Adsorption of Yttrium Ions on 3-Amino-5-Hydroxypyrazole Impregnated Bleaching Clay, a Novel Sorbent Material
Abstract
:1. Introduction
2. Materials and Methods
2.1. Preparation of Sorbent Material
2.2. Sorption Studies
3. Results and Discussion
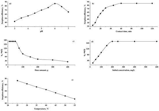
3.1. Sorption Study
3.1.1. Effect of pH
3.1.2. Effect of Contact Time
3.1.3. Effect of Adsorbent Dose
3.1.4. Effect of Initial Concentration
3.1.5. Effect of Temperature
3.2. Kinetic Characteristics
3.3. Isotherm Characteristics
3.4. Thermodynamic Characteristics
3.5. Yttrium Ions Desorption
3.6. Characterization of Sorbent Material
3.6.1. XRD Analysis
3.6.2. Fourier Transform Infrared Spectrometer (FTIR)
3.6.3. Surface Area Analyzer
3.6.4. Scanning Electron Microscope (SEM)
4. Conclusions
Author Contributions
Funding
Institutional Review Board Statement
Informed Consent Statement
Data Availability Statement
Acknowledgments
Conflicts of Interest
References
- Marinov, G.M.; Marinova, A.P.; Milanova, M.M.; Happel, S.; Karaivanov, D.V.; Filosofov, D.V. Sorption of Rare-earth Elements and Ac on DN resin with HCl, HClO4, CH3COOH, CCl3COOH. Solvent Extr. Ion Exch. 2018, 36, 459–469. [Google Scholar] [CrossRef]
- Sakr, A.K.; Mohamed, S.A.; Mira, H.I.; Cheira, M.F. Successive Leaching of Uranium and Rare Earth Elements from El Sela Mineralization. J. Sci. Eng. Res. 2018, 5, 95–111. Available online: https://jsaer.com/archive/volume-5-issue-9-2018/ (accessed on 2 October 2021).
- Orabi, A.; El-Sheikh, E.; Hassanin, M.; El Kady, M.; Abdel-Khalek, M.; Mowafy, A. Extraction of rare earth elements from Abu–Tartour wet process phosphoric acid using synthesized salicylaldehyde azine. Miner. Eng. 2018, 122, 113–121. [Google Scholar] [CrossRef]
- Kumari, A.; Sinha, M.K.; Sahu, S.K.; Pandey, B.D. Solvent Extraction and Separation of Trivalent Lanthanides Using Cyphos IL 104, a Novel Phosphonium Ionic Liquid as Extractant. Solvent Extr. Ion Exch. 2016, 34, 469–484. [Google Scholar] [CrossRef]
- Hamza, M.F.; Salih, K.A.M.; Abdel-Rahman, A.A.-H.; Zayed, Y.E.; Wei, Y.; Liang, J.; Guibal, E. Sulfonic-functionalized algal/PEI beads for scandium, cerium and holmium sorption from aqueous solutions (synthetic and industrial samples). Chem. Eng. J. 2021, 403, 126399. [Google Scholar] [CrossRef]
- Cai, Y.; Wang, L.; Yu, S.; Sun, J.; Liu, B.; Dong, L. Regeneration of deactivated CeCo O2 catalyst by simple thermal treatment. J. Rare Earths 2019, 38, 899–905. [Google Scholar] [CrossRef]
- Lashen, T.; Cheira, M.; Zaki, D.; Allam, E.; Mohamed, S. Leaching and Recovery of Rare Earth Elements from Altered Alkaline Granite Rock from Nusab El-Balgum Area, south Western Desert, Egypt. Int. J. Adv. Res. 2016, 4, 787–801. [Google Scholar] [CrossRef]
- Li, K.; Chen, J.; Zou, D. Recovery of fluorine utilizing complex properties of cerium(IV) to obtain high purity CeF3 by solvent extraction. Sep. Purif. Technol. 2018, 191, 153–160. [Google Scholar] [CrossRef]
- Hassanin, M.A. Application of diol derivatives as a natural extractant for uranium from its solutions. Sep. Sci. Technol. 2020, 55, 1–11. [Google Scholar] [CrossRef]
- Xie, F.; Zhang, T.A.; Dreisinger, D.; Doyle, F. A critical review on solvent extraction of rare earths from aqueous solutions. Miner. Eng. 2014, 56, 10–28. [Google Scholar] [CrossRef]
