Multiaxial Fatigue Assessment for the Hanger Deck Connection of a High-Speed Steel-Truss-Arch Railway Bridge
Abstract
1. Introduction
2. Multiaxial Fatigue Assessment Method
2.1. Critical-Damage-Plane Function
2.2. Fatigue-Damage Accumulation Rule
2.3. Evaluation Procedure
- A multiscale finite-element model of a short hanger’s connection to a bridge deck was created according to the design profile of the Dashengguan Yangtze River High-speed Railway Bridge, where a substructural technique was used to link two levels of finite element models, i.e., the sparse whole-bridge model and defined connection model. Then, the multiple-dimensional finite-element model was calibrated and validated by comparing its calculation results to the field motoring data.
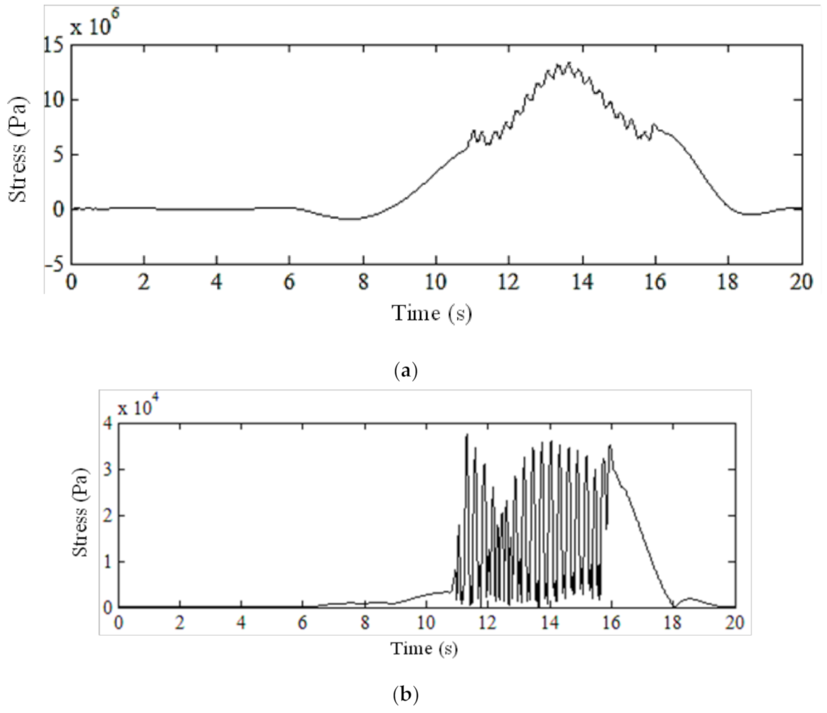
- According to the multiscale finite element calculation of the tensile principle stress, the position of the maximum value was first obtained and validated under the action of high-speed trains. By mechanical analysis of the element at this position, the critical damage plane was confirmed to be perpendicular to the direction of the tensile principal stresses. Then, histories of the normal stress and shear stress on the critical plane of fatigue failure were calculated and obtained for further fatigue-damage evaluation and assessment.
- The stress amplitude spectra of these two histories were obtained by rain-flow processing. Then, the spectrum of the equivalent stress amplitude under loads from high-speed trains was calculated according to Equation (3). Furthermore, the fatigue life in the form of the stress cycle number for each component of the spectrum was calculated by Equation (2). Miner’s rule was introduced to calculate the fatigue damage contributed by each component of the spectrum, by which the total fatigue damage of each train was calculated by adding them together. Finally, the fatigue life of the connection was calculated and validated when the accumulation value of fatigue damage reached 1.0.
