Brain Activity Recognition Method Based on Attention-Based RNN Mode
Abstract
:1. Introduction
- (1)
- The paper proposes an EEG analysis-based brain activity recognition approach able to be directly applied in primitive EEG data analysis, thereby reducing dependence on professional EEG knowledge.
- (2)
- The attention-based RNN model is adopted to improve the effect of EEG classification through adjusting hidden layer neuron’s size.
- (3)
- The dedicated experiments are conducted on EEG datasets comprising 560,000 samples under 20 topics and 5 categories to evaluate this proposed method. According to the comparison with other prime EEG classification approaches, the method in this paper can improve the accuracy by about 10%.
2. Preliminaries
2.1. EEG Analysis
2.2. Attention-Based RNN Model
2.3. XGBoot
2.4. Brain–Computer Interface (BCI)
3. The Proposed Method
3.1. EEG Signal Preprocessing
3.2. Attention-Based RNN
3.3. Brain Activity Recognition
4. Experiments and Analysis
4.1. Datasets and Tasks
4.2. Evaluation
4.3. Experimental Results
4.3.1. Parameter Settings
4.3.2. Results
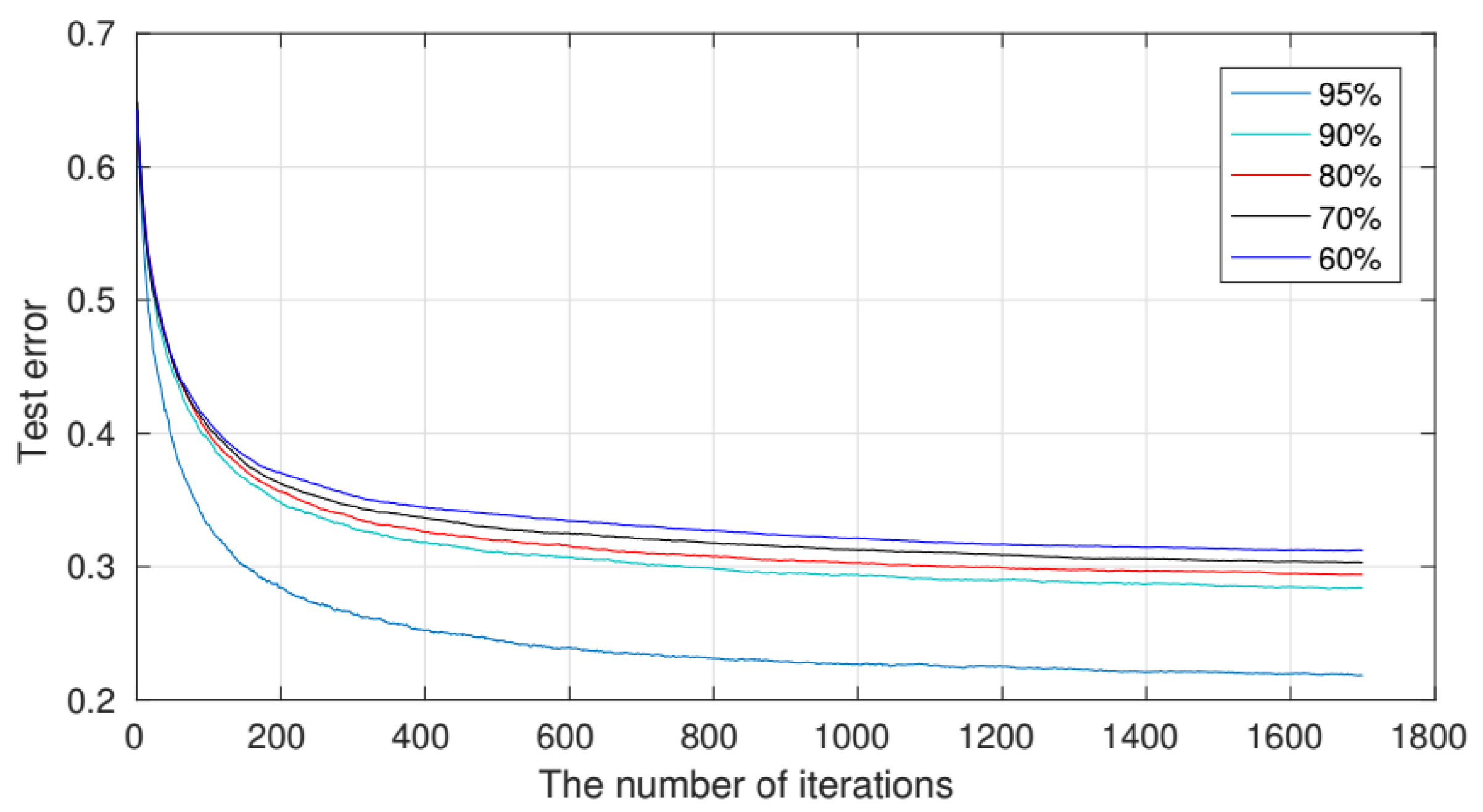
4.3.3. Accuracy Analysis
4.3.4. Comparative Analysis
5. Conclusions
Author Contributions
Funding
Institutional Review Board Statement
Informed Consent Statement
Data Availability Statement
Conflicts of Interest
References
- Anh, N.T.H.; Hoang, T.H.; Thang, V.T.; Bui, T.Q. An Artificial Neural Network approach for electroencephalographic signal classification towards brain-computer interface implementation. In Proceedings of the IEEE RIVF International Conference, Hanoi, Vietnam, 7–9 November 2016; pp. 205–210. [Google Scholar]
- Bhattacharyya, S.; Sengupta, A.; Chakraborti, T.; Konar, A.; Tibarewala, D.N. Automatic feature selection of motor imagery EEG signals using differential evolution and learning automata. Med. Biol. Eng. Comput. 2014, 52, 131–139. [Google Scholar] [CrossRef] [PubMed]
- Vézard, L.; Legr, P.; Chavent, M.; Faïta-Aïnseba, F.; Trujillo, L. EEG classification for the detection of mental states. Appl. Soft Comput. 2015, 32, 113–131. [Google Scholar] [CrossRef]
- Meisheri, H.; Ramrao, N.; Mitra, S.K. Multiclass common spatial pattern with artifacts removal methodology for EEG signals. In Proceedings of the 2016 4th International Symposium on Computational and Business Intelligence (ISCBI), Olten, Switzerland, 5–7 September 2016; IEEE: Piscataway, NJ, USA, 2016; pp. 90–93. [Google Scholar]
- Shiratori, T.; Tsubakida, H.; Ishiyama, A.; Ono, Y. Three-class classification of motor imagery EEG data including firest statefi using lter-bank multi-class Common Spatial pattern. In Proceedings of the 3rd International Winter Conference on Brain-Computer Interface, Gangwon, Korea, 12–14 January 2015; IEEE: Piscataway, NJ, USA, 2015; pp. 1–4. [Google Scholar]
- Wang, D.; Miao, D.Q.; Blohm, G. Multi-class motor imagery EEG decoding for brain-computer interfaces. Front. Neurosci. 2012, 6, 151. [Google Scholar] [CrossRef] [PubMed] [Green Version]
