Concentrations of Inorganic and Organic Pollutants in Forest Soils as an Archive of Anthropogenic Inputs in the State of Brandenburg, Germany
Abstract
1. Introduction
2. Material and Methods
2.1. National Forest Soil Inventory (NFSI)
2.2. Description of the Investigation Area
2.3. Soil Analysis
2.4. Forest Condition Data
2.5. Statistical Analyses
- As < 5.34 mg/kg
- Cd < 0.31 mg/kg
- Cr < 8.63 mg/kg
- Cu < 7.70 mg/kg
- Ni < 5.14 mg/kg
- Pb < 39.23 mg/kg
- Zn < 35.47 mg/kg
- pH(KCl) < 6.0
- Organic carbon content (Corg) < 15%
- Clay content < 10%
- Cation exchange capacity (CECeff) < 120 mmolc/kg
3. Results
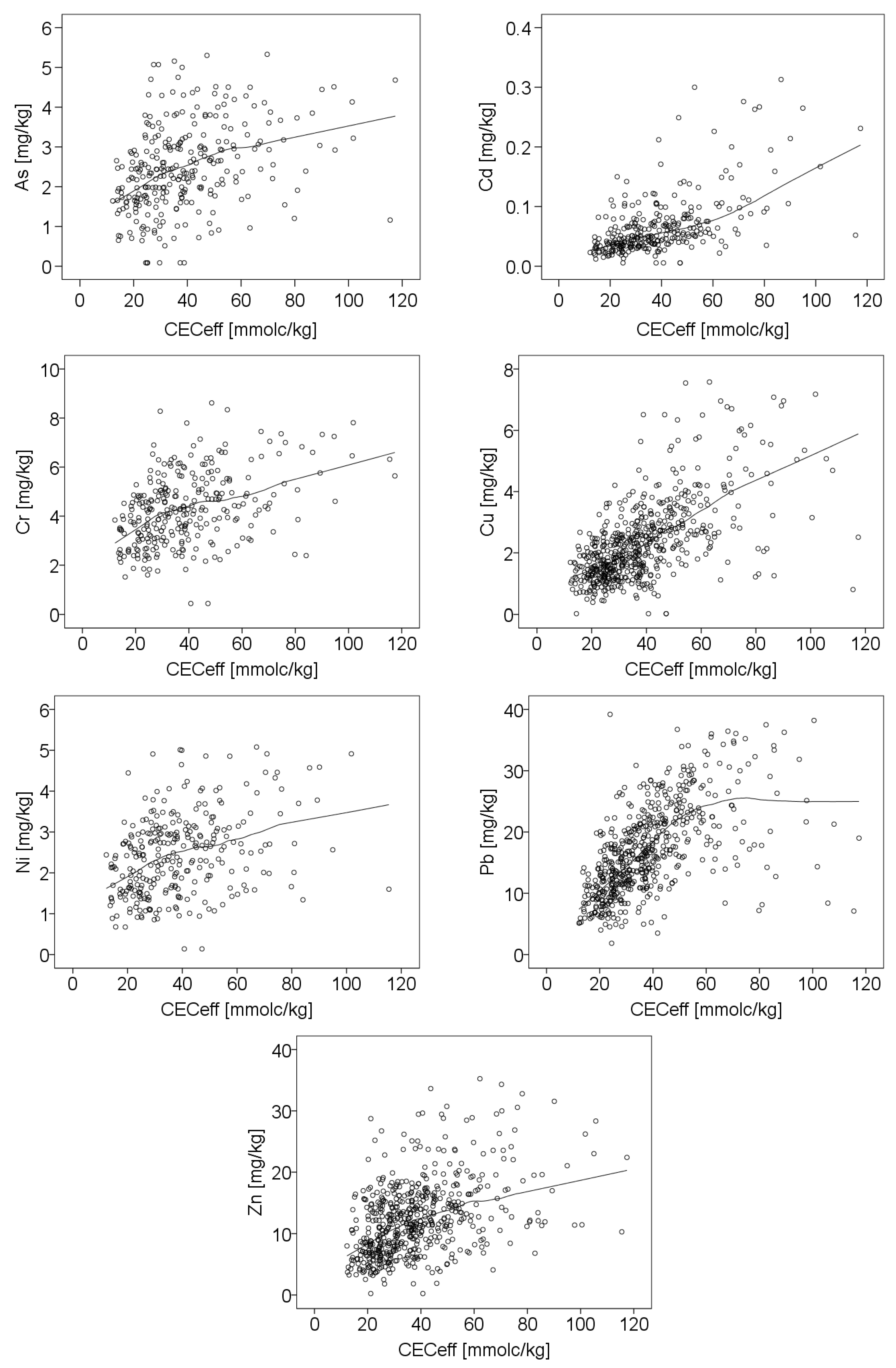
3.1. Inorganic Pollutants
3.2. Relationships between Inorganic and Organic Pollutants
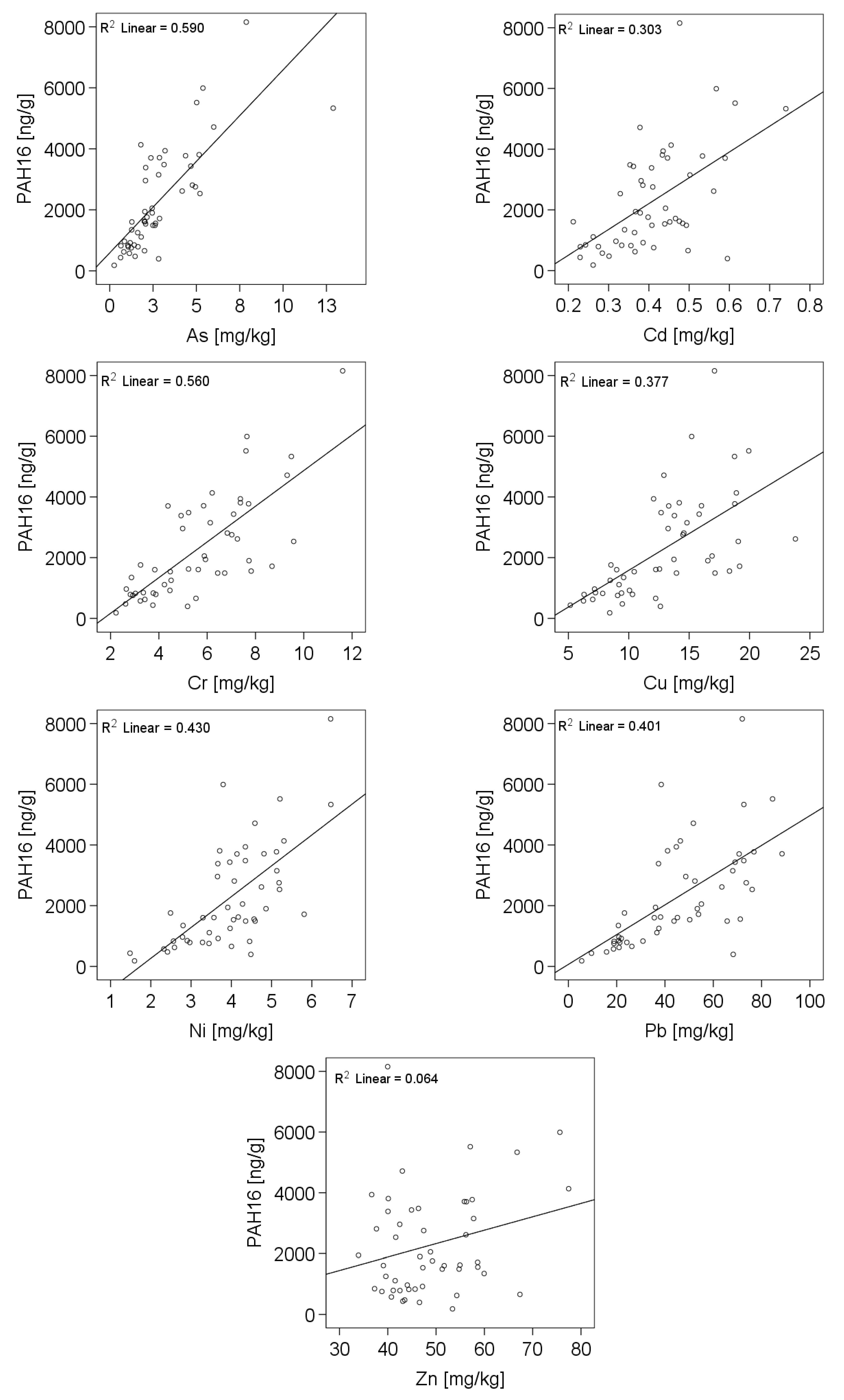
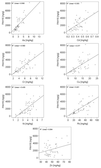
3.2.1. Polycyclic Aromatic Hydrocarbons (PAH)
3.2.2. Polychlorinated Biphenyls (PCB)
3.2.3. Chemical Pesticides and Herbicides
3.3. Principle Component Analysis (PCA) of the Organic and Inorganic Pollutants
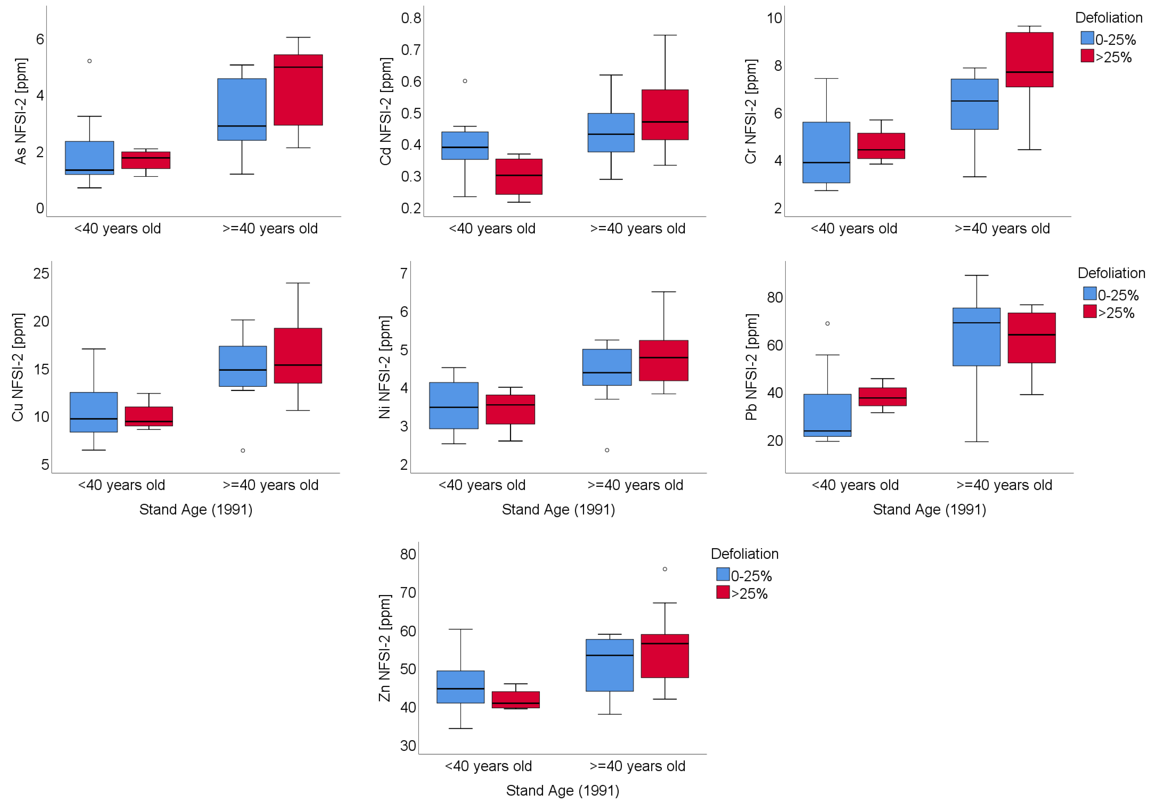
3.4. Relationship to Historical Forest Condition Data
4. Discussion
5. Conclusions
Author Contributions
Funding
Data Availability Statement
Acknowledgments
Conflicts of Interest
References
- Blume, H.P.; Brümmer, G.W.; Fleige, H.; Horn, R.; Kandeler, E.; Kögel-Knabner, I.; Kretzschmar, R.; Stahr, K.; Wilke, B.M. Scheffer/Schachtschabel Soil Science; Springer: Berlin/Heidelberg, Germany, 2016. [Google Scholar] [CrossRef]
- Walkington, H. Soil Science Applications in Archaeological Contexts: A Review of Key Challenges. Earth-Sci. Rev. 2010, 103, 122–134. [Google Scholar] [CrossRef]
- Küster, M.; Fülling, A.; Kaiser, K.; Ulrich, J. Aeolian Sands and Buried Soils in the Mecklenburg Lake District, NE Germany: Holocene Land-Use History and Pedo-Geomorphic Response. Geomorphology 2014, 211, 64–76. [Google Scholar] [CrossRef]
- Lehmann, A.; Stahr, K. Nature and Significance of Anthropogenic Urban Soils. J. Soils Sediments 2007, 7, 247–260. [Google Scholar] [CrossRef]
- Norton, S.A. Atmospheric Metal Pollutants-Archives, Methods, and History. Water Air Soil Pollut. Focus 2007, 7, 93–98. [Google Scholar] [CrossRef]
- Klaminder, J.; Bindler, R.; Rydberg, J.; Renberg, I. Is There a Chronological Record of Atmospheric Mercury and Lead Deposition Preserved in the Mor Layer (O-Horizon) of Boreal Forest Soils? Geochim. Cosmochim. Acta 2008, 72, 703–712. [Google Scholar] [CrossRef]
- Heim, S.; Schwarzbauer, J. Pollution History Revealed by Sedimentary Records: A Review. Environ. Chem. Lett. 2013, 11, 255–270. [Google Scholar] [CrossRef]
- Steinnes, E.; Friedland, A.J. Metal Contamination of Natural Surface Soils from Long-Range Atmospheric Transport: Existing and Missing Knowledge. Environ. Rev. 2006, 14, 169–186. [Google Scholar] [CrossRef]
- Santschi, P.H.; Presley, B.J.; Wade, T.L.; Garcia-Romero, B.; Baskaran, M. Historical Contamination of PAHs, PCBs, DDTs, and Heavy Metals in Mississippi River Delta, Galveston Bay and Tampa Bay Sediment Cores. Mar. Environ. Res. 2001, 52, 51–79. [Google Scholar] [CrossRef]