- Rout, A.; Binnemans, K. Separation of rare earths from transition metals by liquid–liquid extraction from a molten salt hydrate to an ionic liquid phase. Dalton Trans. 2014, 43, 3186–3195. [Google Scholar] [CrossRef] [PubMed] [Green Version]
- Zsabka, P.; Van Hecke, K.; Adriaensen, L.; Wilden, A.; Modolo, G.; Verwerft, M.; Binnemans, K.; Cardinaels, T. Solvent Extraction of Am(III), Cm(III), and Ln(III) Ions from Simulated Highly Active Raffinate Solutions by TODGA Diluted in Aliquat-336 Nitrate Ionic Liquid. Solvent Extr. Ion Exch. 2018, 36, 519–541. [Google Scholar] [CrossRef]
- Villemin, D.; Didi, M. Extraction of rare earth and heavy metals, using ionic solvents as extraction medium (A Review). Orient. J. Chem. 2013, 29, 1267–1284. [Google Scholar] [CrossRef] [Green Version]
- Iglesias, M.; Anticó, E.; Salvado, V.; Masana, A.; Valiente, M. Effect of Y(III) distribution between aqueous nitrate and organic D2EHPA solutions on the Y(III) precipitation stripping using oxalic acid. Solvent Extr. Ion Exch. 1999, 17, 277–300. [Google Scholar] [CrossRef]
- Zhou, S.; Vu-Bac, N.; Arash, B.; Zhu, H.; Zhuang, X. Interface Characterization Between Polyethylene/Silica in Engineered Cementitious Composites by Molecular Dynamics Simulation. Molecules 2019, 24, 1497. [Google Scholar] [CrossRef] [PubMed] [Green Version]
- Zhuang, X.; Zhou, S. Molecular Dynamics Study of an Amorphous Polyethylene/Silica Interface with Shear Tests. Materials 2018, 11, 929. [Google Scholar] [CrossRef] [Green Version]
- Rangabhashiyam, S.; Vijayaraghavan, K. Biosorption of Tm(III) by free and polysulfone-immobilized Turbinaria conoides biomass. J. Ind. Eng. Chem. 2019, 80, 318–324. [Google Scholar] [CrossRef]
- Xiao, Y.; Huang, L.; Long, Z.; Feng, Z.; Wang, L. Adsorption ability of rare earth elements on clay minerals and its practical performance. J. Rare Earths 2016, 34, 543–548. [Google Scholar] [CrossRef]
- Naushad, M.; Alqadami, A.A.; Alothman, Z.; Alsohaimi, I.H.; Algamdi, M.S.; Aldawsari, A.M. Adsorption kinetics, isotherm and reusability studies for the removal of cationic dye from aqueous medium using arginine modified activated carbon. J. Mol. Liq. 2019, 293, 111442. [Google Scholar] [CrossRef]
- Fujimori, E.; Nagata, S.; Kumata, H.; Umemura, T. Investigation of adverse effect of coexisting aminopolycarboxylates on the determination of rare earth elements by ICP-MS after solid phase extraction using an iminodiacetate-based chelating-resin. Chemosphere 2018, 214, 288–294. [Google Scholar] [CrossRef]
- Bai, R.; Yang, F.; Meng, L.; Zhao, Z.; Guo, W.; Cai, C.; Zhang, Y. Polyethylenimine functionalized and scaffolded graphene aerogel and the application in the highly selective separation of thorium from rare earth. Mater. Des. 2021, 197, 109195. [Google Scholar] [CrossRef]
- Pyrzynska, K.; Kubiak, A.; Wysocka, I. Application of solid phase extraction procedures for rare earth elements determination in environmental samples. Talanta 2016, 154, 15–22. [Google Scholar] [CrossRef] [PubMed]
- Tsai, W.; Chang, Y.; Lai, C.; Lo, C. Adsorption of ethyl violet dye in aqueous solution by regenerated spent bleaching earth. J. Colloid Interface Sci. 2005, 289, 333–338. [Google Scholar] [CrossRef] [PubMed]
- Tsai, W.; Chang, Y.; Lai, C.; Lo, C. Adsorption of basic dyes in aqueous solution by clay adsorbent from regenerated bleaching earth. Appl. Clay Sci. 2005, 29, 149–154. [Google Scholar] [CrossRef]
