Thermal Battery for Electric Vehicles: High-Temperature Heating System for Solid Media Based Thermal Energy Storages
Abstract
:1. Introduction
2. Modeling
2.1. Thermal Storage System
2.2. Electrical Heating Power
2.3. Effective Radiation Coefficient
3. Results
3.1. Effective Radiation Coefficient
3.2. Thermal Storage System
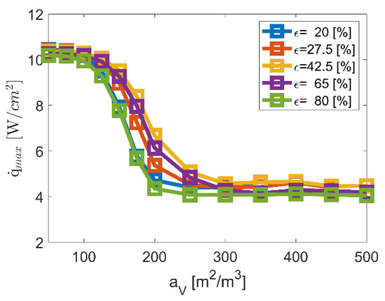
3.2.1. Fundamental Contexts to Systemic Storage Densities
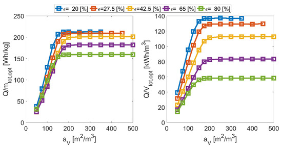
3.2.2. Optimized Systems with Maximum Gravimetric Storage Density
3.2.3. Selected Design Option: Temporal Characteristics and Dimensions
4. Proof of Concept: First Experimental Validation
5. Conclusions
Funding
Conflicts of Interest
Nomenclature
| R | Radius [m] |
| D | Diameter [m] |
| L | Length [m] |
| Δs | Insulation thickness [m] |
| V | Volume [m3] |
| O | Surface [m2] |
| x | Heating wire assignment |
| m | Mass [kg] |
| aV | Specific surface [m2/m3] |
| ε | Void fraction |
| d | Diameter [m] |
| α | Heat transport coefficient [W/m2K] |
| k | Total heat transfer coefficient [W/m2K] |
| t | Time [s] |
| z | Axial dimension [m] |
| r | Radial dimension [m] |
| ρ | Density [kg/m3] |
| c | Specific heat capacity [J/kgK] |
| λ | Heat conduction [W/mK] |
| κ | Specific electrical resistance [Ω mm2/m] |
| β | Emission coefficient |
| T | Temperature [K] |
| Q | Thermal energy [J] |
| Heating wire surface load [W/m2] | |
| τ | Duration [s] |
| CRad | Radiation parameter [W/m2K4] |
| P | Electrical heating power [W] |
| I | Electric current [A] |
| U | Electric voltage [V] |
| Fo | Fourier number |
| Subscripts | |
| S | Solid |
| P | Heating wire |
| Ins | Thermal insulation |
| U | Environment |
| W | Exterior surface |
References
- Kuper, C.; Hoh, M.; Houchin, G.-M.; Fuhr, J. Thermal Management of Hybrid Vehicle Battery Systems; EVS24: Stavanger, Norway, 2009. [Google Scholar]
- Jung, M.; Kemle, A.; Strauss, T.; Wawzyniak, M. Innenraumheizung von Hybrid—Und Elektrofahrzeugen; ATZ: Vancouver, BC, Canada, 2011; pp. 396–401. [Google Scholar]
- Dincer, I.; Rosen, M.A. Thermal Energy Storage, Systems and Applications; John Wiley & Sons: Chichester, UK, 2002. [Google Scholar]
- Schmidt, F.W.; Willmott, A.J. Thermal Energy Storage and Regeneration; McGraw-Hill Book Company: New York, NY, USA, 1981. [Google Scholar]
- Amelio, M.; Morrone, P. Numerical evaluation of the energetic performances of structured and random packed beds in regenerative thermal oxidizers. Appl. Therm. Eng. 2007, 27, 762–770. [Google Scholar] [CrossRef]
- Dreißigacker, V.; Belik, S. System configurations and operational concepts for high efficient utilization of Power-to-Heat in A-CAES. Appl. Sci. 2019, 9, 1317. [Google Scholar] [CrossRef] [Green Version]
- Krüger, M.; Muslubas, S.; Loeper, T.; Klasing, F.; Knödler, P.; Mielke, C. Potentials of Thermal Energy Storage Integrated into Steam Power Plants. Energies 2020, 13, 2226. [Google Scholar] [CrossRef]
- Fricker, H.W. Regenerative Thermal Storage in Atmospheric Air System Solar Power Plants. Energy 2004, 29, 871–881. [Google Scholar] [CrossRef]
- Pacheco, J.E.; Showalter, S.K.; Kolb, G.J. Development of a Molten-Salt Thermocline Thermal Storage System for Parabolic Trough Plants. J. Sol. Energy Eng. 2002, 124, 153–159. [Google Scholar] [CrossRef]
- Tamme, R.; Laing, D.; Steinmann, W.D. Advanced Thermal Storage Technology for Parabolic Trough. J. Sol. Energy Eng. 2004, 126, 794–800. [Google Scholar] [CrossRef]