- Thuens, S.; Blodau, C.; Radke, M. How Suitable Are Peat Cores to Study Historical Deposition of PAHs? Sci. Total Environ. 2013, 450–451, 271–279. [Google Scholar] [CrossRef]
- Bohdálková, L.; Bohdálek, P.; Břízová, E.; Pacherová, P.; Kuběna, A.A. Atmospheric Metal Pollution Records in the Kovářská Bog (Czech Republic) as an Indicator of Anthropogenic Activities over the Last Three Millennia. Sci. Total Environ. 2018, 633, 857–874. [Google Scholar] [CrossRef]
- Zimmer, D.; Kiersch, K.; Jandl, G.; Meissner, R.; Kolomiytsev, N.; Leinweber, P. Status Quo of Soil Contamination with Inorganic and Organic Pollutants of the River Oka Floodplains (Russia). Water Air Soil Pollut. 2010, 211, 299–312. [Google Scholar] [CrossRef]
- Wang, G.; Mielke, H.W.; van Quach, C.G.; Zhang, Q. Determination of Polycyclic Aromatic Hydrocarbons and Trace Metals in New Orleans Soils and Sediments. Soil Sediment Contam. Int. J. 2004, 13, 1–15. [Google Scholar] [CrossRef]
- Fabietti, G.; Biasioli, M.; Barberis, R.; Ajmone-Marsan, F. Soil Contamination by Organic and Inorganic Pollutants at the Regional Scale: The Case of Piedmont, Italy. J. Soils Sediments 2010, 10, 290–300. [Google Scholar] [CrossRef]
- Görres, M.; Frenzel, B. Ash and Metal Concentrations in Peat Bogs as Indicators of Anthropogenic Activity. Water Air Soil Pollut. 1997, 100, 355–365. [Google Scholar] [CrossRef]
- Wellbrock, N.; Ahrends, B.; Bögelein, R.; Bolte, A.; Eickenscheidt, N.; Grüneberg, E.; König, N.; Schmitz, A.; Fleck, S.; Ziche, D. Concept and Methodology of the National Forest Soil Inventory. In Status and Dynamics of Forests in Germany: Results of the National Forest Monitoring; Wellbrock, N., Bolte, A., Eds.; Ecological Studies; Springer International Publishing: Cham, Switzerland, 2019; pp. 1–28. [Google Scholar] [CrossRef]
- Utermann, J.; Aydın, C.T.; Bischoff, N.; Böttcher, J.; Eickenscheidt, N.; Gehrmann, J.; König, N.; Scheler, B.; Stange, F.; Wellbrock, N. Heavy Metal Stocks and Concentrations in Forest Soils. In Status and Dynamics of Forests in Germany: Results of the National Forest Monitoring; Wellbrock, N., Bolte, A., Eds.; Ecological Studies; Springer International Publishing: Cham, Switzerland, 2019; Volume 237, pp. 199–230. [Google Scholar] [CrossRef]
- Marx, M.; Ackermann, J.; Schmidt, S.; Utermann, J.; Bussian, B.M. Occurrence and Spatial Distribution of Selected Organic Substances in Germany’s Forest Soils. In Status and Dynamics of Forests in Germany: Results of the National Forest Monitoring; Wellbrock, N., Bolte, A., Eds.; Ecological Studies; Springer International Publishing: Cham, Switzerland, 2019; Volume 237, pp. 231–260. [Google Scholar] [CrossRef]
- Ravindra, K.; Sokhi, R.; Grieken, R.V. Atmospheric Polycyclic Aromatic Hydrocarbons: Source Attribution, Emission Factors and Regulation. Atmos. Environ. 2008, 42, 2895–2921. [Google Scholar] [CrossRef]