- Tsai, W.; Lai, C.; Hsien, K. Adsorption kinetics of herbicide paraquat from aqueous solution onto activated bleaching earth. Chemosphere 2004, 55, 829–837. [Google Scholar] [CrossRef]
- Tsai, W.; Chen, H.; Hsien, W.; Lai, C.; Lee, M. Thermochemical regeneration of bleaching earth waste with zinc chloride. Resour. Conserv. Recycl. 2003, 39, 65–77. [Google Scholar] [CrossRef]
- Rajkumar, K.; Muthukumar, M.; Sivakumar, R. Novel approach for the treatment and recycle of wastewater from soya edible oil refinery industry—An economic perspective. Resour. Conserv. Recycl. 2010, 54, 752–758. [Google Scholar] [CrossRef]
- Dumont, M.-J.; Narine, S.S. Soapstock and deodorizer distillates from North American vegetable oils: Review on their characterization, extraction and utilization. Food Res. Int. 2007, 40, 957–974. [Google Scholar] [CrossRef]
- Cheira, M.F.; Mira, H.; Sakr, A.K.; Mohamed, S.A. Adsorption of U(VI) from acid solution on a low-cost sorbent: Equilibrium, kinetic, and thermodynamic assessments. Nucl. Sci. Tech. 2019, 30, 156. [Google Scholar] [CrossRef]
- Merikhy, A.; Heydari, A.; Eskandari, H.; Ghahraman-Rozegar, F. Carbonized Spent Bleaching Earth as a low-cost adsorbent: A Facile Revalorization Strategy via Response Surface Methodology. Chem. Eng. Process. Process Intensif. 2020, 158, 108167. [Google Scholar] [CrossRef]
- Al Zubaidi, I.; Al Tamimi, A.; Al-Zubaidi, M. Applications of de-oiling and reactivation of spent clay. Environ. Technol. Innov. 2021, 21, 101182. [Google Scholar] [CrossRef]
- Weng, C.-H.; Sharma, Y.; Chu, S.-H. Adsorption of Cr(VI) from aqueous solutions by spent activated clay. J. Hazard. Mater. 2008, 155, 65–75. [Google Scholar] [CrossRef] [PubMed]
- Mahmoud, N.S.; Atwa, S.T.; Sakr, A.K.; Abdel Geleel, M. Kinetic and thermodynamic study of the adsorption of Ni(II) using Spent Activated clay Mineral. N. Y. Sci. J. 2012, 5, 62–68. [Google Scholar] [CrossRef]
- Weng, C.-H.; Tsai, C.-Z.; Chu, S.-H.; Sharma, Y.C. Adsorption characteristics of copper(II) onto spent activated clay. Sep. Purif. Technol. 2007, 54, 187–197. [Google Scholar] [CrossRef]
- Abdel Geleel, M.; Atwa, S.T.; Sakr, A.K. Removal of Cr(III) from aqueous waste using spent activated clay. J. Am. Sci. 2013, 9, 256–262. [Google Scholar] [CrossRef]
- Moldoveanu, G.A.; Papangelakis, V.G. Recovery of rare earth elements adsorbed on clay minerals: I. Desorption mechanism. Hydrometallurgy 2012, 117–118, 71–78. [Google Scholar] [CrossRef]
- Cheira, M.F.; Kouraim, M.N.; Zidan, I.H.; Mohamed, W.S.; Hassanein, T.F. Adsorption of U(VI) from sulfate solution using montmorillonite/polyamide and nano-titanium oxide/polyamide nanocomposites. J. Environ. Chem. Eng. 2020, 8, 104427. [Google Scholar] [CrossRef]
- Wu, F.-C.; Tseng, R.-L.; Juang, R.-S. Characteristics of Elovich equation used for the analysis of adsorption kinetics in dye-chitosan systems. Chem. Eng. J. 2009, 150, 366–373. [Google Scholar] [CrossRef]
- McLintock, I.S. The Elovich Equation in Chemisorption Kinetics. Nature 1967, 216, 1204–1205. [Google Scholar] [CrossRef]
- Cheira, M.F. Performance of poly sulfonamide/nano-silica composite for adsorption of thorium ions from sulfate solution. SN Appl. Sci. 2020, 2, 398. [Google Scholar] [CrossRef] [Green Version]