- Steinmann, W.D.; Tamme, R. Latent Heat Storage for Solar Steam Systems. In Proceedings of the 13th Solar-PACES International Symposium on Concentrated Solar Power and Chemical Energy Technology, Sevilla, Spain, 20–23 June 2006. [Google Scholar]
- Kölbig, M.; Bürger, I.; Schmidt, M.; Linder, M. Thermal applications in vehicles using Hydralloy C5 in single and coupled metal hydride systems. Appl. Energy 2021, 287, 116534. [Google Scholar] [CrossRef]
- Linder, M.; Utz, I.; Schaube, F.; Molenda, M.; Wörner, A. Gas-Solid Reactions for Heat Applications. In Proceedings of the 5th Hydrogen & Energy Symposium, Stoos, Switzerland, 23–28 January 2011. [Google Scholar]
- Ugurlu, A.; Gokcol, C. A review on thermal energy storage systems with phase change materials in vehicles. Electron. J. Vocat. Coll. 2012, 2, 1–14. [Google Scholar]
- Kraft, W.; Stahl, V.; Vetter, P. Thermal Storage Using Metallic Phase Change Materials for Bus—State of the Art of Electric Buses and Requirements for the Storage System. Energies 2020, 13, 3023. [Google Scholar] [CrossRef]
- Kraft, W.; Jilg, V.; Altstedde, M.K.; Lanz, T.; Vetter, P.; Schwarz, D. Thermal High Performance Storages for Use in Vehicle Applications. In Proceedings of the 2nd ETA Conference, Berlin, Germany, 2–23 November 2018. [Google Scholar]
- Korin, E.; Reshef, R.; Tshernichovesky, D.; Sher, E. Improving Cold-Start Functioning of Catalytic Converters by Using Phase-Change Materials. SAE Tech. Pap. Ser. 1998, 980671. [Google Scholar] [CrossRef]
- Gumus, M. Reducing cold-start emission from internal combustion engines by means of thermal energy storage system. Appl. Therm. Eng. 2009, 29, 652–660. [Google Scholar] [CrossRef]
- Bauer, R.; Schlünder, E.U. Effective Radial Thermal Conductivity of Packings in Gas Flow. Part II Thermal Conductivity of the Packing Fraction Without Gas Flow. Int. Chem. Eng. 1978, 18, 189–204. [Google Scholar]
- Dieterich, M.; Bürger, I.; Linder, M. Open and closed metal hydride system for high thermal power applications: Preheating vehicle components. Int. J. Hydrog. Energy 2017, 42, 11469–11481. [Google Scholar] [CrossRef]
- Dreißigacker, V.; Belik, S. High temperature solid media thermal energy storage system with high effective storage densities for flexible heat supply in electric vehicles. Appl. Therm. Eng. 2018, 149, 173–179. [Google Scholar] [CrossRef]
- Sergej, B.; Dreißigacker, V.; Dieterich, M.; Kraft, W. Next Generation Car Thermal energy storage systems: Power-to-Heat concept in solid media storage for high storage densities. In Proceedings of the EVS30 Symposium, Stuttgart, Germany, 9–11 October 2017. [Google Scholar]
- Dreißigacker, V. Solid Media Thermal Energy Storage System for Heating Electric Vehicles: Advanced Concept for Highest Thermal Storage Densities. Appl. Sci. 2020, 10, 8027. [Google Scholar] [CrossRef]
- Cartridge Heaters. Available online: https://www.tempco.com/Tempco/Products/Electric-Heaters-and-Elements/Cartridge-Heaters.htm (accessed on 26 August 2021).
- Rudnev, V.; Loveless, D.; Cook, R.; Black, M. Handbook of Induction Heating; Dekker: New York, NY, USA; Basel, Switzerland, 2003. [Google Scholar]
- How Storage Heaters Work. Available online: http://www.storageheaters.com/how-storage-heaters-work.htm (accessed on 26 August 2021).