3. Multiscale Numerical Model
3.1. Project Description
3.2. Traffic Cases
3.3. Sub-Modelling Finite-Element Model
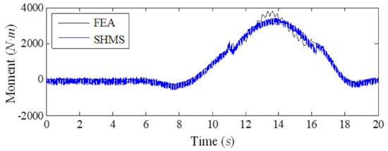
3.4. Comparison between the Numerical and Monitoring Results
3.5. Multiaxial Fatigue-Damage
4. Influences of Multiple Factors on the Multiaxial Fatigue Life
4.1. Total Traffic Flow
4.2. Composition of a Freight Train
5. Conclusions
- (1)
- Compared with the uniaxial fatigue-life evaluation method, the fatigue-damage results calculated by the multiaxial fatigue method are nearly 60 times greater. This indicates that the multiple properties of stress may accelerate fatigue failure under the action of high-speed trains. However, the annual fatigue damage is so low that the fatigue life may be infinite if the traffic flow remains the same.
- (2)
- Without consideration of the traffic composition and load of trains, the number of trains has a substantial influence on the fatigue life of the hanger-deck connection by increasing the number of stress cycles. If the annual increase in traffic flow reaches 10%, the fatigue life will decrease to 138 years, but the design fatigue life is only 100 years.
- (3)
- The fatigue life decreases rapidly with increasing freight train weight in the traffic flow. If the proportion of freight train traffic is 10%, the fatigue life can drop to as low as 73 years. This indicates that fatigue failure occurs during the design life cycle of the bridge, whereas the fatigue life calculated by typical means may infinite.
Author Contributions
Funding
Institutional Review Board Statement
Informed Consent Statement
Data Availability Statement
Acknowledgments
Conflicts of Interest
References
- Hu, N.; Dai, G.L.; Yan, B.; Liu, K. Recent development of design and construction of medium and long span high-speed railway bridges in China. Eng. Struct. 2014, 74, 233–241. [Google Scholar] [CrossRef]
- Bogacz, R.; Czyczuła, W.; Konowrocki, R. Influence of sleepers shape and configuration on track-train dynamics. Shock Vib. 2014, 2014, 1–7. [Google Scholar] [CrossRef]
- Cantero, D.; Karoumi, R. Numerical evaluation of the mid-span assumption in the calculation of total load effects in railway bridges. Eng. Struct. 2016, 107, 1–8. [Google Scholar] [CrossRef]
- Chen, Z.Q.; Liu, M.G.; Hua, X.G.; Mou, T.M. Flutter, galloping, and vortex-induced vibrations of h-section hangers. J. Bridge Eng. 2012, 17, 500–508. [Google Scholar] [CrossRef]
- Zhao, H.W.; Ding, Y.L.; An, Y.H.; Li, A.Q. Transverse dynamic mechanical behavior of hangers in the rigid tied-arch bridge under train loads. J. Perform. Constr. Facil. 2017, 31, 04016072. [Google Scholar] [CrossRef]
- Bernuzzi, C.; Simoncelli, M. An advanced design procedure for the safe use of steel storage pallet racks in seismic zones. Thin Walled Struct. 2016, 109, 73–87. [Google Scholar] [CrossRef]
- Bernuzzi, C.; Simoncelli, M. Steel storage pallet racks in seismic zones: Advanced vs. standard design strategies. Thin Walled Struct. 2017, 116, 291–306. [Google Scholar] [CrossRef]
- Tran-Ngoc, H.; He, L.; Reynders, E.; Khatir, S.; Wahab, M.A. An efficient approach to model updating for a multispan railway bridge using orthogonal diagonalization combined with improved particle swarm optimization. J. Sound Vib. 2020, 476. [Google Scholar] [CrossRef]