- Srogi, K. Monitoring of Environmental Exposure to Polycyclic Aromatic Hydrocarbons: A Review. Environ. Chem. Lett. 2007, 5, 169–195. [Google Scholar] [CrossRef]
- Meij, R.; te Winkel, H. The Emissions of Heavy Metals and Persistent Organic Pollutants from Modern Coal-Fired Power Stations. Atmos. Environ. 2007, 41, 9262–9272. [Google Scholar] [CrossRef]
- Aichner, B.; Bussian, B.; Lehnik-Habrink, P.; Hein, S. Levels and Spatial Distribution of Persistent Organic Pollutants in the Environment: A Case Study of German Forest Soils. Environ. Sci. Technol. 2013, 47, 12703–12714. [Google Scholar] [CrossRef]
- Heinisch, E.; Kettrup, A.; Bergheim, W.; Martens, D.; Wenzel, S. Persistent Chlorinated Hydrocarbons (PCHC), Source-Oriented Monitoring in Aquatic Media 2. The Insecticide DDT, Constituents, Metabolites. Fresenius Environ. Bull. 2005, 14, 68–85. [Google Scholar]
- Heinsdorf, D.; Branse, C.; Heisterberg, B. Charakterisierung der Fremdstoffbelastung in Kiefernökosystemen über die Erfassung von Boden- und Ernährungskundlichen Kenndaten und unter Besonderer Berücksichtigung der Waldrandproblematik Sowie der Entwicklung der Bodenvegetation; Forschungsbericht der Forstlichen Forschungsanstalt Eberswalde, e.V.: Eberswalde, Germany, 1994. [Google Scholar]
- Hüttl, R.F.; Bellmann, K. (Eds.) Changes of Atmospheric Chemistry and Effects on Forest Ecosystems: A Roof Experiment without Roof; Number v. 3 in Nutrients in Ecosystems; Springer: Berlin/Heidelberg, Germany; New York, NY, USA, 1999. [Google Scholar]
- Wellbrock, N.; Riek, W.; Wolff, B. Characterisation of and Changes in the Atmospheric Deposition Situation in German Forest Ecosystems Using Multivariate Statistics. Eur. J. For. Res. 2005, 124, 161–172. [Google Scholar] [CrossRef]
- Riek, W.; Russ, A.; Martin, J. Soil Acidification and Nutrient Sustainability of Forest Ecosystems in the Northeastern German Lowlands - Results of the National Forest Soil Inventory. Folia For. Pol. Ser. A 2012, 54, 187–195. [Google Scholar] [CrossRef]
- Fürst, C.; Makeschin, F. Forest Ecosystem Development under a Changing Environment and Conclusions for Forest Management. In Forestry in Achieving Millenium Goals; Institute of Lowland Forestry and Environment: Novi Sad, Serbia, 2009; pp. 47–55. [Google Scholar]
- Fürst, C.; Lorz, C.; Abiy, M.; Makeschin, F. Fly Ash Deposition in North Eastern Germany 628 and Consequences for Forest Management. In Contributions to Forest Sciences; Fürst, C., Janecek, V., Lorz, C., Makeschin, F., Podraszky, V., Vacik, H., Eds.; Future-Oriented Concepts, Tools and Methods for Forest Management and Forest Research Crossing European Borders; Ulmer: Stuttgart, Germany, 2006; Volume 28, pp. 50–62. [Google Scholar]
- Fürst, C.; Abiy, M.; Makeschin, F. Forest Ecosystem Development after Heavy Deposition Loads–Case Study Dübener Heide. In AIR POLLUTION 2008; Volume Air Pollution XVI; WIT Transactions on Ecology and the Environment: Skiathos, Greece, 2008; pp. 571–584. [Google Scholar] [CrossRef]
