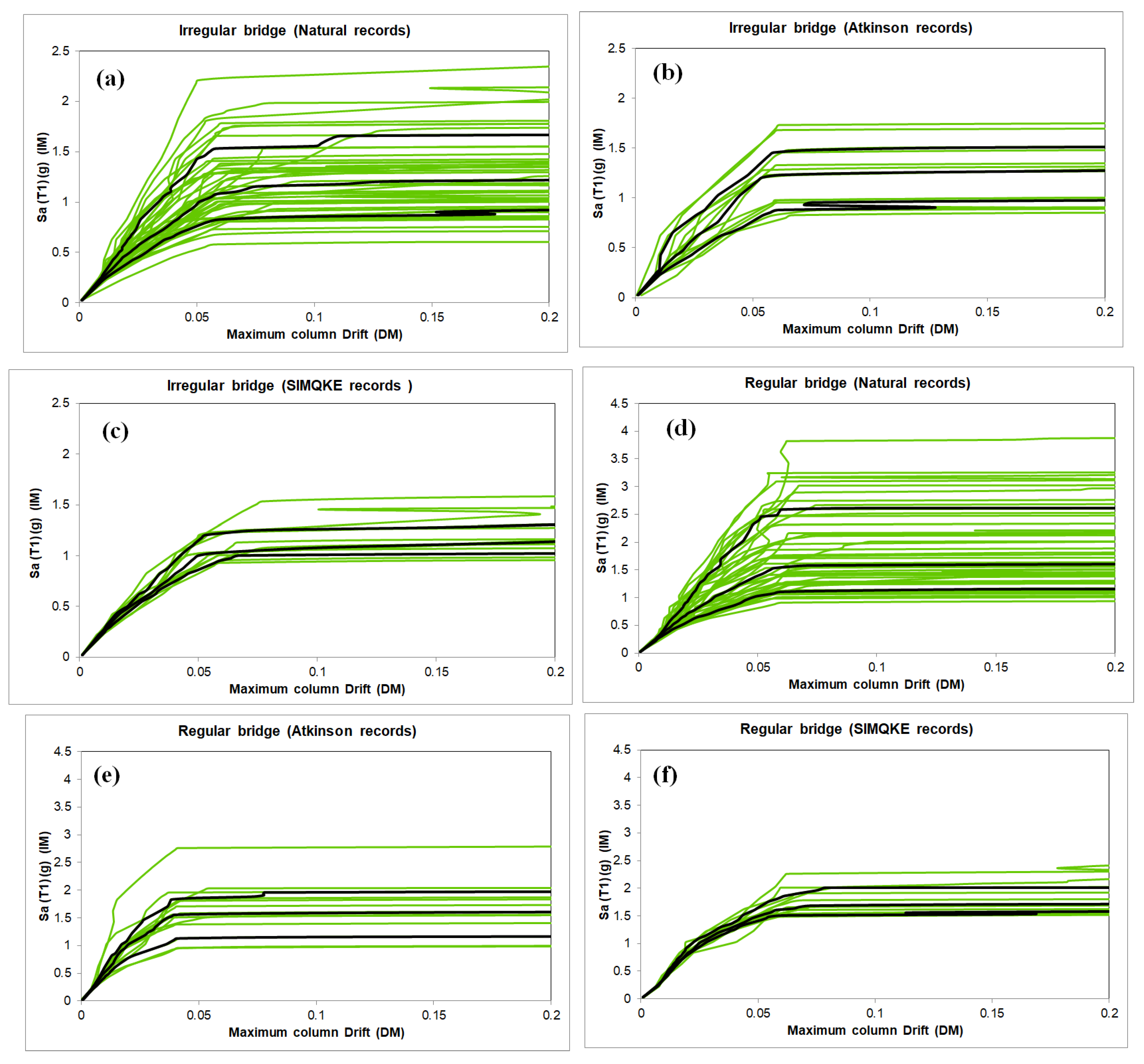
In Figure 10, displacement envelopes obtained from inelastic time history analysis using different record types are compared for the case of the regular and irregular bridge. The predictions shown in this figure were obtained using averaging in different directions. In this figure the predictions obtained using the multi-mode elastic analysis are also provided. For the case of the irregular bridge (Figure 10a) the differences in predictions obtained using different record sets are larger compared to the case of the regular bridge shown in Figure 10b. This indicates that since the seismic behavior of irregular bridges is more complex (e.g., in terms of complex non-linear behavior due to uneven distribution of seismic demands among different columns), the properties and types of record used for analysis can have higher impacts on the seismic response predictions and the seismic response of such irregular structures are likely to be more sensitive to the type of records used in non-linear time history analysis, when the mean displacements in different directions are predicted, and care should be taken in this regard. For the irregular bridge studied in this research, the results from SIMQKE records seems to somewhat underestimate the seismic demands, while the use of Atkinson’s records somewhat overestimated the seismic response. For the regular bridge, however, the response was not that sensitive and the use of different record types resulted in almost similar predictions.
It is worth mentioning that while the predictions from the elastic analysis are in good agreement with those obtained using the inelastic analysis and they are somewhat conservative for the case of the regular bridge (Figure 10b), the elastic analysis could not successfully predict the maximum displacement demands in the location of the shortest critical pier, as shown in Figure 10b. The predictions from elastic analysis underestimated the seismic demands for the case of the irregular bridge. These problems with irregular bridges are studied in more detail by Tehrani and Mitchell [1,22].
Coefficients of variation (CV) (i.e., mean values divided by standard deviation) of the predictions from different record types are given in Figure 11 for the regular and irregular bridges. While the CV values are much smaller for the SIMQKE records due to close matching to the target response spectrum, the CV values for the natural and Atkinson’s records are very similar. It is also observed that the CV values at the location of the short middle column in the irregular bridge are larger than those in the regular bridge for all different record types. This again is due to the fact that the response of the irregular bridge is more sensitive to the record used in the analysis and, therefore, the variation of the results is somewhat larger compared to the case of the regular bridge. It is noted, however, that the results of this study are limited to the cases considered and general conclusions may not be made without further research.
While this research focuses on the provisions of North American bridge codes concerning irregularity in bridges, it is worth mentioning that in the Eurocode 8 for bridges (CEN 1998-2) [33] a different definition of irregularity is used and the use of different methods of analysis are recommended (e.g., a combination of an equivalent linear analysis with a non-linear static analysis is recommended in the Eurocode). More research is needed to investigate the differences between the European and American bridge codes.

