Mechanical Performance of Concrete Made with the Addition of Recycled Macro Plastic Fibres
Abstract
:1. Introduction
2. Materials and Methods
2.1. Recycled Plastic Fibres (RPFs) from Food Packaging Waste (FPW)
2.2. Fibre-Reinforced Concrete (FRC) Specimens Made with RPF
3. Experimental Methods
3.1. Physical Properties
3.2. Compressive Strength
3.3. Elastic Modulus
3.4. Flexural Strength
3.5. CMOD and Toughness
4. Results and Discussion
4.1. Physical Properties
4.2. Compressive Strength
4.3. Elastic Modulus
4.4. Flexural Strength
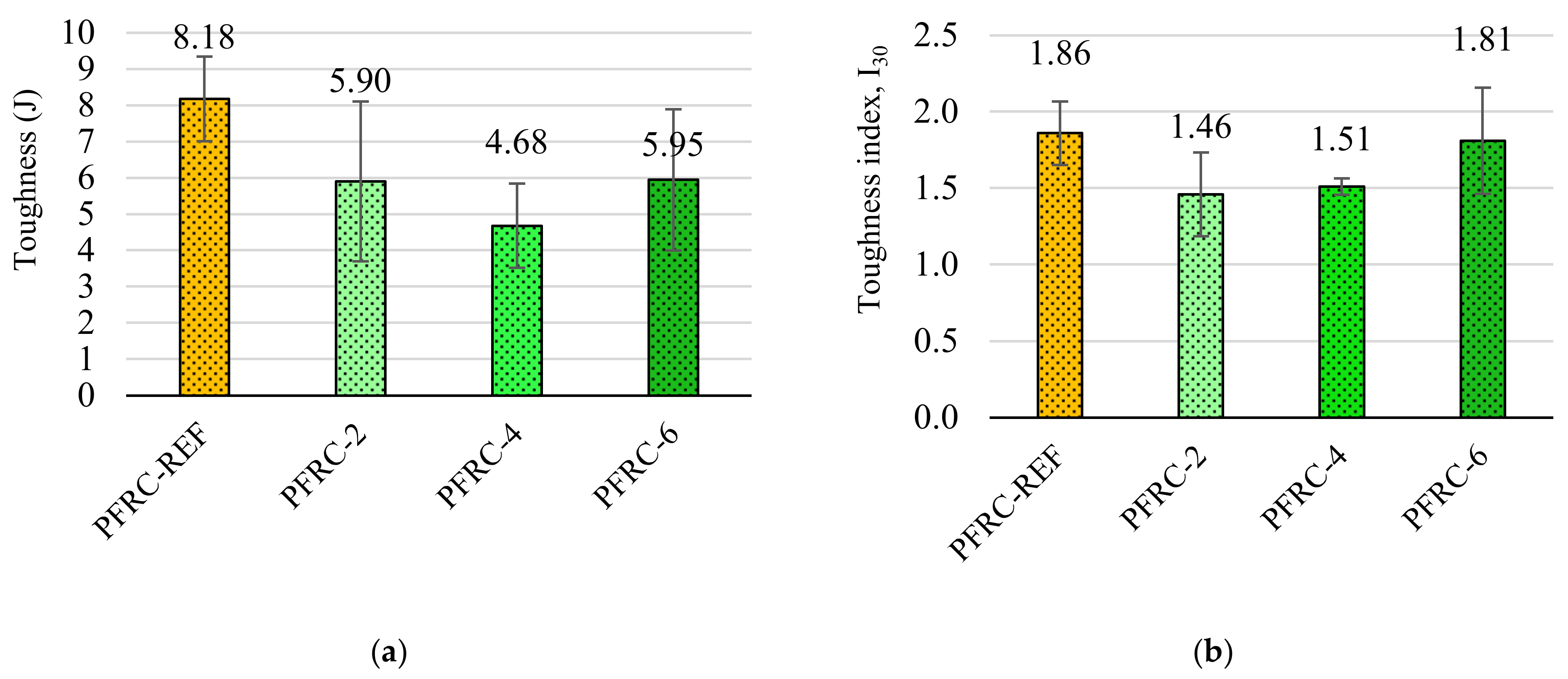
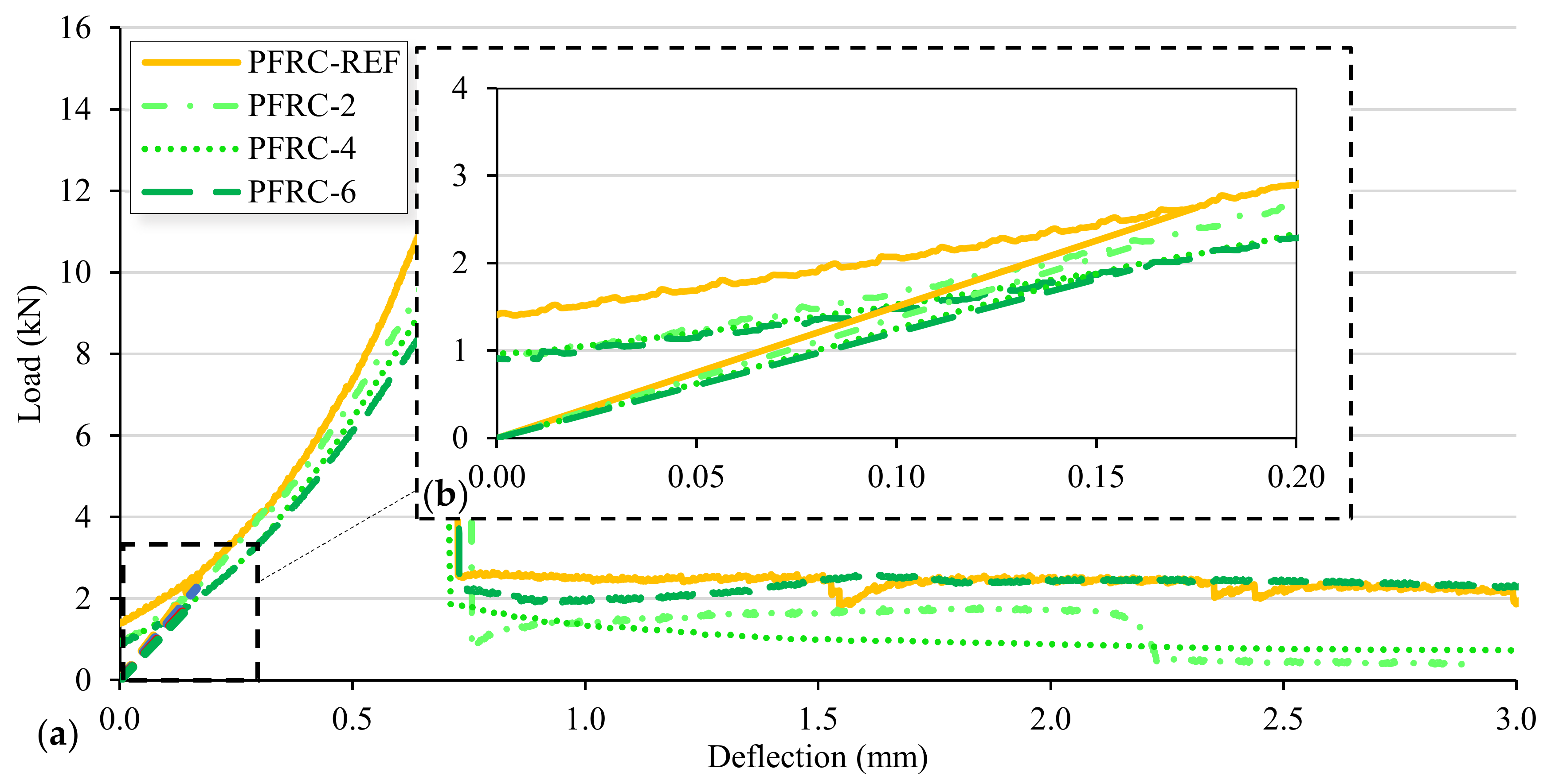
4.5. Toughness
5. Conclusions
- The physical properties studied were not significantly affected by the addition of recycled plastic fibres;
- The addition of RPF produces a certain decrease in compressive and flexural strength, but an improvement in the post-cracking properties of the concrete was achieved. The presence of plastic fibres inside the matrix increased both the ability of the concrete to resist the advancement of cracks, and its ability to deform plastically before breaking, giving the concrete matrix a certain residual tensile strength during the post-crack phase;
- The increase in toughness index with an increase in the percentage of recycled plastic fibres confirmed their stitching action inside the cement matrix, which is fundamentally dependent on the type of fibre and its quantity;
- The toughness index presented by the concrete with commercial fibres was greater than that with the same dosage of RPF, due to its rougher surface and greater adherence to the cementitious matrix. Furthermore, it should be noted that the toughness index relative to the mixture with 6 kg of recycled plastic fibres per cubic meter of concrete was comparable to that with commercial plastic fibre (PFRC-REF). This suggests that manufacturing RPF with a rougher surface could lead to a reduction in the amount needed to achieve similar toughness index levels to PFRC-REF.