- Tran-Ngoc, H.; Khatir, S.; De Roeck, G.; Bui-Tien, T.; Wahab, M.A. An efficient artificial neural network for damage detection in bridges and beam-like structures by improving training parameters using cuckoo search algorithm. Eng. Struct. 2019, 199. [Google Scholar] [CrossRef]
- Tran-Ngoc, H.; Khatir, S.; De Roeck, G.; Bui-Tien, T.; Nguyen-Ngoc, L.; Wahab, M.A. Model updating for nam o bridge using particle swarm optimization algorithm and genetic algorithm. Sensors 2018, 18. [Google Scholar] [CrossRef]
- Ribeiro, D.; Calçada, R.; Delgado, R.; Brehm, M.; Zabel, V. Finite element model updating of a bowstring-arch railway bridge based on experimental modal parameters. Eng. Struct. 2012, 40, 413–435. [Google Scholar] [CrossRef]
- Klinger, C.; Michael, T.; Bettge, D. Fatigue cracks in railway bridge hangers due to wind induced vibrations—Failure analysis, measures and remaining service life estimation. Eng. Fail. Anal. 2014, 43, 232–252. [Google Scholar] [CrossRef]
- Liu, Z.; Guo, T.; Pan, S.; Liu, J. Forensic investigation on cracking in hanger-to-girder connections of long-span suspension bridges. Struct. Eng. Int. 2017, 27, 344–352. [Google Scholar] [CrossRef]
- Virlogeux, M. Replacement of the suspension system of the tancarville bridge. Transp. Res. Rec. J. Transp. Res. Board 1999, 1654, 113–120. [Google Scholar] [CrossRef]
- Ostenfeld, K. Design of the great belt east bridge. Struct. Eng. Int. 1995, 5, 218–220. [Google Scholar] [CrossRef]
- Song, Y.S.; Ding, Y.L.; Zhong, W.; Zhao, H. Reliable fatigue-life assessment of short steel hanger in a rigid tied arch bridge integrating multiple factors. J. Perform. Constr. Facil. 2018, 32, 04018038. [Google Scholar] [CrossRef]
- Zhong, W.; Ding, Y.L.; Song, Y.S.; Zhao, H.W. Fatigue behavior evaluation of full-field hangers in a rigid tied arch high-speed railway bridge: Case study. J. Bridge Eng. 2018, 23, 05018003. [Google Scholar] [CrossRef]
- Ulstrup, C.C. Aerodynamic lessons learned from individual bridge members. Ann. N. Y. Acad. Sci. 2010, 352, 265–281. [Google Scholar] [CrossRef]
- Kakuno, H.; Kawada, Y. A new criterion of fatigue strength of a round bar subjected to combined static and repeated bending and torsion. Fatigue Fract. Eng. Mater. Struct. 2007, 2, 229–236. [Google Scholar] [CrossRef]
- Susmel, L.; Lazzarin, P. A bi-parametric wöhler curve for high cycle multiaxial fatigue assessment. Fatigue Fract. Eng. Mater. Struct. 2002, 25, 63–78. [Google Scholar] [CrossRef]
- Liu, J.; Zhang, Z.; Li, B.; Lang, S. Multiaxial fatigue life prediction of gh4169 alloy based on the critical plane method. Met. Open Access Metall. J. 2019, 9, 255. [Google Scholar] [CrossRef]
- Zhang, C.C.; Yao, W.X. An improved multiaxial high-cycle fatigue criterion based on critical plane approach. Fatigue Fract. Eng. Mater. Struct. 2010, 34, 337–344. [Google Scholar] [CrossRef]
- Chaboche, J.L.; Lesne, P.M. A non-linear continuous fatigue damage model. Fatigue Fract. Eng. Mater. Struct. 1988, 11, 1–17. [Google Scholar] [CrossRef]
- Lemaitre, J.; Plumtree, A. Application of damage concepts to predict creep-fatigue failures. J. Eng. Mater. Technol. 1979, 101, 284–292. [Google Scholar] [CrossRef]