8. Incremental Dynamic Analysis (IDA)

IDA [34], is an analysis method which can be used for more detailed seismic performance predictions of structures subjected to different seismic excitation levels. IDA involves numerous inelastic time history analyses performed using one or a set of ground motion record(s), each scaled (up or down) to study different seismic intensity levels. The IDA results are commonly presented using an intensity measure (IM) versus a damage measure (DM) of interest. IM is a non-negative scalable scalar, which is a function of the unscaled accelerogram, and is monotonically increased with a scale factor [34]. The 5% damped spectral acceleration at the structure’s first-mode period (Sa (T1, 5%)) is often recommended and used as the IM parameter.
The damage measure, DM, is defined as a non-negative scalar quantity that characterizes the response of the structure to seismic excitations and can be deduced from the output of the non-linear dynamic analysis. For bridges, the maximum drift ratio of the critical columns or the maximum ductility demand is typically used for the DM parameter.
In using IDA, the post-peak (i.e., cap point) response of structural elements should be included in modelling. The most important factors in structural modelling for IDA are the plastic rotation capacity, θcap, and the post-capping rotation capacity, θpc [26]. These parameters are used to define a component backbone curve, as shown in Figure 12.
A study by Berry and Eberhard [11] provides some empirical equations to estimate the engineering demand parameters. These parameters include drift ratio, plastic rotation and strain in the longitudinal bars for circular bridge columns based on the properties of the columns including longitudinal and transverse steel ratio, axial load ratio, and geometry. In this research, the ultimate tensile strain in the steel bars corresponding to the bar buckling damage state from the empirical equations is used to compute the ultimate curvature of the columns and the corresponding drift and curvature ductility is defined as the point at which strength degradation begins (i.e., θcap in Figure 12).
Several damage states are considered in the seismic evaluation of the bridge under study including yielding, cover spalling, bar buckling and dynamic instability (regarded as collapse). The damage states in this study are predicted using empirical equations developed by Berry and Eberhard [11]. The serviceability damage state and bar-buckling damage state (shown by bar-buckling (Priestley)) are predicted based on the criteria given by Priestley et al. [7]. More detail regarding the determination of the damage states for the bridges under study is given by Tehrani [12] and Tehrani and Mitchell [24].
The influence of using different types of record including artificial and natural records on the IDA results was investigated. IDA was performed for the regular and irregular bridge configurations considered in this research using different sets of artificial and natural records and the predictions including the IDA curves, percentiles and variability of the results were compared at different damage states.
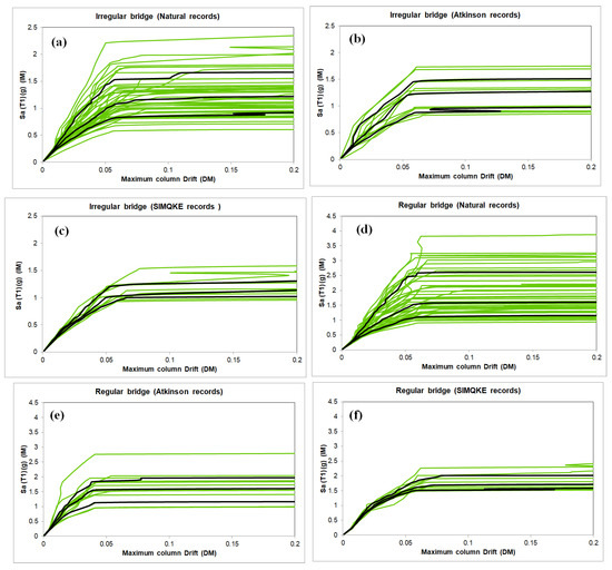
The IDA results for the transverse direction of the bridges were chosen to investigate the differences between the predictions from different record sets. The IDA curves obtained from different record sets are summarized in Figure 13. It is clear from this figure that the use of artificial records resulted in lower variability in predictions, compared to the case of natural records.
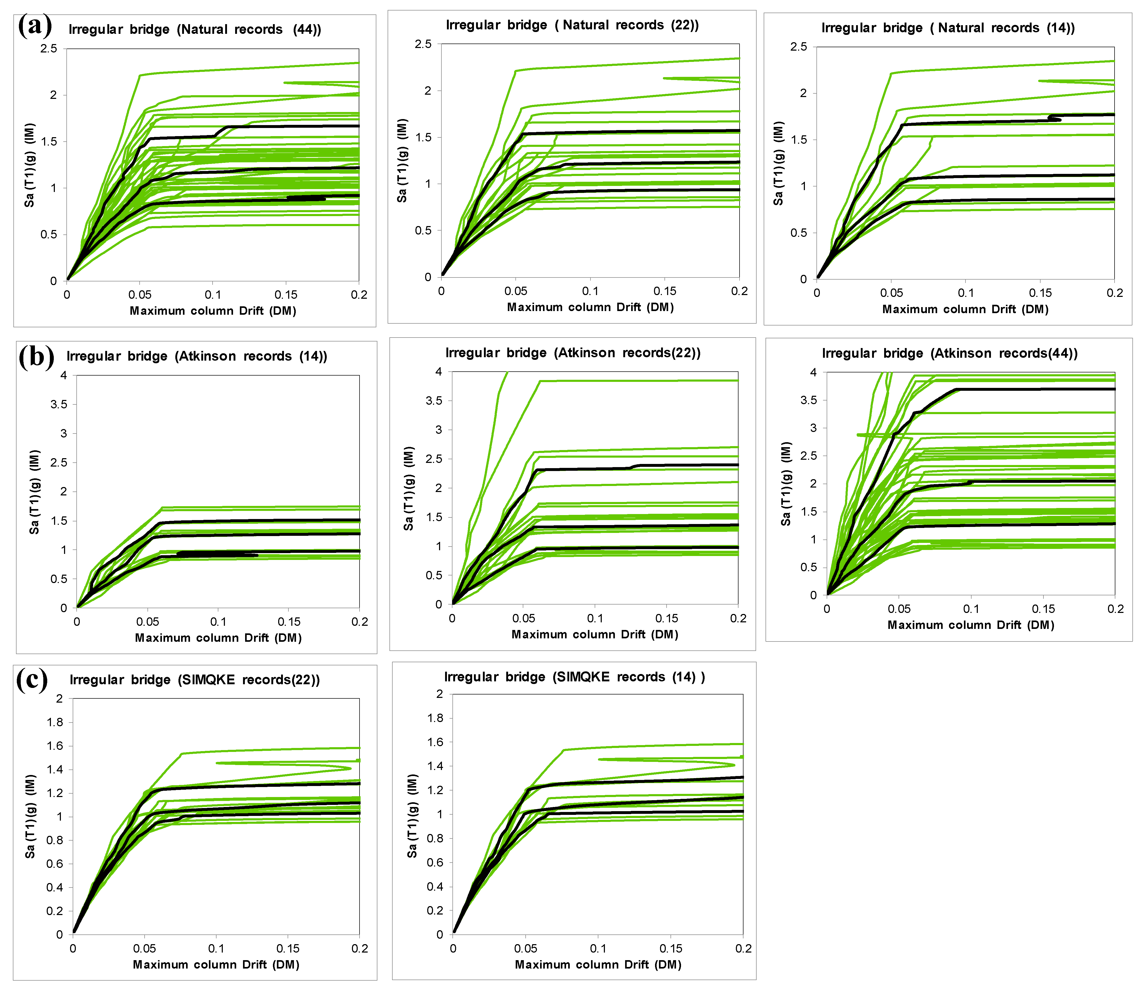