Author Contributions
Funding
Institutional Review Board Statement
Informed Consent Statement
Data Availability Statement
Acknowledgments
Conflicts of Interest
References
- Yin, S.; Tuladhar, R.; Shi, F.; Combe, M.; Collister, T.; Sivakugan, N. Use of macro plastic fibres in concrete: A review. Constr. Build. Mater. 2015, 93, 180–188. [Google Scholar] [CrossRef]
- Beglarigale, A.; Yazıcı, H. Pull-out behavior of steel fiber embedded in flowable RPC and ordinary mortar. Constr. Build. Mater. 2015, 75, 255–265. [Google Scholar] [CrossRef]
- Buratti, N.; Ferracuti, B.; Savoia, M. Concrete crack reduction in tunnel linings by steel fibrereinforced concretes. Constr. Build. Mater. 2013, 44, 249–259. [Google Scholar] [CrossRef]
- Mohammed, A.A.; Rahim, A.A.F. Experimental behavior and analysis of high strength concrete beams reinforced with PET waste fiber. Constr. Build. Mater. 2020, 244, 118350. [Google Scholar] [CrossRef]
- Cao, M.; Zhang, C.; Lv, H. Mechanical response and shrinkage performance of cementitious composites with a new fiber hybridization. Constr. Build. Mater. 2014, 57, 45–52. [Google Scholar] [CrossRef]
- Pujadas, P.; Blanco, A.; Cavalaro, S.; de la Fuente, A.; Aguado, A. Fibre distribution in macro-plastic fibre reinforced concrete slab-panels. Constr. Build. Mater. 2014, 64, 496–503. [Google Scholar] [CrossRef]
- Kazmi, S.M.S.; Munir, M.J.; Wu, Y.F.; Patnaikuni, I. Effect of macro-synthetic fibers on the fracture energy and mechanical behavior of recycled aggregate concrete. Constr. Build. Mater. 2018, 189, 857–868. [Google Scholar] [CrossRef]
- Nili, M.; Afroughsabet, V. The effects of silica fume and polypropylene fibers on the impact resistance and mechanical properties of concrete. Constr. Build. Mater. 2010, 24, 927–933. [Google Scholar] [CrossRef]
- Soutsos, M.N.; Le, T.T.; Lampropoulos, A.P. Flexural performance of fibre reinforced concrete made with steel and synthetic fibres. Constr. Build. Mater. 2012, 36, 704–710. [Google Scholar] [CrossRef]
- Güneyisi, E.; Gesoğlu, M.; Mohamadameen, A.; Alzeebaree, R.; Algın, Z.; Mermerdaş, K. Enhancement of shrinkage behavior of lightweight aggregate concretes by shrinkage reducing admixture and fiber reinforcement. Constr. Build. Mater. 2014, 54, 91–98. [Google Scholar] [CrossRef]
- Yin, S.; Tuladhar, R.; Shanks, R.A.; Collister, T.; Combe, M.; Jacob, M.; Sivakugan, N. Fiber preparation and mechanical properties of recycled polypropylene for reinforcing concrete. J. Appl. Polym. Sci. 2015, 132. [Google Scholar] [CrossRef]
- Chavooshi, A.; Madhoushi, M. Mechanical and physical properties of aluminum powder/MDF dust/polypropylene composites. Constr. Build. Mater. 2013, 44, 214–220. [Google Scholar] [CrossRef]
- Buratti, N.; Mazzotti, C.; Savoia, M. Postcracking behaviour of steel and macrosynthetic fibrereinforced concretes. Constr. Build. Mater. 2011, 25, 2713–2722. [Google Scholar] [CrossRef]
- Nana, W.S.A.; Tran, H.V.; Goubin, T.; Kubisztal, G.; Bennani, A.; Bui, T.T.; Cardia, G.; Limam, A. Behaviour of macro-synthetic fibers reinforced concrete: Experimental, numerical and design code investigations. Proc. Struct. 2021, 32, 1271–1286. [Google Scholar] [CrossRef]