- Bellmann, K.; Grote, R. Introduction to the SANA-Project (SANA: Regeneration of the Atmosphere above the New States of Germany — Effects on Forest Ecosystems). In Changes of Atmospheric Chemistry and Effects on Forest Ecosystems: A Roof Experiment without a Roof; Hüttl, R.F., Bellmann, K., Eds.; Nutrients in Ecosystems; Springer: Dordrecht, The Netherlands, 1998; pp. 1–15. [Google Scholar] [CrossRef]
- Erhard, M.; Flechsig, M. A Landscape Model for the Investigation of Atmogenic Pollution Effects on the Dynamics of Scots Pine Ecosystems. In Changes of Atmospheric Chemistry and Effects on Forest Ecosystems: A Roof Experiment without a Roof; Hüttl, R.F., Bellmann, K., Eds.; Nutrients in Ecosystems; Springer: Dordrecht, The Netherlands, 1998; pp. 283–312. [Google Scholar] [CrossRef]
- Block, J.; Gauer, J. Waldbodenzustand in Rheinland–Pfalz: Ergebnisse der zweiten landesweiten Bodenzustandserhebung BZE II; Forschungsanst. für Waldökologie und Forstwirtschaft Rheinland-Pfalz: Trippstadt, Germany, 2012; Volume 70/12. [Google Scholar]
- Hartmann, P.M.; Buberl, H.G.; Puhlmann, H.; Schäffer, J.; Trefz-Malcher, G.; Zirlewagen, D.; von Wilpert, K. Waldböden Südwestdeutschlands: Ergebnisse der Bodenzustandserhebungen im Wald von 1989–1992 und 2006–2008; Verlag Kessel: Remagen-Oberwinter, Germany, 2016. [Google Scholar]
- Riek, W.; Russ, A. Waldbodenbericht Brandenburg. Weitere Ergebnisse der Landesweiten Bodenzustandserhebungen und Folgerungen für die nachhaltige Waldnutzung; Eberswalder Forstliche Schriftenreihe; Landesbetrieb Forst Brandenburg, Landeskompetenzzentrum Forst Eberswalde: Eberswalde, Germany, 2019; Volume 68. [Google Scholar]
- Russ, A.; Riek, W.; Martin, J. Zustand und Wandel der Waldböden Mecklenburg-Vorpommerns—Ergebnisse der zweiten Bundesweiten Bodenzustandserhebung in Mecklenburg-Vorpommern; Mitteilungen aus dem Forstlichen Versuchswesen Mecklenburg-Vorpommern; Landesforst Mecklenburg-Vorpommern: Schwerin, Germany, 2011; Volume 9. [Google Scholar]
- Aichner, B.; Bussian, B.M.; Lehnik-Habrink, P.; Hein, S. Regionalized Concentrations and Fingerprints of Polycyclic Aromatic Hydrocarbons (PAHs) in German Forest Soils. Environ. Pollut. 2015, 203, 31–39. [Google Scholar] [CrossRef] [PubMed]
- Riek, W.; Russ, A.; Kuehn, D. Waldbodenbericht Brandenburg–Zustand und Entwicklung der brandenburgischen Waldböden. Ergebnisse der landesweiten Bodenzustandserhebungen BZE-2 und BZE-2a.; Eberswalder Forstliche Schriftenreihe, Landesbetrieb Forst Brandenburg, Landeskompetenzzentrum Forst Eberswalde: Eberswalde, Germany, 2015; Volume 60. [Google Scholar]
- Wellbrock, N.; Aydin, C.T.; Block, J.; Bussian, B.; Deckert, M.; Diekmann, O.; Evers, J.; Fetzer, K.D.; Gauer, J.; Gehrmann, J.; et al. Bodenzustandserhebung im Wald (BZE II). Arbeitsanleitung für die Außenaufnahmen; BMELV: Berlin, Germany, 2006. [Google Scholar]