IDA curves were also obtained for different number of records, as presented in Figure 14, to investigate the sensitivity of the predictions to the number of records used in IDA. It is evident from this figure that for the case of SIMQKE and natural records the number of records did not have any important effect on the IDA results. However, for the case of Atkinson records as the number of records increased the predictions deviated from those obtained using the natural record sets. This is because for performing the analyses the records with the closest match to the target spectrum are selected, as discussed before. However, for the case of the Atkinson records the number of available records is limited and increasing the number of records will result in selecting records that are not sufficiently compatible with the target spectrum. For the case of natural records since a large pool of records was used, increasing the number of records only slightly changed the IDA predictions. Based on this information, 14 records were used for the case of artificial records and 44 records were used for the case of natural records. It is interesting to investigate if the use of a small number of artificial records can sufficiently predict the results obtained using a large number of natural records.
The predictions obtained from IDA are summarized in Figure 15 for different record sets at different damage states and for the regular and irregular bridges studied. The results are compared in terms of IDA percentiles and variability of results at different damage states. The results indicate that the predictions of the median capacities from artificial records were in good agreement with those obtained using the natural records especially at collapse, as shown in Figure 15a,b. In Figure 16 the median IDA curves are shown and compared for the regular and irregular bridges predicted using the SIMQKE, as well as the Atkinson and natural records. For the case of the natural records, 44 records were used while, for the case of the artificial records, a smaller number of records were used, as discussed before. As shown in Figure 16. the predictions of the median collapse capacity using the artificial records are in good agreement with those using the natural records (e.g., around 5% difference is observed for the different cases studied). While the artificial records underestimated the 84% percentiles, the Atkinson records did better in predicting the 16% percentiles, as shown in Figure 15c–f). The variability of the results is presented in Figure 15g,h in terms of logarithmic standard deviation of the results obtained from a number of records. It is evident that the variability of the natural records is typically larger, as expected, especially at ultimate damage states such as bar buckling and collapse. For the case of the Atkinson records applied to the irregular bridge, the dispersion of the results was higher at low damage states such as yielding and spalling, compared to the other record sets, as shown in Figure 15g. This can be attributed to the higher mode effects, complex dynamic behavior of the irregular bridge and the frequency contents of the Atkinson records. The record-to-record variability for the natural records was around 0.3 to 0.35 at collapse, as shown in Figure 15g,h. This is close to the value of 0.4 recommended by FEMA P695 [26]. Although general conclusions cannot be made without further research, the results show the possibility of using the median predictions from IDA, conducted using a smaller number of artificial records, along with appropriate values of record-to-record variability (e.g., value of 0.4) to predict the fragility curves with sufficient accuracy.