- Association of Plastic Manufacturers. Plastics—The Facts 2020; PlasticEurope: Brussels, Belgium, 2020. [Google Scholar]
- Siddique, R.; Khatib, J.; Kaur, I. Use of recycled plastic in concrete: A review. Waste Manag. 2008, 28, 1835–1852. [Google Scholar] [CrossRef]
- Alani, A.H.; Bunnori, N.M.; Noaman, A.T.; Majid, T.A. Durability performance of a novel ultra-high-performance PET green concrete (UHPPGC). Constr. Build. Mater. 2019, 209, 395–405. [Google Scholar] [CrossRef]
- Gu, L.; Ozbakkaloglu, T. Use of recycled plastics in concrete: A critical review. Waste Manag. 2016, 51, 19–42. [Google Scholar] [CrossRef]
- Mohan, H.T.; Jayanarayanan, K.; Mini, K.M. Recent trends in utilization of plastics waste composites as construction materials. Constr. Build. Mater. 2020, 271, 121520. [Google Scholar] [CrossRef]
- Platon, M.A.; Nemes, O.; Tiuc, A.E.; Vasile, O.; Paduretu, S. Phono-Absorbent Behavior of New Fiberglass Plates from Mixed Plastic Material Wastes. In Materials Design and Applications III; Springer: Berlin/Heidelberg, Germany, 2021; pp. 67–76. [Google Scholar] [CrossRef]
- Mohammadinia, A.; Wong, Y.C.; Arulrajah, A.; Horpibulsuk, S. Strength evaluation of utilizing recycled plastic waste and recycled crushed glass in concrete footpaths. Constr. Build. Mater. 2019, 197, 489–496. [Google Scholar] [CrossRef]
- Corbu, O.; Bompa, D.V.; Szilagyi, H. Eco-efficient cementitious composites with large amounts of waste glass and plastic. Proc. Inst. Civ. Eng. Eng. Sustain. 2021, 40, 1–11. [Google Scholar] [CrossRef]
- Thorneycroft, J.; Orr, J.; Savoikar, P.; Ball, R.J. Performance of structural concrete with recycled plastic waste as a partial replacement for sand. Constr. Build. Mater. 2018, 161, 63–69. [Google Scholar] [CrossRef]
- Merlo, A.; Lavagna, L.; Suarez-Riera, D.; Pavese, M. Mechanical properties of mortar containing waste plastic (PVC) as aggregate partial replacement. Case Stud. Constr. Mater. 2020, 13, e00467. [Google Scholar] [CrossRef]
- Foti, D. Use of recycled waste pet bottles fibers for the reinforcement of concrete. Compos. Struct. 2013, 96, 396–404. [Google Scholar] [CrossRef]
- Foti, D.; Paparella, F. Impact behavior of structural elements in concrete reinforced with PET grids. Mech. Res. Commun. 2014, 57, 57–66. [Google Scholar] [CrossRef]
- Tuladhar, R.; Yin, S. Sustainability of using recycled plastic fiber in concrete. In Use of Recycled Plastics in Eco-Efficient Concrete; Woodhead Publishing Series in Civil and Structural Engineering; Woodhead Publishing: Sawston, UK, 2019; pp. 441–460. [Google Scholar] [CrossRef]
- Meddah, M.S.; Bencheikh, M. Properties of concrete reinforced with different kinds of industrial waste fibre materials. Constr. Build. Mater. 2009, 23, 3196–3205. [Google Scholar] [CrossRef]
- Ahvenainen, R. Novel Food Packaging Techniques; CRC Press: Boca Raton, FL, USA; Woodhead Publishing: Sawston, UK, 2003. [Google Scholar]