- Ridha, D.; Ayad, B.; Kais, B.; Sofien, G.; Walid, K. Three-Class EEG-Based Motor Imagery Classification Using Phase-Space Reconstruction Technique. J. Brain Sci. 2016, 3, 36. [Google Scholar]
- Vernon, L.; Amelia, S.; Nicholas, W. Analysis of Miniaturization Effects and Channel Selection Strategies for EEG Sensor Networks With Application to Auditory Attention Detection. J. Neural Eng. 2018, 15, 1–17. [Google Scholar]
- Inoue, R.; Sugi, T.; Matsuda, Y.; Goto, S.; Nohira, H.; Mase, R. Recording and Characterization of EEGs by Using Wearable EEG Device. In Proceedings of the 9th International Conference on Control, Automation and Systems (ICCAS), Jeju, Korea, 15–18 October 2019; pp. 194–197. [Google Scholar]
- De Venuto, D.; Annese, V.F.; de Tommaso, M.; Vecchio, E.; Vincentelli, A.S. Combining EEG and EMG signals in a wireless system for preventing fall in neurodegenerative diseases. Ambient Assist. Living 2015, 52, 317–372. [Google Scholar]
- Ji, H.; Li, J.; Lu, R.; Gu, R.; Cao, L.; Gong, X. EEG classification for hybrid brain-computer interface using a tensor based multiclass multimodal analysis scheme. Comput. Intell. Neurosci. 2016, 2016, 51. [Google Scholar] [CrossRef] [PubMed] [Green Version]
- Lawhern, V.J.; Solon, A.J.; Waytowich, N.R.; Gordon, S.M.; Hung, C.P.; Lance, B.J. EEGNet: A compact convolutional neural network for EEG-based brain–computer interfaces. In Proceedings of the Computer Graphics International 2018, Bintan, Indonesia, 11–14 June 2018; ACM Press: New York, NY, USA, 2018; Volume 26, pp. 107–116. [Google Scholar]
- Zhang, Y.; Liu, B.; Ji, X.; Huang, D. Classification of EEG Signals Based on Autoregressive Model and Wavelet Packet Decomposition. Neural Process. Lett. 2016, 45, 365–378. [Google Scholar] [CrossRef]
- Duan, L.; Xu, Y.; Cui, S.; Chen, J.; Bao, M. Feature extraction of motor imagery EEG based on extreme learning machine auto-encoder. In Proceedings of the ELM—2015 Volume 1, Hangzhou, China, 15–17 December 2015; Springer: Berlin/Heidelberg, Germany, 2015; pp. 361–370. [Google Scholar]
- Narayanan, A.M.; Bertrand, A. Analysis of Miniaturization Effects and Channel Selection Strategies for EEG Sensor Networks With Application to Auditory Attention Detection. IEEE Trans. Biomed. Eng. 2020, 67, 234–244. [Google Scholar] [CrossRef] [PubMed]
- Wang, F.; Tax, D.M. Survey on the attention based RNN model and its applications in computer vision. arXiv 2016, arXiv:1601.06823. [Google Scholar]
- Faust, O.; Acharya, U.R.; Adeli, H.; Adeli, A. Wavelet based EEG processing for computer-aided seizure detection and epilepsy diagnosis. Seizure 2015, 26, 56–64. [Google Scholar] [CrossRef] [PubMed] [Green Version]
- Chen, T.; Guestrin, C. Xgboost: A scalable tree boosting system. In Proceedings of the 22nd ACM SIGKDD International Conference on Knowledge Discovery and Data Mining, San Francisco, CA, USA, 13–17 August 2016; ACM: New York, NY, USA, 2016; Volume 52, pp. 785–794. [Google Scholar]
- Zhang, Y.; Zhou, G.; Jin, J.; Zhao, Q.; Wang, X.; Cichocki, A. Sparse bayesian classification of EEG for brain–computer interface. IEEE Trans. Neural Netw. Learn. Syst. 2016, 11, 2256–2267. [Google Scholar] [CrossRef] [PubMed]