9. Conclusions

The seismic response of two RC bridges subjected to different sets and subsets of natural and synthetic ground motion records were studied using 2D and 3D inelastic time history analysis as well as incremental dynamic analysis (IDA). The seismic responses were predicted using different averaging methods. Although the results may be limited to the cases studied and general conclusions may not be made without further research, the main conclusions from the cases studied are summarized as follows:
  • The results obtained using the artificial and natural records were typically in good agreement for the bridges studied. The maximum differences in predicted displacements were around 10% to 15% on average. It was demonstrated that these minor differences were likely due to the errors in spectrum matching (i.e., loose versus tight matching) for different record sets.
  • The predictions obtained using random pairing of the horizontal components of the artificially generated records from 20 different subsets had coefficients of variation between 0.05 to 0.07 for the case of the averaging using absolute values and from 0.06 to 0.09 for the case of the averaging in different radial directions for the bridges studied. The mean values of predictions from these subsets were in good agreement with those using the natural records.
  • The mean seismic demands obtained from two different averaging procedures studied had relatively large differences. The use of averaging method in different directions generally resulted in smaller predictions, compared to the case that the mean responses were calculated using the maximum absolute values. The differences were more significant when the radial displacements were predicted. The use of the averaging method in different directions resulted in around 30% reduction in prediction of the maximum radial displacement demands. More research is needed on this subject.
  • The use of the 2D analyses using the 30% combination rule and the 3D analyses resulted in similar predictions for the straight bridges studied for all three record sets considered. This needs to be investigated for bridges with different configurations and degrees of irregularity.
  • IDA results obtained using different sets of natural and artificial records showed that the median predictions from different record sets were in good agreement at different damage states, especially at collapse. However, the variability of the results was significantly smaller for the artificial records considered in this research, compared to the case of natural records. Based on the results obtained, it may be possible to conduct the IDA using a smaller number of artificial or natural records provided that the variability of the results can be accounted for in the prediction of fragility curves. Variability in the range of 0.3 to 0.4 was observed for the natural records considered in this research.

Author Contributions

Conceptualization, P.T. and D.M.; methodology, P.T.; software, P.T.; validation, P.T.; investigation, P.T.; resources, P.T. and D.M.; data curation, P.T.; writing—original draft preparation, P.T.; writing—review and editing, P.T. and D.M.; visualization, P.T.; supervision, D.M.; project administration, D.M.; funding acquisition, D.M. All authors have read and agreed to the published version of the manuscript.

Funding

This research received no external funding.

Institutional Review Board Statement

Not applicable.

Informed Consent Statement

Not applicable.

Data Availability Statement

Not applicable.

Acknowledgments

Simulated ground motion records developed by Atkinson (2009) were obtained from www.seismotoolbox.ca. Natural ground motion data obtained from the PEER-NGA database is available at http://peer.berkeley.edu.

Conflicts of Interest

The authors declare no conflict of interest.