- Horodytska, O.; Valdés, F.J.; Fullana, A. Plastic flexible films waste management—A state of art review. Waste Manag. 2018, 77, 413–425. [Google Scholar] [CrossRef] [PubMed]
- Mulakkal, M.C.; Castillo Castillo, A.; Taylor, A.C.; Blackman, B.R.K.; Balint, D.S.; Pimenta, S.; Charalambides, M.N. Advancing mechanical recycling of multilayer plastics through finite element modelling and environmental policy. Resour. Conserv. Recycl. 2021, 166, 105371. [Google Scholar] [CrossRef]
- Soares, C.T.d.M.; Ek, M.; Östmark, E.; Gällstedt, M.; Karlsson, S. Recycling of multi-material multilayer plastic packaging: Current trends and future scenarios. Resour. Conserv. Recycl. 2022, 176, 105905. [Google Scholar] [CrossRef]
- Kaiser, K.; Schmid, M.; Schlummer, M. Recycling of polymer-based multilayer packaging: A review. Recycling 2018, 3, 1. [Google Scholar] [CrossRef] [Green Version]
- SP GROUP Projects. Biobaractive. New Multi-Layer Biodegradable Packaging with High Gas-Barrier Properties and Anti-Microbial Properties for Increasing the Shelf Life of Processed Meats. JSIP-20150002. Available online: https://www.spg-pack.com/en/biobaractive-new-multi-layer-biodegradable-packaging-with-high-gas-barrier-properties-and-anti-microbial-properties-for-increasing-the-shelf-life-of-processed-meats/ (accessed on 15 October 2021).
- SP GROUP Projects. Project Reciclactive: “Delivering the Meat Industry New Sustainable, Recyclable Active Packaging Solutions”. Available online: https://www.spg-pack.com/en/project-reciclactive-delivering-the-meat-industry-new-sustainable-recyclable-active-packaging-solutions/ (accessed on 15 October 2021).
- De Oliveira, L.A.P.; Castro-Gomes, J.P. Physical and mechanical behaviour of recycled PET fibre reinforced mortar. Constr. Build. Mater. 2011, 25, 1712–1717. [Google Scholar] [CrossRef]
- Han, C.-G.; Hwang, Y.-S.; Yang, S.-H.; Gowripalan, N. Performance of spalling resistance of high performance concrete with polypropylene fiber contents and lateral confinement. Cem. Concr. Res. 2005, 35, 1747–1753. [Google Scholar] [CrossRef]
- Karahan, O.; Atiş, C.D. The durability properties of polypropylene fiber reinforced fly ash concrete. Mater. Des. 2011, 32, 1044–1049. [Google Scholar] [CrossRef]
- Richardson, A.E. Compressive strength of concrete with polypropylene fibre additions. Struct. Surv. 2006, 24, 138–153. [Google Scholar] [CrossRef]
- Alonso, M.C.; Sanchez, M.; Rodriguez, C.; Barragan, B. Durability of SCC reinforced with polymeric fibres: Interaction with environment and behaviour against high temperatures. In Proceedings of the 11th International Inorganic-Bonded Fibre Composites Conferences, Madrid, Spain, 5–7 November 2008; pp. 227–235. [Google Scholar]
- De Miguel, P.C.; Álvarez, A.P.; Jiménez, J.P.G. Diseño optimizado y caracterización de hormigones autocompactantes reforzados con fibra polimérica de alto módulo. In Proceedings of the 3rd Congreso Iberoamericano Sobre Hormigón Autocompactante Avances y Oportunidades, Madrid, Spain, 3–4 December 2012. [Google Scholar]