- Zidan, I.H.; Cheira, M.F.; Bakry, A.R.; Atia, B.M. Potentiality of uranium recovery from G.Gattar leach liquor using Duolite ES-467 chelating resin: Kinetic, thermodynamic and isotherm features. Int. J. Environ. Anal. Chem. 2020, 100, 1–23. [Google Scholar] [CrossRef]
- Dubinin, M.M. The Potential Theory of Adsorption of Gases and Vapors for Adsorbents with Energetically Nonuniform Surfaces. Chem. Rev. 1960, 60, 235–241. [Google Scholar] [CrossRef]
- Cheira, M.F. Synthesis of aminophosphonate-functionalised ZnO/polystyrene-butadiene nanocomposite and its characteristics for uranium adsorption from phosphoric acid. Int. J. Environ. Anal. Chem. 2021, 101, 1710–1734. [Google Scholar] [CrossRef]
- Temkin, M.I.; Pyzhev, V. Kinetics of ammonia synthesis on promoted iron catalyst. Acta Phys. Chim. URSS 1940, 12, 327–356. [Google Scholar]
- Sayed, A.S.; Abdelmottaleb, M.; Cheira, M.F.; Abdel-Aziz, G.; Gomaa, H.; Hassanein, T.F. Date seed as an efficient, eco-friendly, and cost-effective bio-adsorbent for removal of thorium ions from acidic solutions. Aswan Univ. J. Environ. Stud. 2020, 1, 106–124. [Google Scholar] [CrossRef]
- Atia, B.M.; Khawassek, Y.M.; Hussein, G.M.; Gado, M.A.; El-Sheify, M.A.; Cheira, M.F. One-pot synthesis of pyridine dicarboxamide derivative and its application for uranium separation from acidic medium. J. Environ. Chem. Eng. 2021, 9, 105726. [Google Scholar] [CrossRef]
- Cheira, M.; Rashed, M.; Mohamed, A.; Hussein, G.; Awadallah, M. Removal of some harmful metal ions from wet-process phosphoric acid using murexide-reinforced activated bentonite. Mater. Today Chem. 2019, 14, 100176. [Google Scholar] [CrossRef]
- Sdiri, A.; Khairy, M.; Bouaziz, S.; El-Safty, S. A natural clayey adsorbent for selective removal of lead from aqueous solutions. Appl. Clay Sci. 2016, 126, 89–97. [Google Scholar] [CrossRef]
- Cheira, M.F.; Rashed, M.; Mohamed, A.E.; Zidan, I.H.; Awadallah, M.A. The performance of Alizarin impregnated bentonite for the displacement of some heavy metals ions from the wet phosphoric acid. Sep. Sci. Technol. 2020, 55, 3072–3088. [Google Scholar] [CrossRef]
- Tsai, W.; Chen, H.; Hsieh, M.; Sun, H.; Chien, S. Regeneration of spent bleaching earth by pyrolysis in a rotary furnace. J. Anal. Appl. Pyrolysis 2002, 63, 157–170. [Google Scholar] [CrossRef]
- Senturk, H.B.; Ozdes, D.; Gundogdu, A.; Duran, C.; Soylak, M. Removal of phenol from aqueous solutions by adsorption onto organomodified Tirebolu bentonite: Equilibrium, kinetic and thermodynamic study. J. Hazard. Mater. 2009, 172, 353–362. [Google Scholar] [CrossRef] [PubMed]
- Madejová, J. FTIR techniques in clay mineral studies. Vib. Spectrosc. 2003, 31, 1–10. [Google Scholar] [CrossRef]
- Wahab, M.A.; Jellali, S.; Jedidi, N. Ammonium biosorption onto sawdust: FTIR analysis, kinetics and adsorption isotherms modeling. Bioresour. Technol. 2010, 101, 5070–5075. [Google Scholar] [CrossRef] [PubMed]
- Naser, J.; Avbenake, O.P.; Dabai, F.N.; Jibril, B.Y. Regeneration of spent bleaching earth and conversion of recovered oil to biodiesel. Waste Manag. 2021, 126, 258–265. [Google Scholar] [CrossRef] [PubMed]









| Adsorbent Materials | Adsorption Capacity, mg·g−1 | References |
|---|---|---|
| Macroalga (Turbinaria conoides) | 151.6 | [16] |
| Polysulfone immobilized Turbinaria conoides (PITC) | 157.9 | [17] |