References

  1. Tehrani, P.; Mitchell, D. Effects of column and superstructure stiffness on the seismic response of bridges in the transverse direction. Can. J. Civ. Eng. 2013, 40, 827–839. [Google Scholar] [CrossRef]
  2. Karimzadeh, S. Seismological and Engineering Demand Misfits for Evaluating Simulated Ground Motion Records. Appl. Sci. 2019, 9, 4497. [Google Scholar] [CrossRef]
  3. Karimzadeh, S.; Askan, A.; Erberik, M.A.; Yakut, A. Seismic damage assessment based on regional synthetic ground motion dataset: A case study for Erzincan, Turkey. Nat. Hazards 2018, 92, 1371–1397. [Google Scholar] [CrossRef]
  4. Ferrotto, M.; Basone, F.; Asteris, P.G.; Cavaleri, L. Artificial Ground Motions and Nonlinear Response of RC Structures. Adv. Civ. Eng. 2020, 2020, 1–14. [Google Scholar] [CrossRef]
  5. Zentner, I. Comparison of natural and synthetic spectrum compatible accelerograms obtained by ground motion selection and stochastics simulation. In Proceedings of the SECED 2015 Conference: Earthquake Risk and Engineering towards a Resilient World, Cambridge, UK, 9–10 July 2015. [Google Scholar]
  6. Moghaddam, S.A.; Ghafory-Ashtiany, M. Evaluation of the dynamic response of structures to the real, synthetic and modi-fied accelerograms using s-transform. In Proceedings of the 10th National Conference in Earthquake Engineering, Earthquake Engineering Research Institute, Anchorage, AK, USA, 21–25 July 2014. [Google Scholar]
  7. Priestley, M.J.N.; Calvi, G.M.; Kowalsky, M.J. Direct Displacement Based Design of Structures; IUSS Press: Pavia, Italy, 2007. [Google Scholar]
  8. Caltrans. Seismic Design Criteria; California Department of Transportation: Sacramento, CA, USA, 2016.
  9. AASHTO. AASHTO LRFD bridge Design Specifications, 7th ed.; AASHTO: Washington, WA, USA, 2014. [Google Scholar]
  10. CSA. Canadian Highway Bridge Design Code (CHBDC) and Commentary; Canadian Standards Association (CSA): Mississauga, ON, USA, 2006. [Google Scholar]
  11. Berry, M.P.; Eberhard, M.O. Performance Modeling Strategies for Modern Reinforced Concrete Bridge Columns; PEER-2007/07, Pacific Earthquake Eng. Research Center; University of California, Berkeley: Berkeley, CA, USA, 2007. [Google Scholar]
  12. Tehrani, P. Seismic Analysis and Behavior of Continuous Reinforced Concrete Bridges. Ph.D. Thesis, Department of Civil Engineering, McGill University, Montreal, QC, Canada, 2012. [Google Scholar]
  13. Mander, J.B.; Priestley, M.J.N.; Park, R. Theoretical Stress-Strain Model for Confined Concrete. J. Struct. Eng. 1988, 114, 1804–1826. [Google Scholar] [CrossRef]
  14. Laterza, M.; D’Amato, M.; Thanthirige, P.L.; Braga, F.; Gigliotti, R. Comparisons of codal detailing rules for curvature ductility and numerical investigations. Open Constr. Build. Technol. J. 2014, 8, 132–141. [Google Scholar] [CrossRef]
  15. Watson, S.; Zahn, F.A.; Park, R. Confining Reinforcement for Concrete Columns. J. Struct. Eng. 1994, 120, 1798–1824. [Google Scholar] [CrossRef]
  16. Otani, S. Hysteresis model of reinforced concrete for earthquake response analysis. J. Fac. Eng. 1981, 11, 407–441. [Google Scholar]
  17. Carr, A. RUAUMOKO, A computer program for inelastic dynamic analysis; Department of Civil Engineering, University of Canterbury: Christchurch, New Zealand, 2009. [Google Scholar]
  18. AASHTO. Guide specifications for LRFD seismic bridge design. In Subcommittee T-3 for Seismic Effects on Bridges; American Association of State Highway and Transportation Officials: Washington, WA, USA, 2011. [Google Scholar]
  19. Priestley, M.J.N.; Benzoni, G. Seismic performance of circular columns with low longitudinal reinforcement ratios. ACI Struct. J. 1996, 93, 474–485. [Google Scholar]
  20. Berry, M.; Parrish, M.; Eberhard, M. PEER Structural Performance Database User’s Manual; Pacific Earthquake Engineering Research Center, University of California: Berkeley, CA, USA, 2004. [Google Scholar]
  21. Pinto, A.V.; Verzeletti, G.; Pegon, P.; Magonette, G.; Negro, P.; Guedes, J. Pseudo- Dynamic Testing of Large- Scale R/ C Bridges; Report EUR 16378; ELSA Lab: Ispra, Italy, 1996. [Google Scholar]
  22. Tehrani, P.; Mitchell, D. Effects of column stiffness irregularity on the seismic response of bridges in the longitudinal direction. Can. J. Civ. Eng. 2013, 40, 815–825. [Google Scholar] [CrossRef]
  23. Tehrani, P.; Mitchell, D. Seismic Response of Bridges Subjected to Different Earthquake Types Using IDA. J. Earthq. Eng. 2012, 17, 423–448. [Google Scholar] [CrossRef]
  24. Tehrani, P.; Mitchell, D. Seismic risk assessment of four-span bridges in Montreal designed using the Canadian Bridge de-sign code. J. Bridge Eng. 2014, 19, A4014002. [Google Scholar] [CrossRef]
  25. ASCE. Minimum Design Loads for Buildings and Other Structures, ASCE 7–16; American Society of Civil Engineers: Reston, VA, USA, 2016. [Google Scholar]
  26. FEMA P695. Quantification of Building Seismic Performance Factors; Rep. FEMA P695; Federal Emergency Management Agency: Washington, WA, USA, 2009.
  27. NIST. Selecting and Scaling Earthquake Ground Motions for Performing Response History Analysis; NIST/GCR 11-917-15; The NEHRP Consultants Joint Venture for the National Institute of Standards and Technology: Gaithersburg, MD, USA, 2011.
  28. Baker, J. Conditional Mean Spectrum: Tool for Ground-Motion Selection. J. Struct. Eng. 2011, 137, 322–331. [Google Scholar] [CrossRef]
  29. NRCC. The National Building Code of Canada (NBC); National Research Council of Canada: Ottawa, QC, Canada, 2015.
  30. Atkinson, G.M. Earthquake time histories compatible with the 2005 National building code of Canada uniform hazard spec-trum. Can. J. Civil Eng. 2009, 36, 991–1000. [Google Scholar] [CrossRef]