- FAO; IUSS. World Reference Base for Soil Resources 2014: International Soil Classification System for Naming Soils and Creating Legends for Soil Maps—Update 2015, Working Group WRB. International Soil Classification System for Naming Soils and Creating Legends for Soil Maps; Number No. 106 in World Soil Resources Reports; FAO: Rome, Italy, 2015. [Google Scholar]
- GAFA. Handbuch Forstliche Analytik - Eine Loseblatt-Sammlung der Analysemethoden im Forstbereich; Bundesministerium für Verbraucherschutz, Ernährung und Landwirtschaft: Bonn, Germany, 2005. [Google Scholar]
- ICP. Visual Assessment of Crown Condition and Damaging Agents; Number 4 in ICP Forests Manual–Manual on Methods and Criteria for Harmonized Sampling, Assessment, Monitoring and Analysis of the Effects of Air Pollution on Forests; ICP Forests: Hamburg, Germany, 2006. [Google Scholar]
- Wellbrock, N.; Riek, W.; Wolff, B.; Schröder, W. Waldschäden. In Waldschäden; Fränzle, O., Müller, F., Schröder, W., Eds.; Handbuch der Umweltwissenschaften: Grundlagen und Anwendungen der Ökosystemforschung—Ökosystemare Analyse anthropogener Störungen; Ecomed-Verlag: Landsberg am Lech, Germany, 2003; Volume Kap. VI-2.3, pp. 1–28. [Google Scholar]
- Eickenscheidt, N.; Puhlmann, H.; Riek, W.; Schmidt-Walter, P.; Augustin, N.; Wellbrock, N. Spatial Response Patterns in Biotic Reactions of Forest Trees and Their Associations with Environmental Variables in Germany. In Status and Dynamics of Forests in Germany: Results of the National Forest Monitoring; Wellbrock, N., Bolte, A., Eds.; Ecological Studies; Springer International Publishing: Cham, Switzerland, 2019; Volume 237, pp. 311–354. [Google Scholar] [CrossRef]
- Jolliffe, I.T.; Cadima, J. Principal component analysis: A review and recent developments. Philos. Trans. R. Soc. A Math. Phys. Eng. Sci. 2016, 374, 20150202. [Google Scholar] [CrossRef] [PubMed]
- Kaiser, H.F. The Varimax Criterion for Analytic Rotation in Factor Analysis. Psychometrika 1958, 23, 187–200. [Google Scholar] [CrossRef]
- Überla, K. Faktorenanalyse; Springer: Berlin/Heidelberg, Germany; New York, NY, USA, 2013. [Google Scholar]
- Hair, J.; Anderson, R.; Tatham, R.; Black, W. Multivariate Data Analyses; Prentice Hall: Upper Sadle River, NJ, USA, 2013. [Google Scholar]
- Stevens, J. Applied Multivariate Statistics for the Social Sciences; Lawrence Erlbaum Associates: Mahwah, NJ, USA, 2009. [Google Scholar]
- Ringnér, M. What Is Principal Component Analysis? Nat. Biotechnol. 2008, 26, 303–304. [Google Scholar] [CrossRef]
- Webster, R.; Oliver, M. Geostatistics for Environmental Scientists, 2nd ed.; Statistics in Practice; John Wiley & Sons, Ltd.: Chichester, UK, 2007. [Google Scholar]
- Marquardt, D.W. An Algorithm for Least-Squares Estimation of Nonlinear Parameters. J. Soc. Ind. Appl. Math. 1963, 11, 431–441. [Google Scholar] [CrossRef]
- Jacoby, W.G. Loess:: A Nonparametric, Graphical Tool for Depicting Relationships between Variables. Elect. Stud. 2000, 19, 577–613. [Google Scholar] [CrossRef]
- SPSS. SPSS 17.0 Command Syntax Reference. 2007. Available online: http://www.spss.com (accessed on 27 July 2019).