| 2-amino-5-guanidinopentanoic acid modified activated carbon (AGDPA@AC) | 219.9 | [19] |
| Polyethylenimine (PEI)-scaffolded and functionalized graphene aerogel (PEI-GO-AG) | 38.17 | [21] |
| Carbonized Spent Bleaching Earth (CSBE) | 53.91 | [30] |
| Nano-composite cation exchanger sodium dodecyl sulfate acrylamide Zr(IV) selenite (SDS-AZS) | 21.01 | [37] |
| AHIBC | 171.32 | This study |
| Kinetic Models | Value | Parameters |
|---|---|---|
| Pseudo-first-order | 212.96 | qe (mg·g−1) |
| 0.081 | k1 (min−1) | |
| 0.85 | R2 | |
| Pseudo-second-order | 171.23 | qe (mg·g−1) |
| 4.36 × 10−4 | k2 (g·mg−1·min−1) | |
| 0.99 | R2 | |
| Elovich model | 25.45 | α (mg·g−1·min−1) |
| 0.022 | βt (g·mg−1) | |
| 0.92 | R2 | |
| Intraparticle diffusion | 14.953 | kid (mg·g−1·min−1/2) |
| 37.433 | I (mg·g−1) | |
| 0.79 | R2 | |
| Experimental capacity | 171.32 | qexp (mg·g−1) |
| Isotherm Models | Value | Parameters |
|---|---|---|
| Langmuir isotherm | 172.41 | qmax (mg·g−1) |
| 0.327 | b (L mg−1) | |
| 1.51 × 10−2 | RL | |
| 0.99 | R2 | |
| Freundlich isotherm | 49.52 | Kf (mg·g−1) |
| 0.241 | 1/n (mg min g−1) | |
| 0.68 | R2 | |
| D–R isotherm | 140.26 | qD (mg·g−1) |
| 0.561 | BD (Mo12 kJ−2) | |
| 0.94 | E (kJ mo1−1) | |
| 0.78 | R2 | |
| Temkin isotherm | 113.09 | bT (kJ mol−1) |
| 12.618 | KT (L g−1) | |
| 0.78 | R2 | |
| Experimental capacity | 171.32 | qexp (mg·g−1) |
| Temperature, K | 298 K | 303 K | 308 K | 313 K | 318 K | 323 K | 328 K |
|---|---|---|---|---|---|---|---|
| ∆G°, kJ·mol−1 | −4.43 | −4.40 | −4.37 | −4.35 | −4.32 | −4.29 | −4.26 |
| ∆H°, kJ mol−1 | −6.01 | ||||||
| ∆S°, kJ mol−1 K-1 | −0.53 × 10−2 | ||||||
Publisher’s Note: MDPI stays neutral with regard to jurisdictional claims in published maps and institutional affiliations. |
© 2021 by the authors. Licensee MDPI, Basel, Switzerland. This article is an open access article distributed under the terms and conditions of the Creative Commons Attribution (CC BY) license (https://creativecommons.org/licenses/by/4.0/).
Share and Cite
Sakr, A.K.; Cheira, M.F.; Hassanin, M.A.; Mira, H.I.; Mohamed, S.A.; Khandaker, M.U.; Osman, H.; Eed, E.M.; Sayyed, M.I.; Hanfi, M.Y. Adsorption of Yttrium Ions on 3-Amino-5-Hydroxypyrazole Impregnated Bleaching Clay, a Novel Sorbent Material. Appl. Sci. 2021, 11, 10320. https://doi.org/10.3390/app112110320
Sakr AK, Cheira MF, Hassanin MA, Mira HI, Mohamed SA, Khandaker MU, Osman H, Eed EM, Sayyed MI, Hanfi MY. Adsorption of Yttrium Ions on 3-Amino-5-Hydroxypyrazole Impregnated Bleaching Clay, a Novel Sorbent Material. Applied Sciences. 2021; 11(21):10320. https://doi.org/10.3390/app112110320
Chicago/Turabian StyleSakr, Ahmed K., Mohamed F. Cheira, Mohamed A. Hassanin, Hamed I. Mira, Saad A. Mohamed, Mayeen Uddin Khandaker, Hamid Osman, Emad M. Eed, M. I. Sayyed, and Mohamed Y. Hanfi. 2021. "Adsorption of Yttrium Ions on 3-Amino-5-Hydroxypyrazole Impregnated Bleaching Clay, a Novel Sorbent Material" Applied Sciences 11, no. 21: 10320. https://doi.org/10.3390/app112110320
APA StyleSakr, A. K., Cheira, M. F., Hassanin, M. A., Mira, H. I., Mohamed, S. A., Khandaker, M. U., Osman, H., Eed, E. M., Sayyed, M. I., & Hanfi, M. Y. (2021). Adsorption of Yttrium Ions on 3-Amino-5-Hydroxypyrazole Impregnated Bleaching Clay, a Novel Sorbent Material. Applied Sciences, 11(21), 10320. https://doi.org/10.3390/app112110320