  31. Gasparini, D.; Vanmarcke, E.H. SIMQKE: A program for Artificial Motion Generation; Department of Civil Engineering, Massa-chusetts Institute of Technology: Cambridge, MA, USA, 1976. [Google Scholar]
  32. Hadjian, A.H. On the correlation of the components of strong ground motion—Part 2. Bull. Seismol. Soc. Am. 1981, 71, 1323–1331. [Google Scholar]
  33. En, C. Eurocode 8: Design of Structures for Earthquake Resistance–Part 2 Bridges; Comité Européen de Normalisation: Brussels, Belgium, 2005; Volume 146. [Google Scholar]
  34. Vamvatsikos, D.; Cornell, C.A. Incremental dynamic analysis. Earthq. Eng. Struct. Dyn. 2002, 31, 491–514. [Google Scholar] [CrossRef]
Figure 1. Bridges’ properties: (a) regular bridge; (b) irregular bridge.
Figure 1. Bridges’ properties: (a) regular bridge; (b) irregular bridge.
Applsci 11 00906 g001
Figure 2. Structural modelling of the bridges: (a) Schematic presentation of the structural modelling of the bridge in the Ruaumoko program (adapted from [12]); (b) modified Takeda hysteresis loop (adapted from [17]).
Figure 2. Structural modelling of the bridges: (a) Schematic presentation of the structural modelling of the bridge in the Ruaumoko program (adapted from [12]); (b) modified Takeda hysteresis loop (adapted from [17]).
Applsci 11 00906 g002
Figure 3. Comparison of the experimental data for the short column of the bridge B213C tested by Pinto et al. [21] and results from numerical analysis: (a) column displacement for the maximum earthquake; and (b) response of the column in reversed cyclic loading test.
Figure 3. Comparison of the experimental data for the short column of the bridge B213C tested by Pinto et al. [21] and results from numerical analysis: (a) column displacement for the maximum earthquake; and (b) response of the column in reversed cyclic loading test.
Applsci 11 00906 g003
Figure 4. Response spectra for all records and mean response spectrum for the case of: (a) natural records; (b) Atkinson records; and (c) SIMQKE records.
Figure 4. Response spectra for all records and mean response spectrum for the case of: (a) natural records; (b) Atkinson records; and (c) SIMQKE records.
Applsci 11 00906 g004
Figure 5. Influence of the number of records on the predictions of the mean displacement of column C2 for: (a) regular bridge and (b) irregular bridge.
Figure 5. Influence of the number of records on the predictions of the mean displacement of column C2 for: (a) regular bridge and (b) irregular bridge.
Applsci 11 00906 g005
Figure 6. Comparison of the spectrum matching for different artificial and natural records for case of: (a) mean response spectra; (b) error in spectrum matching and (c) logarithmic standard deviation.
Figure 6. Comparison of the spectrum matching for different artificial and natural records for case of: (a) mean response spectra; (b) error in spectrum matching and (c) logarithmic standard deviation.
Applsci 11 00906 g006
Figure 7. Correlation coefficients between the horizontal components for different record sets for the case of (a) as-recorded motions; (b) maximum correlation and (c) total cumulative probability.
Figure 7. Correlation coefficients between the horizontal components for different record sets for the case of (a) as-recorded motions; (b) maximum correlation and (c) total cumulative probability.
Applsci 11 00906 g007
Figure 8. Mean displacement of column C2 in the irregular bridge in different radial directions obtained from 20 different sets of pairs of horizontal components for: (a) SIMQKE records and (b) Atkinson records.
Figure 8. Mean displacement of column C2 in the irregular bridge in different radial directions obtained from 20 different sets of pairs of horizontal components for: (a) SIMQKE records and (b) Atkinson records.
Applsci 11 00906 g008
Figure 9. Mean displacements for column C2 in different radial directions: (a) regular bridge; (b) irregular bridge.
Figure 9. Mean displacements for column C2 in different radial directions: (a) regular bridge; (b) irregular bridge.
Applsci 11 00906 g009
Figure 10. Comparison of displacement envelopes obtained using different record types for (a) irregular bridge, and (b) regular bridge.
Figure 10. Comparison of displacement envelopes obtained using different record types for (a) irregular bridge, and (b) regular bridge.
Applsci 11 00906 g010aApplsci 11 00906 g010b
Figure 11. Coefficient of variation for predictions from different record types for (a) irregular bridge and (b) regular bridge.
Figure 11. Coefficient of variation for predictions from different record types for (a) irregular bridge and (b) regular bridge.
Applsci 11 00906 g011
Figure 12. Backbone curve parameters (adapted from FEMA P695 [26]).
Figure 12. Backbone curve parameters (adapted from FEMA P695 [26]).
Applsci 11 00906 g012
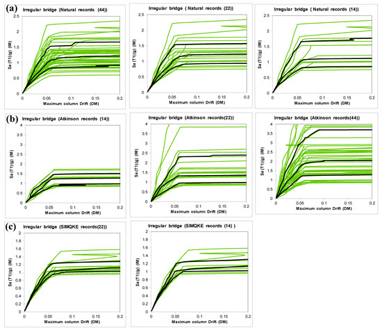
Figure 13. Incremental dynamic analysis (IDA) curves obtained for the irregular bridge using: (a) natural, and (b) Atkinson and (c) SIMQKE records and for the regular bridge using: (d) natural, and (e) Atkinson and (f) SIMQKE records.
Figure 13. Incremental dynamic analysis (IDA) curves obtained for the irregular bridge using: (a) natural, and (b) Atkinson and (c) SIMQKE records and for the regular bridge using: (d) natural, and (e) Atkinson and (f) SIMQKE records.
Applsci 11 00906 g013
Figure 14. Effect of the number of records (indicated in parentheses) used on the IDA curves obtained for different record sets for the case of (a) natural records, (b) Atkinson records, and (c) SIMQKE records.