- Wang, C.; Liu, H.; Zhang, Y.; Zou, C.; Anthony, E.J. Review of Arsenic Behavior during Coal Combustion: Volatilization, Transformation, Emission and Removal Technologies. Prog. Energy Combust. Sci. 2018, 68, 1–28. [Google Scholar] [CrossRef]
- Yudovich, Y.E.; Ketris, M.P. Arsenic in Coal: A Review. Int. J. Coal Geol. 2005, 61, 141–196. [Google Scholar] [CrossRef]
- Khalili, N.R.; Scheff, P.A.; Holsen, T.M. PAH Source Fingerprints for Coke Ovens, Diesel and, Gasoline Engines, Highway Tunnels, and Wood Combustion Emissions. Atmos. Environ. 1995, 29, 533–542. [Google Scholar] [CrossRef]
- Meesenburg, H.; Riek, W.; Ahrends, B.; Eickenscheidt, N.; Grüneberg, E.; Evers, J.; Fortmann, H.; König, N.; Lauer, A.; Meiwes, K.J.; et al. Soil Acidification in German Forest Soils. In Status and Dynamics of Forests in Germany: Results of the National Forest Monitoring; Wellbrock, N., Bolte, A., Eds.; Ecological Studies; Springer International Publishing: Cham, Switzerland, 2019; Volume 237, pp. 93–122. [Google Scholar] [CrossRef]
- Ariese, F.; Swart, K.; Morabito, R.; Brunori, C.; Balzamo, S.; Slobodnik, J.; Korenková, E.; Janoš, P.; Wildnerova, M.; Hlavay, J.; et al. Leaching Studies of Inorganic and Organic Compounds from Fly Ash. Int. J. Environ. Anal. Chem. 2002, 82, 751–770. [Google Scholar] [CrossRef]
- Klose, S.; Makeschin, F. Chemical Properties of Forest Soils along a Fly-Ash Deposition Gradient in Eastern Germany. Eur. J. For. Res. 2005, 123, 3–11. [Google Scholar] [CrossRef]
- Škrbić, B.; Đurišić-Mladenović, N. Principal Component Analysis for Soil Contamination with Organochlorine Compounds. Chemosphere 2007, 68, 2144–2152. [Google Scholar] [CrossRef] [PubMed]
- Lasota, J.; Błońska, E. Polycyclic Aromatic Hydrocarbons Content in Contaminated Forest Soils with Different Humus Types. Water, Air, Soil Pollut. 2018, 229, 204. [Google Scholar] [CrossRef] [PubMed]
- Morillo, E.; Romero, A.S.; Madrid, L.; Villaverde, J.; Maqueda, C. Characterization and Sources of PAHs and Potentially Toxic Metals in Urban Environments of Sevilla (Southern Spain). Water Air Soil Pollut. 2008, 187, 41–51. [Google Scholar] [CrossRef]
- Bonelli, M.G.; Manni, A. Principal Components Analysis and Spatial Analysis Integration for Enhanced Assessment of Pollution Emission Sources. IOP Conf. Ser. Earth Environ. Sci. 2019, 227. [Google Scholar] [CrossRef]
- Klose, S.; Makeschin, F. Effects of Past Fly Ash Deposition on the Forest Floor Humus Chemistry of Pine Stands in Northeastern Germany. For. Ecol. Manag. 2003, 183, 113–126. [Google Scholar] [CrossRef]
- Klose, S.; Koch, J.; Bäucker, E.; Makeschin, F. Indicative Properties of Fly-Ash Affected Forest Soils in Northeastern Germany. J. Plant Nutr. Soil Sci. 2001, 164, 561–568. [Google Scholar] [CrossRef]
- Buck, H.F. Umweltpolitik und Umweltbelastung. In Die Wirtschaftliche und Ökologische Situation der DDR in den 80er Jahren; Kuhrt, E., Buck, H.F., Holzweißig, G., Eds.; Am Ende des realen Sozialismus; Leske + Budrich: Opladen, Germany, 1996; Volume 2, pp. 223–258. [Google Scholar] [CrossRef]
- Möller, D. Deposition Atmosphärischer Spurenstoffe in der Ehemaligen DDR bis 1990—Methoden und Meßergebnisse; Schriftenreihe der Kommission Reinhaltung Luft im VDI und DIN; VDI: Düsseldorf, Germany, 1992; Volume 18. [Google Scholar]
- Simon, K.; Westendorff, K. Stoffeinträge mit dem Niederschlag in Kiefernbestände des nordostdeutschen Tieflandes in den Jahren 1985–1989. Beitr. Forstwirtsch. 1991, 25, 177–180. [Google Scholar]
- Westendorff, K.; Simon, K. Depositionsuntersuchungen in Forstökosystemen (Tiefland). In Deposition atmosphärischer Spurenstoffe in der ehemaligen DDR bis 1990—Methoden und Ergebnisse; Möller, D., Lux, H., Eds.; Schriftenreihe der Kommission Reinhaltung Luft im VDI und DIN; VDI: Düsseldorf, Germany, 1992; Volume 18, pp. 223–233. [Google Scholar]
- Stöcker, G.; Gluch, W. Depositionscharakterisierung auf der Grundlage der Borkenindikation (Biomonitoring). In Deposition atmosphärischer Spurenstoffe in der ehemaligen DDR bis 1990—Methoden und Ergebnisse; Möller, D., Lux, H., Eds.; Schriftenreihe der Kommission Reinhaltung Luft im VDI und DIN; VDI: Düsseldorf, Germany, 1992; Volume 18, pp. 272–287. [Google Scholar]