- Kim, S.B.; Yi, N.H.; Kim, H.Y.; Kim, J.-H.J.; Song, Y.C. Material and structural performance evaluation of recycled PET fiber reinforced concrete. Cem. Concr. Compos. 2010, 32, 232–240. [Google Scholar] [CrossRef]
- Ghernouti, Y.; Rabehi, B.; Bouziani, T.; Ghezraoui, H.; Makhloufi, A. Fresh and hardened properties of self-compacting concrete containing plastic bag waste fibers (WFSCC). Constr. Build. Mater. 2015, 82, 89–100. [Google Scholar] [CrossRef]
- Borg, R.P.; Baldacchino, O.; Ferrara, L. Early age performance and mechanical characteristics of recycled {PET} fibre reinforced concrete. Constr. Build. Mater. 2018, 108, 29–47. [Google Scholar] [CrossRef] [Green Version]
- Jacob-Vaillancourt, C.; Sorelli, L. Characterization of concrete composites with recycled plastic aggregates from postconsumer material streams. Constr. Build. Mater. 2018, 182, 561–572. [Google Scholar] [CrossRef]
- Ahmed, H.U.; Faraj, R.H.; Hilal, N.; Mohammed, A.A.; Sherwani, A.F.H. Use of recycled fibres in concrete composites: A systematic comprehensive review. Compos. B Eng. 2021, 215, 108769. [Google Scholar] [CrossRef]
- Hsie, M.; Tu, C.; Song, P.S. Mechanical properties of polypropylene hybrid fiber reinforced concrete. Mater. Sci. Eng. A 2008, 494, 153–157. [Google Scholar] [CrossRef]
- Kakooei, S.; Akil, H.M.; Jamshidi, M.; Rouhi, J. The effects of polypropylene fibers on the properties of reinforced concrete structures. Constr. Build. Mater. 2012, 27, 73–77. [Google Scholar] [CrossRef]
- Thomas, L.M.; Moosvi, S.A. Hardened properties of binary cement concrete with recycled PET bottle fiber: An experimental study. Mater. Today Proc. 2020, 32, 632–637. [Google Scholar] [CrossRef]
- Pelisser, F.; Montedo, O.R.K.; Gleize, P.J.P.; Roman, H.R. Mechanical properties of recycled PET fibers in concrete. Mater. Res. 2012, 15, 679–686. [Google Scholar] [CrossRef]
- Mazaheripour, H.; Ghanbarpour, S.; Mirmoradi, S.H.; Hosseinpour, I.I. The effect of polypropylene fibers on the properties of fresh and hardened lightweight self-compacting concrete. Constr. Build. Mater. 2011, 25, 351–358. [Google Scholar] [CrossRef]
- López-Buendía, A.M.; Romero-Sánchez, M.D.; Climent, V.; Guillem, C. Surface treated polypropylene (PP) fibres for reinforced concrete. Cem. Concr. Res. 2013, 54, 29–35. [Google Scholar] [CrossRef]
- Ochi, T.; Okubo, S.; Fukui, K. Development of recycled {PET} fiber and its application as concretereinforcing fiber. Cem. Concr. Compos. 2007, 29, 448–455. [Google Scholar] [CrossRef]
- Toutanji, H.A. Properties of polypropylene fiber reinforced silica fume expansive-cement concrete. Constr. Build. Mater. 1999, 13, 171–177. [Google Scholar] [CrossRef]
- Wang, Y.; Zureick, A.H.; Cho, B.S.; Scott, D. E Properties of fibre reinforced concrete using recycled fibres from carpet industrial waste. J. Mater. Sci. 1994, 29, 4191–4199. [Google Scholar] [CrossRef]
- Nibudey, R.N.; Nagarnaik, P.B.; Parbat, D.K.; Pande, A.M. Strength and fracture properties of post consumed waste plastic fiber reinforced concrete. Int. J. Civ. Struct. Environ. Infrastruct. Eng. Res. Dev. 2013, 3, 9–16. [Google Scholar]