Figure 14. Effect of the number of records (indicated in parentheses) used on the IDA curves obtained for different record sets for the case of (a) natural records, (b) Atkinson records, and (c) SIMQKE records.
Applsci 11 00906 g014
Figure 15. Comparison of the IDA results for the regular and irregular bridges in terms of: (a,b) 50% percentiles, (c,d) 16% percentiles, (e,f) 84% percentiles and (g,h) variability at different damage states for the irregular and regular bridges, respectively.
Figure 15. Comparison of the IDA results for the regular and irregular bridges in terms of: (a,b) 50% percentiles, (c,d) 16% percentiles, (e,f) 84% percentiles and (g,h) variability at different damage states for the irregular and regular bridges, respectively.
Applsci 11 00906 g015
Figure 16. Comparison of the median IDA curve from different record sets for: (a) regular bridge and (b) irregular bridge.
Figure 16. Comparison of the median IDA curve from different record sets for: (a) regular bridge and (b) irregular bridge.
Applsci 11 00906 g016
Table 1. Modal properties including periods and (effective modal mass ratios).
Table 1. Modal properties including periods and (effective modal mass ratios).
TT1 (s)TT2 (s)TL (s)TG (s)
Regular bridge0.75 (87%)0.28 (8%)0.900.82
Irregular bridge0.93 (90%)0.29 (5%)1.281.09
Table 2. Summary of the mean displacements (mm) of columns using 3D analysis for the regular bridge with mean ductility demands given in brackets.
Table 2. Summary of the mean displacements (mm) of columns using 3D analysis for the regular bridge with mean ductility demands given in brackets.
Average Maximum Absolute ValuesAverage in Different Directions
Natural RecordsAtkinson RecordsSIMQKE RecordsNatural RecordsAtkinson RecordsSIMQKE Records
Transverse C1 and 377 (2.0)75 (2.0)69 (1.8)64 (1.7)68 (1.8)64 (1.7)
C2109 (2.8)109 (2.8)99 (2.6)93 (2.4)97 (2.5)91 (2.4)
Longitudinal All86 (2.2)101 (2.6)92 (2.4)74 (1.9)89 (2.3)80 (2.1)
RadialC1 and 3 101 (2.6)113 (2.9)100 (2.6)69 (1.8)86 (2.2)78 (2.0)
C2123 (3.2)131 (3.4)115 (3.0)84 (2.2)93 (2.4)90 (2.3)
30% RuleC2135 (3.5)139 (3.6)127 (3.3)116 (3.0)124 (3.2)115 (3.0)
Table 3. Summary of the mean displacements (mm) for columns using 3D analysis for the irregular bridge with mean ductility demands given in brackets.
Table 3. Summary of the mean displacements (mm) for columns using 3D analysis for the irregular bridge with mean ductility demands given in brackets.
Average Maximum Absolute ValuesAverage in Different Directions
Natural
Records
Atkinson
Records
SIMQKE
Records
Natural
Records
Atkinson
Records
SIMQKE
Records
TransverseC1 95 (0.7)93 (0.7)84 (0.6)82 (0.6)86 (0.6)77 (0.6)
C2131 (3.2)130 (3.2)118 (2.9)112 (2.8)120 (3.0)106 (2.7)
C3101 (0.3)100 (0.3)91 (0.3)88 (0.3)92 (0.3)83 (0.3)
LongitudinalC1, 2 and 3138 (1.0, 3.4, 0.4)128 (0.9, 3.2, 0.4)142 (1.0, 3.5, 0.4)124 (0.9, 3.1, 0.4)114 (0.8, 2.9, 0.4)136 (1.0, 3.4, 0.4)
RadialC1 148 (1.0)142 (1.0)147 (1.0)116 (0.8)107 (0.7)130 (0.9)
C2166(4.1)164 (4.1)157 (3.9)114 (2.8)117 (2.9)130 (3.2)
C3151 (0.5)145 (0.5)148 (0.5)115 (0.4)108 (0.4)130 (0.5)
30% RuleC2178 (4.4)168 (4.2)177 (4.4)158 (3.9)154 (3.8)168 (4.1)
Table 4. Maximum and minimum of the predicted mean radial displacements (mm) using 3D analysis from 20 different subsets for the artificial records. Mean and coefficient of variation are given in brackets.
Table 4. Maximum and minimum of the predicted mean radial displacements (mm) using 3D analysis from 20 different subsets for the artificial records. Mean and coefficient of variation are given in brackets.
Regular BridgeIrregular Bridge
Averaging MethodColumn Atkinson RecordsSIMQKE RecordsAtkinson RecordsSIMQKE Records
Maximum absolute valuesC2148, 111 (131, 0.061)127, 100, (115, 0.061)179, 144 (164, 0.055)180, 141 (157, 0.070)
Different radial directionsC2106, 80 (93, 0.086) 105, 80 (90, 0.067)136,106 (117, 0.060)160, 108 (130, 0.092)
Table 5. Summary of the mean maximum absolute displacements (mm) for columns C1, C2 and C3 using 2D analysis for the regular bridge with mean ductility demands given in brackets.
Table 5. Summary of the mean maximum absolute displacements (mm) for columns C1, C2 and C3 using 2D analysis for the regular bridge with mean ductility demands given in brackets.
Average Maximum Absolute ValuesAverage in Different Directions
Natural
Records
Atkinson
Records
SIMQKE
Records
Natural
Records
Atkinson
Records
SIMQKE
Records
Transverse C1 and 3 64 (1.7)64 (1.7)59 (1.6)58 (1.5)54 (1.4)54 (1.4)
C294 (2.4)95 (2.4)87 (2.2)84 (2.2)82 (2.2)80 (2.1)
LongitudinalAll96 (2.5)90 (2.4)78 (2.0)81 (2.1)83 (2.2)72 (1.9)
30% RuleC2123 (3.2)122 (3.2)111 (2.9)109 (2.8)108 (2.8)102 (2.6)
Table 6. Summary of the mean maximum absolute displacements (mm) for columns C1, C2 and C3 using 2D analysis for the irregular bridge with mean ductility demands given in brackets.
Table 6. Summary of the mean maximum absolute displacements (mm) for columns C1, C2 and C3 using 2D analysis for the irregular bridge with mean ductility demands given in brackets.
Average Maximum Absolute ValuesAverage in Different Directions
Natural
Records
Atkinson
Records
SIMQKE
Records
Natural
Records
Atkinson
Records
SIMQKE
Records
Transverse C1 78 (0.6)81 (0.6)74 (0.6)69 (0.5)74 (0.6)65 (0.5)
C2110 (2.7)115 (2.8)102 (2.5)96 (2.4)105 (2.6)90 (2.2)
C386 (0.3)88 (0.3)80 (0.3)76 (0.2)81 (0.2)72 (0.2)
Longitudinal C1, 2 and 3145
(1.0, 3.6, 0.5)
130
(0.9, 3.2, 0.5)
137
(0.9, 3.4, 0.5)
130
(0.9, 3.2, 0.4)
108
(0.7, 2.7, 0.3)
129
(0.9, 3.2, 0.4))
30% RuleC2178 (4.4)165 (4.1)168 (4.2)158 (3.9)140 (3.5)156 (3.9)
Publisher’s Note: MDPI stays neutral with regard to jurisdictional claims in published maps and institutional affiliations.