- Kallweit, R.; Kaatzsch, S.; Strube, M.; Keller, E. Bioindikation über Kiefern und Fichtenborken; ZUG Umweltlabor: Wittenberg, Germany, 1985; (Unpublished Report). [Google Scholar]
- Heinsdorf, D.; Einert, P.; Fennert, A.; Schneider, R. Charakterisierung des atmogenen Fremdstoffeintrages in Kiefernökosysteme des Norddeutschen Tieflandes. Beitr. Forstwirtsch. Landschaftsökol 1992, 6, 24–29. [Google Scholar]
- Wellbrock, N.; Eickenscheidt, N.; Grüneberg, E.; Bögelein, R. Environmental Settings and Their Changes in the Last Decades. In Status and Dynamics of Forests in Germany; Wellbrock, N., Bolte, A., Eds.; Springer International Publishing: Cham, Switzerland, 2019; Volume 237, pp. 29–54. [Google Scholar] [CrossRef]
- Kopp, D.; Kirschner, G. Fremdstoffbedingter Standortswandel aus periodischer Kartierung des Standortszustandes in den Wäldern des Nordostdeutschen Tieflandes nach Ergebnissen der Standortserkundung. Beitr. Forstwirtsch. Landschaftsökol 1992, 26, 62–71. [Google Scholar]
- Hofmann, G.; Anders, S.; Beck, W.; Chrzon, S.; Matthes, B. Buchenwälder und ihr Vitalitätszustand in Ostdeutschland. Beitr. Forstwirtsch. 1991, 25, 157–168. [Google Scholar]









| Equation (1) | ||||||
|---|---|---|---|---|---|---|
| a | b | c | R | F | ||
| As | 2.120 ** | - | −0.798 * | 0.34** | 50.0 | |
| Cd | 0.160 ** | 0.054 ** | −0.369 ** | 0.65 ** | 105.0 | |
| Cr | 3.280 ** | 0.873 ** | −3.866 ** | 0.49** | 44.8 | |
| Cu | 4.394 ** | 0.489 ** | −6.121 ** | 0.62 ** | 179.0 | |
| Ni | 2.325 ** | 0.929 ** | −4.406 ** | 0.49 ** | 45.7 | |
| Pb | 24.197 ** | −2.054 ** | −13.334 ** | 0.65 ** | 207.2 | |
| Zn | 18.633 ** | 7.126 ** | −40.608 ** | 0.60 ** | 155.9 | |
| Equation (2) | ||||||
| a | b | c | d | R | F | |
| As | 1.191 ** | 0.096 * | - | 0.598 * | 0.38 ** | 24.0 |
| Cd | 0.091 ** | 0.0035 ** | 0.061 * | −0.278 ** | 0.64 ** | 65.8 |
| Cr | 1.336 ** | 0.342 ** | 0.787 ** | −1.369 * | 0.50 ** | 30.5 |
| Cu | 2.566 ** | 0.093 ** | 0.453 ** | −2.741 ** | 0.62 ** | 119.2 |
| Ni | 0.998 ** | 0.222 ** | 0.833 ** | −2.541 ** | 0.54 ** | 37.6 |
| Pb | 15.56 ** | 0.692 ** | −1.344 * | −0.150 | 0.70 ** | 174.3 |
| Zn | 9.778 ** | 0.911 ** | 6.448 ** | −24.513 ** | 0.61 ** | 107.7 |
| PAH16 | As | Cd | Cr | Cu | Ni | Pb | Zn |
|---|---|---|---|---|---|---|---|
| NFSI-1 | 0.65 ** | 0.69 ** | 0.69 ** | 0.74 ** | 0.70 ** | 0.54 ** | |
| NFSI-2 | 0.81 ** | 0.52 ** | 0.75 ** | 0.71 ** | 0.64 ** | 0.71 ** | 0.12 |
| Aromatic Rings | As | Cd | Cr | Cu | Ni | Pb | Zn | |
|---|---|---|---|---|---|---|---|---|
| Naphtalin | 2 | 0.81 ** | 0.49 ** | 0.76 ** | 0.70 ** | 0.59 ** | 0.65 ** | 0.04 |
| Acenaphthylen | 3 | 0.78 ** | 0.48 ** | 0.76 ** | 0.70 ** | 0.58 ** | 0.64 ** | 0.08 |
| Acenaphthen | 3 | 0.77 ** | 0.52 ** | 0.71 ** | 0.69 ** | 0.65 ** | 0.71 ** | 0.18 |
| Fluoren | 3 | 0.81 ** | 0.47 ** | 0.78 ** | 0.72 ** | 0.62 ** | 0.67 ** | 0.07 |
| Phenanthren | 3 | 0.80 ** | 0.49 ** | 0.74 ** | 0.69 ** | 0.61 ** | 0.67 ** | 0.10 |
| Anthracen | 3 | 0.79 ** | 0.51 ** | 0.75 ** | 0.73 ** | 0.62 ** | 0.70 ** | 0.14 |
| Fluoranthen | 3 | 0.80 ** | 0.53 ** | 0.74 ** | 0.72 ** | 0.64 ** | 0.73 ** | 0.17 |
| Pyren | 4 | 0.80 ** | 0.50 ** | 0.74 ** | 0.71 ** | 0.62 ** | 0.72 ** | 0.17 |
| Benz(a)anthracen | 4 | 0.75 ** | 0.49 ** | 0.68 ** | 0.73 ** | 0.65 ** | 0.78 ** | 0.25 |
| Chrysen | 4 | 0.76 ** | 0.58 ** | 0.69 ** | 0.77 ** | 0.69 ** | 0.79 ** | 0.31 * |
| Benzo(b)fluoroanthen | 5 | 0.75 ** | 0.54 ** | 0.66 ** | 0.74 ** | 0.69 ** | 0.80 ** | 0.26 |
| Benzo(k)fluoroanthen | 5 | 0.75 ** | 0.53 ** | 0.68 ** | 0.75 ** | 0.68 ** | 0.78 ** | 0.28 * |
| Benzo(a)pyren | 5 | 0.69 ** | 0.50 ** | 0.63 ** | 0.73 ** | 0.63 ** | 0.76 ** | 0.26 |
| Indeno(1,2,3-cd)pyren | 6 | 0.73 ** | 0.51 ** | 0.64 ** | 0.71 ** | 0.61 ** | 0.72 ** | 0.30 * |
| Dibenz(a,h)anthracen | 6 | 0.73 ** | 0.52 ** | 0.64 ** | 0.72 ** | 0.64 ** | 0.76 ** | 0.30 * |