| Parameter | Explanation | 
|---|---|
| E | EEG raw data | 
| Preprocessed EEG data | |
| Data in the i-th layer in attention-based RNN | |
| I | The number of layers in attention-based RNN | 
| The number of dimensions of | |
| Y | The one-hot label of emotion | 
| The predicted status form attention-based RNN | |
| K | The number of categories of subject status | 
| The linear function | |
| C | The intermediate code | 
| The output calculation procedure of LSTM cell | |
| The final hidden state calculation procedure of LSTM cell | |
| The unnormalized attention weights | |
| The normalized attention weights | |
| The attention-based intermediate code | |
| The feature of deep learning | |
| The final status of subject | 
| Instance | Predict Positive | Predict Negative | 
|---|---|---|
| Positive class | True Positive (TP) | True Negative (TN) | 
| Negative class | False Positive (FP) | False Negative (FN) | 
| Ground Truth | Evaluation | |||||||||
|---|---|---|---|---|---|---|---|---|---|---|
| Predict Label | class | 0 | 1 | 2 | 3 | 4 | Accuracy | Recall | F1 Score | AUC | 
| 0 | 3753 | 0 | 312 | 238 | 420 | 0.8036 | 0.7759 | 0.7908 | 0.9434 | |
| 1 | 392 | 7903 | 518 | 448 | 492 | 0.8058 | 0.9352 | 0.8532 | 0.9532 | |
| 2 | 238 | 178 | 3931 | 334 | 209 | 0.8103 | 0.7637 | 0.7724 | 0.9502 | |
| 3 | 132 | 126 | 207 | 3326 | 162 | 0.8356 | 0.7301 | 0.7795 | 0.9496 | |
| 4 | 357 | 359 | 238 | 206 | 3402 | 0.7386 | 0.7402 | 0.7458 | 0.9408 | |
| average | 0.7987 | 0.789 | 0.7883 | 0.9474 | ||||||
| No | 1 | 2 | 3 | 4 | 5 | 6 | 7 | 
|---|---|---|---|---|---|---|---|
| Classifier | SVM | RNN | XGBoost | CNN | RF | DT | LDA | 
| Acc | 0.355 | 0.674 | 0.6322 | 0.524 | 0.661 | 0.306 | 0.342 | 
| No | 8 | 9 | 10 | 11 | 12 | 13 | 14 | 
| Classifier | RNN+SVM | PCA+ XGBoost | PCA+RNN+ XGBoost | EIG+RNN+ XGBoost | EIG+PCA+ XGBoost | DWT+ XGBoost | RNN+AB+ XGBoost | 
| Acc | 0.689 | 0.723 | 0.643 | 0.501 | 0.63 | 0.67 | 0.804 | 
| Publisher’s Note: MDPI stays neutral with regard to jurisdictional claims in published maps and institutional affiliations. | 
© 2021 by the authors. Licensee MDPI, Basel, Switzerland. This article is an open access article distributed under the terms and conditions of the Creative Commons Attribution (CC BY) license (https://creativecommons.org/licenses/by/4.0/).
Share and Cite
Zhou, S.; Gao, T. Brain Activity Recognition Method Based on Attention-Based RNN Mode. Appl. Sci. 2021, 11, 10425. https://doi.org/10.3390/app112110425
Zhou S, Gao T. Brain Activity Recognition Method Based on Attention-Based RNN Mode. Applied Sciences. 2021; 11(21):10425. https://doi.org/10.3390/app112110425
Chicago/Turabian StyleZhou, Song, and Tianhan Gao. 2021. "Brain Activity Recognition Method Based on Attention-Based RNN Mode" Applied Sciences 11, no. 21: 10425. https://doi.org/10.3390/app112110425
APA StyleZhou, S., & Gao, T. (2021). Brain Activity Recognition Method Based on Attention-Based RNN Mode. Applied Sciences, 11(21), 10425. https://doi.org/10.3390/app112110425
 
         
                                                
 
       