- Yin, S.; Tuladhar, R.; Collister, T.; Combe, M.; Sivakugan, N.; Deng, Z. Post-cracking performance of recycled polypropylene fibre in concrete. Constr. Build. Mater. 2015, 101, 1069–1077. [Google Scholar] [CrossRef]
- Foti, D. Preliminary analysis of concrete reinforced with waste bottles PET fibers. Constr. Build. Mater. 2011, 25, 1906–1915. [Google Scholar] [CrossRef]
- Signorini, C.; Volpini, V. Mechanical Performance of Fiber Reinforced Cement Composites Including Fully-Recycled Plastic Fibers. Fibers 2021, 9, 16. [Google Scholar] [CrossRef]







| Technical Data | Unit | RPF | CPF |
|---|---|---|---|
| Thickness | mm | 0.125 | - |
| Width | mm | 4 | - |
| Length | mm | 50 | 50 |
| Diameter | mm | - | 0.682 |
| Aspect ratio | - | 63.00 | 73.53 |
| Density | g/cm3 | 1.13 | 0.91 |
| Tensile strength | MPa | 500 | 530 |
| Modulus of elasticity | GPa | 9.0 | 7.4 |
| Test Methods\Mixes | C-REF | PFRC-REF | PFRC-2 | PFRC-4 | PFRC-6 |
|---|---|---|---|---|---|
| Dry density (g/cm3) | 2.27 (0.01) | 2.26 (0.01) | 2.24 (0.01) | 2.25 (0.01) | 2.21 (0.02) |
| Open porosity (%) | 11.84 (0.24) | 14.15 (0.31) | 12.21 (0.20) | 12.17 (0.44) | 13.34 (0.49) |
| Effective porosity of concrete, εe (×10−2 cm3/cm3) | 5.48 (0.38) | 8.72 (0.65) | 6.30 (0.20) | 6.55 (0.08) | 6.53 (0.07) |
| Resistance to water penetration by capillarity absorption, m (min/cm2) | 33.22 (1.01) | 34.64 (4.70) | 27.62 (0.62) | 28.39 (1.79) | 24.98 (0.90) |
| Capillary absorption coefficient, K (×10−2 kg/(m2·min1/2) | 9.51 (0.50) | 14.81 (0.60) | 11.98 (0.44) | 12.30 (0.27) | 13.08 (0.37) |
| The standard deviation is shown in parentheses |
Publisher’s Note: MDPI stays neutral with regard to jurisdictional claims in published maps and institutional affiliations. |
© 2021 by the authors. Licensee MDPI, Basel, Switzerland. This article is an open access article distributed under the terms and conditions of the Creative Commons Attribution (CC BY) license (https://creativecommons.org/licenses/by/4.0/).
Share and Cite
Vaccaro, P.A.; Galvín, A.P.; Ayuso, J.; Barbudo, A.; López-Uceda, A. Mechanical Performance of Concrete Made with the Addition of Recycled Macro Plastic Fibres. Appl. Sci. 2021, 11, 9862. https://doi.org/10.3390/app11219862
Vaccaro PA, Galvín AP, Ayuso J, Barbudo A, López-Uceda A. Mechanical Performance of Concrete Made with the Addition of Recycled Macro Plastic Fibres. Applied Sciences. 2021; 11(21):9862. https://doi.org/10.3390/app11219862
Chicago/Turabian StyleVaccaro, Pietro A., Adela P. Galvín, Jesús Ayuso, Auxi Barbudo, and Antonio López-Uceda. 2021. "Mechanical Performance of Concrete Made with the Addition of Recycled Macro Plastic Fibres" Applied Sciences 11, no. 21: 9862. https://doi.org/10.3390/app11219862
APA StyleVaccaro, P. A., Galvín, A. P., Ayuso, J., Barbudo, A., & López-Uceda, A. (2021). Mechanical Performance of Concrete Made with the Addition of Recycled Macro Plastic Fibres. Applied Sciences, 11(21), 9862. https://doi.org/10.3390/app11219862