| Benzo(g,h,i)perylen | 6 | 0.74 ** | 0.51 ** | 0.65 ** | 0.73 ** | 0.64 ** | 0.77 ** | 0.29 * |
| mean | 0.77 | 0.51 | 0.70 | 0.72 | 0.64 | 0.73 | 0.20 |
| PCB6 | As | Cd | Cr | Cu | Ni | Pb | Zn |
|---|---|---|---|---|---|---|---|
| NFSI-1 | 0.71 ** | 0.56 ** | 0.64 ** | 0.66 ** | 0.78 ** | 0.70 ** | |
| NFSI-2 | 0.72 ** | 0.53 ** | 0.68 ** | 0.70 ** | 0.72 ** | 0.84 ** | 0.24 |
| Dieldrin | As | Cd | Cr | Cu | Ni | Pb | Zn |
|---|---|---|---|---|---|---|---|
| NFSI-1 | 0.11 | 0.12 | 0.13 | −0.01 | 0.01 | 0.15 | |
| NFSI-2 | 0.02 | −0.06 | 0.14 | 0.15 | 0.07 | 0.15 | −0.07 |
| HCB | As | Cd | Cr | Cu | Ni | Pb | Zn |
|---|---|---|---|---|---|---|---|
| NFSI-1 | 0.35 * | 0.67 ** | 0.61 ** | 0.64 ** | 0.54 ** | 0.29 | |
| NFSI-2 | 0.80 ** | 0.48 ** | 0.72 ** | 0.62 ** | 0.57 ** | 0.65 ** | 0.01 |
| HCH | As | Cd | Cr | Cu | Ni | Pb | Zn |
|---|---|---|---|---|---|---|---|
| NFSI-1 | 0.18 | 0.61 ** | 0.58 ** | 0.57 ** | 0.54 ** | 0.27 | |
| NFSI-2 | 0.30 | 0.01 | 0.36 ** | 0.23 | 0.25 | 0.26 | −0.13 |
| DDx | As | Cd | Cr | Cu | Ni | Pb | Zn |
|---|---|---|---|---|---|---|---|
| NFSI-1 | 0.32 | 0.40 * | 0.51 ** | 0.46 ** | 0.59 ** | 0.45 ** | |
| NFSI-2 | 0.24 | 0.28 | 0.39 * | 0.38 * | 0.40 * | 0.54 ** | 0.03 |
| Parameter | Principle Component | ||
|---|---|---|---|
| 1 | 2 | 3 | |
| HCB [ng/g] | 0.90 | ||
| As [ppm] | 0.89 | ||
| Cr [ppm] | 0.86 | ||
| PAH16 [ng/g] | 0.82 | ||
| Ni [ppm] | 0.69 | 0.52 | |
| Pb [ppm] | 0.56 | 0.53 | 0.44 |
| Zn [ppm] | 0.82 | ||
| Cd [ppm] | 0.49 | 0.74 | |
| Cu [ppm] | 0.60 | 0.61 | |
| DDx [ng/g] | 0.80 | ||
| Dieldrin [ng/g] | 0.70 | ||
| PCB6 [ng/g] | 0.41 | 0.48 | 0.64 |
| HCH [ng/g] | 0.45 | 0.58 |
| Parameter of the Humus Layer | Correlation Coefficient |
|---|---|
| Principle component 1 (cf. Table 9) | 0.60 ** |
| Principle component 2 (cf. Table 9) | −0.05 |
| Principle component 3 (cf. Table 9) | 0.15 |
| As [ppm] | 0.48 ** |
| Cd [ppm] | 0.18 |
| Cr [ppm] | 0.54 ** |
| Cu [ppm] | 0.43 ** |
| Ni [ppm] | 0.30 * |
| Pb [ppm] | 0.25 |
| Zn [ppm] | −0.04 |
| HCB [ng/g] | 0.56 ** |
| PAH16 [ng/g] | 0.59 ** |
| PCB6 [ng/g] | 0.39 ** |
| HCH (-, -, -HCH) [ng/g] | 0.51 ** |
| PAH16 [ng/g] in Humus Layer | Correlation Coefficient |
|---|---|
| Naphtalin | 0.63 ** |
| Acenaphthylen | 0.64 ** |
| Acenaphthen | 0.64 ** |
| Fluoren | 0.65 ** |
| Phenanthren | 0.65 ** |
| Anthracen | 0.62 ** |
| Fluoranthen | 0.57 ** |
| Pyren | 0.58 ** |
| Benz(a)anthracen | 0.49 ** |
| Chrysen | 0.45 ** |
| Benzo(b)fluoroanthen | 0.41 ** |
| Benzo(k)fluoroanthen | 0.44 ** |
| Benzo(a)pyren | 0.46 ** |
| Indeno(1,2,3-cd)pyren | 0.41 ** |
| Dibenz(a,h)anthracen | 0.43 ** |
| Benzo(g,h,i)perylen | 0.44 ** |
Publisher’s Note: MDPI stays neutral with regard to jurisdictional claims in published maps and institutional affiliations. |
© 2021 by the authors. Licensee MDPI, Basel, Switzerland. This article is an open access article distributed under the terms and conditions of the Creative Commons Attribution (CC BY) license (http://creativecommons.org/licenses/by/4.0/).
Share and Cite
Riek, W.; Russ, A.; Marx, M. Concentrations of Inorganic and Organic Pollutants in Forest Soils as an Archive of Anthropogenic Inputs in the State of Brandenburg, Germany. Appl. Sci. 2021, 11, 1189. https://doi.org/10.3390/app11031189
Riek W, Russ A, Marx M. Concentrations of Inorganic and Organic Pollutants in Forest Soils as an Archive of Anthropogenic Inputs in the State of Brandenburg, Germany. Applied Sciences. 2021; 11(3):1189. https://doi.org/10.3390/app11031189
Chicago/Turabian StyleRiek, Winfried, Alexander Russ, and Marc Marx. 2021. "Concentrations of Inorganic and Organic Pollutants in Forest Soils as an Archive of Anthropogenic Inputs in the State of Brandenburg, Germany" Applied Sciences 11, no. 3: 1189. https://doi.org/10.3390/app11031189
APA StyleRiek, W., Russ, A., & Marx, M. (2021). Concentrations of Inorganic and Organic Pollutants in Forest Soils as an Archive of Anthropogenic Inputs in the State of Brandenburg, Germany. Applied Sciences, 11(3), 1189. https://doi.org/10.3390/app11031189