- NRAPR-PRC. Code for Design on Railway Bridge Culvert. TB 10002-2017; NRAPR-PRC: Beijing, China, 2017. [Google Scholar]
- Downing, S.; Socie, D. Simple rainflow counting algorithms. Int. J. Fatigue 1982, 4, 31–40. [Google Scholar] [CrossRef]











| Name | Advantage | Disadvantage |
|---|---|---|
| Fatemi–Socie (FS) | Taking into account the shear strain and normal strain on the critical plane | Without considering the influence of average stress effect |
| Wang–Brown (WB) | Considering the influence of mean stress | Ignoring the impact of the cyclic hardening effect |
| SWT (Smith–Watson–Topper) | Having a good life prediction effect | Improper for pure torsion and multiaxial fatigue |
| No. | Nominal Stress Amplitude (MPa) | Shear Stress Amplitude (MPa) | Angle (°) | Experimental Ressults (Cycles) | Prediction Results (Cycles) | Difference (%) |
|---|---|---|---|---|---|---|
| 1 | 449 | 282 | 90 | 29,900 | 31,038 | 3.81 |
| 2 | 354 | 334 | 90 | 35,700 | 26,540 | −25.66 |
| 3 | 126.491 | 95.507 | 30 | 420,261 | 283,118 | −32.63 |
| 4 | 158.114 | 119.384 | 30 | 63,584 | 52,745 | −17.05 |
| 5 | 126.491 | 100.0 | 45 | 275,527 | 212,599 | −22.84 |
| 6 | 158.114 | 125.0 | 45 | 57,004 | 41,195 | −27.73 |
| Mode | Frequency (Hz) | Difference Rate (%) | |
|---|---|---|---|
| Field Calculation | Numerical Simulation | ||
| 1 | 0.508 | 0.5057 | 0.455 |
| 2 | 0.512 | 0.5101 | −0.391 |
| 3 | 0.5581 | 0.5602 | −0.376 |
| 4 | 0.965 | 0.9570 | 0.834 |
| Name of Parameters | Value |
|---|---|
| 508 MPa | |
| 293.283 MPa | |
| 1766.713 MPa | |
| −0.12377 | |
| −0.53 | |
| 62.3 |
| Loading Case | Traffic Flow | Loading Case | Traffic Flow |
|---|---|---|---|
| C1 | 2309 | C5 | 3675 |
| C2 | 2260 | C6 | 2070 |
| C3 | 8735 | C7 | 4231 |
| C4 | 8867 | C8 | 3568 |
Publisher’s Note: MDPI stays neutral with regard to jurisdictional claims in published maps and institutional affiliations. |
© 2021 by the authors. Licensee MDPI, Basel, Switzerland. This article is an open access article distributed under the terms and conditions of the Creative Commons Attribution (CC BY) license (http://creativecommons.org/licenses/by/4.0/).
Share and Cite
Song, Y.; Ding, Y.; Jiang, F.; Wang, Z.; Lu, J.; Jia, H. Multiaxial Fatigue Assessment for the Hanger Deck Connection of a High-Speed Steel-Truss-Arch Railway Bridge. Appl. Sci. 2021, 11, 1142. https://doi.org/10.3390/app11031142
Song Y, Ding Y, Jiang F, Wang Z, Lu J, Jia H. Multiaxial Fatigue Assessment for the Hanger Deck Connection of a High-Speed Steel-Truss-Arch Railway Bridge. Applied Sciences. 2021; 11(3):1142. https://doi.org/10.3390/app11031142
Chicago/Turabian StyleSong, Yongsheng, Youliang Ding, Fei Jiang, Zhiwen Wang, Jun Lu, and Huijuan Jia. 2021. "Multiaxial Fatigue Assessment for the Hanger Deck Connection of a High-Speed Steel-Truss-Arch Railway Bridge" Applied Sciences 11, no. 3: 1142. https://doi.org/10.3390/app11031142
APA StyleSong, Y., Ding, Y., Jiang, F., Wang, Z., Lu, J., & Jia, H. (2021). Multiaxial Fatigue Assessment for the Hanger Deck Connection of a High-Speed Steel-Truss-Arch Railway Bridge. Applied Sciences, 11(3), 1142. https://doi.org/10.3390/app11031142