- Ismail, K.A.R.; Stuginsky, R. A parametric study on possible fixed bed models for pcm and sensible heat storage. Appl. Therm. Eng. 1999, 19, 757–788. [Google Scholar] [CrossRef]
- Wakao, N.; Kaguei, S. Heat and Mass Transfer in Packed Beds; Gordon and Braech: New York, NY, USA, 1982. [Google Scholar]
- Churchill, S.W.; Chu, H.H.S. Correlating equations for laminar and turbulent free convection from a vertical plate. Int. J. Heat Mass Transf. 1975, 18, 1323–1329. [Google Scholar] [CrossRef]
- Lupi, S.; Forzan, M.; Aliferov, A. Induction and Direct Resistance Heating: Theory and Numerical Modeling; Springer International Publishing: Cham, Switzerland, 2015. [Google Scholar] [CrossRef]
- Howell, J.; Siegel, R.; Mengüç, M.P. Thermal Radiation Heat Transfer; CRC Press: Cleveland, OH, USA, 2010. [Google Scholar]
- Archer, D.G. Thermodynamic Properties of Synthetic Sapphire (α-Al2O3), Standard Reference Material 720 and the Effect of Temperature-Scale Differences on Thermodynamic Properties. J. Phys. Chem. Ref. Data 1993, 22, 1441. [Google Scholar] [CrossRef] [Green Version]
- KANTHAL. Available online: https://www.kanthal.com/en/products/material-datasheets/wire/resistance-heating-wire-and-resistance-wire/kanthal-d/ (accessed on 26 August 2021).
- SILCAPOR. Available online: https://www.silca-online.de/fileadmin/2.pdf/03.produktdatenblaetter-ht-de/PDB-SILCAPOR.pdf (accessed on 26 August 2021).
- Resistance Heating Alloys and Systems for Industrial Furnaces, Kanthal Handbook; The Kanthal Corporation: Palm Coast, FL, USA, 2001; pp. 6–9.
- Thackeray, M.M.; Wolverton, C.; Isaacs, E.D. Electrical energy storage for transportation—Approaching the limits of, and going beyond, lithium-ion batteries. Energy Environ. Sci. 2012, 5, 7854–7863. [Google Scholar] [CrossRef]











| ρ [kg/m3] | c [J/kgK] | λ [W/mK] | β | κ [Ω mm2/m] | |
|---|---|---|---|---|---|
| Honeycomb (S) | 3991 | 1169 | 11.1 | 0.8 | - |
| Heating Wire (P) | 7250 | 690 | - | 0.7 | 1.4 |
| Thermal Insulation (Ins) | 225 | - | 0.03 | - | - |
| mS [kg] | L/D [-] | aV [m2/m3] | ε [%] | x [%] | τ [min] | |
|---|---|---|---|---|---|---|
| 5–15 | 0.5–4 | 50–600 | 20–80 | 10–90 | 0.05–0.5 | 15–180 |
| aV [m2/m3] | Crad [W/m2K4] | krad [W/m2K4] |
|---|---|---|
| 50 | 7.74 × 10−9 | 8.3 × 10−9 |
| 100 | 7.9 × 10−9 | 8.09 × 10−9 |
| 200 | 7.98 × 10−9 | 8.02 × 10−9 |
| 400 | 8.02 × 10−9 | 8.04 × 10−9 |
| τ [min] | Q [kWh] | TW [°C] | U [V] | Imax [A] |
|---|---|---|---|---|
| 30 | 2.5 | 60 | 400 | 16 |
| Honeycomb (S) | Thermal Insulation (Ins) | Heating Wire (P) | |
|---|---|---|---|
| m [kg] | 7.8 | 4.2 | 0.4 |
| V [l] | 3.4 | 18.8 |
Publisher’s Note: MDPI stays neutral with regard to jurisdictional claims in published maps and institutional affiliations. |
© 2021 by the author. Licensee MDPI, Basel, Switzerland. This article is an open access article distributed under the terms and conditions of the Creative Commons Attribution (CC BY) license (https://creativecommons.org/licenses/by/4.0/).
Share and Cite
Dreißigacker, V. Thermal Battery for Electric Vehicles: High-Temperature Heating System for Solid Media Based Thermal Energy Storages. Appl. Sci. 2021, 11, 10500. https://doi.org/10.3390/app112110500
Dreißigacker V. Thermal Battery for Electric Vehicles: High-Temperature Heating System for Solid Media Based Thermal Energy Storages. Applied Sciences. 2021; 11(21):10500. https://doi.org/10.3390/app112110500
Chicago/Turabian StyleDreißigacker, Volker. 2021. "Thermal Battery for Electric Vehicles: High-Temperature Heating System for Solid Media Based Thermal Energy Storages" Applied Sciences 11, no. 21: 10500. https://doi.org/10.3390/app112110500
APA StyleDreißigacker, V. (2021). Thermal Battery for Electric Vehicles: High-Temperature Heating System for Solid Media Based Thermal Energy Storages. Applied Sciences, 11(21), 10500. https://doi.org/10.3390/app112110500