Share and Cite

MDPI and ACS Style

Tehrani, P.; Mitchell, D. Investigating the Use of Natural and Artificial Records for Prediction of Seismic Response of Regular and Irregular RC Bridges Considering Displacement Directions. Appl. Sci. 2021, 11, 906. https://doi.org/10.3390/app11030906

AMA Style

Tehrani P, Mitchell D. Investigating the Use of Natural and Artificial Records for Prediction of Seismic Response of Regular and Irregular RC Bridges Considering Displacement Directions. Applied Sciences. 2021; 11(3):906. https://doi.org/10.3390/app11030906

Chicago/Turabian Style

Tehrani, Payam, and Denis Mitchell. 2021. "Investigating the Use of Natural and Artificial Records for Prediction of Seismic Response of Regular and Irregular RC Bridges Considering Displacement Directions" Applied Sciences 11, no. 3: 906. https://doi.org/10.3390/app11030906

APA Style

Tehrani, P., & Mitchell, D. (2021). Investigating the Use of Natural and Artificial Records for Prediction of Seismic Response of Regular and Irregular RC Bridges Considering Displacement Directions. Applied Sciences, 11(3), 906. https://doi.org/10.3390/app11030906

Note that from the first issue of 2016, this journal uses article numbers instead of page numbers. See further details here.

Article Metrics

Back to TopTop