Abstract
This study is a continuation of our research on understanding the possible chemical routes to the evolution of life on earth based on the “Selective Energy Transfer” (SET) theory. This theory identifies the specific vibrational mode of the catalyst that is in energy-resonance with a suitable vibrational mode of the reactant. In this way, energy is transferred from catalyst to reactant up to the energy of activation, making possible a particular chemical outcome. Then, we extend this model to the mostly unknown and highly complex environment of the hydrothermal vents, to speculate how prebiotic chemicals, necessary for the evolution of life, could have formed. It is to the credit of the SET theory that it can reflect the slight difference in the catalytic system that gives dramatically very different chemical outcome. It is shown, here, how in model laboratory experiments, methanol gives dimethyl ether (DME) in a 100% yield with Cu exchanged montmorillonite as the catalyst, or a very different product methyl formate (MF) in lower yields, with another Cu2+ ion-exchanged clay mineral (laponite) as the catalyst system. We also show, based on standard laboratory experiments, how COS (carbonyl sulfide) with a strong absorption band at 2079 cm−1 by itself and/or catalyzed by montmorillonite with strong Si-O-Si asymmetric vibration of 1040 cm−1 can react with alpha-amino acids to form alpha-amino acid thiocarbamate (AATC), which we feel could represent the most primitive analogue to coenzyme A (CoASH), a highly versatile bio-enzyme that is vital both for the metabolism and the synthesis of biochemicals in the living system. AATC itself may have undergone evolutionary developments through billions of years to transform itself into coenzyme A (CoASH) and its acetyl ester analogue acetyl coenzyme A (ACoA).
1. Introduction
It is now widely recognized that the undersea hydrothermal vents were the putative locations where life in its most primitive form evolved. This notion is supported by the recent discovery that the earliest life forms on earth, known so far, are fossilized microorganisms [1] found in hydrothermal vent precipitates in Québec, Canada, and dating from 3.77 to 4.28 billion years old. In the beginning of a somewhat cooled early earth with a reducing atmosphere, undersea volcanos were spewing out primary gases such as H2, CO, CO2, CH4, N2, NH3, HCN, H2CO, and COS, along with rocks and minerals that deposited to form rising towers. Adsorption of the primary gases emanating from the vents on the surfaces and in the pores of the minerals such as montmorillonite, or other clay-related minerals, could provide active centers for further chemical transformations. The pores in the rocks in the minerals, such as porous montmorillonite, could provide temporary shelters for the accumulation and further catalytic transformation of the effluent primary chemicals. Thus, monomeric prebiotic chemicals such as alcohols and amino acids were formed, similar to Miller’s [2,3] historic experiment. Later on, these substances progressively underwent catalytic oligomerization. It might be that the constant supply of fresh feed chemicals from the vents made sure that the processes mentioned above were going on smoothly. Mediated by chance and necessity, they could give rise to the formation of self-replicating biomolecules such as RNA and enzymatic proteins. From that time on it was the formation of protocells that, through further evolutionary processes, could be transformed into living and functional cells that made life proliferate with all its vitality.
As is now known, life is functioning through the specialized chemistry of a limited number of elements, such as hydrogen, carbon, nitrogen, oxygen, sulfur, phosphorous, and a few transition metals and their compounds. Aside from water, the physicochemical processes of life are largely based upon five key families of chemicals: lipids (fatty cell walls), carbohydrates such as sugars and cellulose (energy source and structure elements), amino acids (protein metabolism), nucleic acids (self-replicating DNA and RNA), and some minerals. However, how the primary gases through chemical and catalytic processes over billions of years could evolve to give rise to a highly organized and immensely versatile and self-replicating living cell, will probably never be known with any degree of certainty. After Miller’s seminal experiment [2,3], great interest was generated to replicate at least some aspects of this evolutionary process in standard laboratory experiments. Therefore, for example, Christian de Duve speculated on a primitive “thioester world” [4,5] necessary for the evolution of life. We show in this and related publications [6,7] how SET theory, developed by one of us (R.L.) [8,9,10], can be a useful guide for understanding the prebiotic chemical evolution leading to the origin of life.
Earlier Studies on the Catalytic Force of Montmorillonite
The study of montmorillonite was introduced by J.P. Ferrris [11], who showed that this catalyst governed the formation of RNA oligomers, “It catalyses the formation of oligomers of RNA that contain monomer units from 2 to 30–50”. The formation of biologically significant prebiotic chemicals under standard laboratory scale experiments have been reviewed [12,13].
2. Clay Versus Gas
Now, after this exposition of the powerful ability of montmorillonite to trigger the same reactions that the COS molecule mastered, is it possible to find some physical property that is common to both systems?
The Search for a Suitable Vibration
Since the ν3 of COS (2079 cm−1) has the ability to activate the ρw(NH2) out-of-plane bending of an amino acid [9], we started to search for possible analogues in the montmorillonite system.
Table 1 gives a first attempt to find such a parallel to the ν3 of COS.
Table 1.
Stray example of the Si-O-Si asymmetric stretch. vibration in montmorillonite.
One finds that the IR data for a series of montmorillonite substances gives one common vibration with a mean value of 1040 ± 9 cm−1. It is of great interest that this frequency is very similar to the value attributed to the frequency of the catalyst that could facilitate many of the reactions treated in [10]. Even more so, twice this value, i.e., 2 × 1040 = 2080 cm−1, is very near to that of ν3 of COS (2079 cm−1). This might mean that two quanta of the montmorillonite vibration would be able to perform the same actions that one quantum of COS could do.
The vibration frequency of the montmorillonite system is attributed to the asymmetric stretch of the Si-O-Si group [19,20]. One might then ask why the catalytic ability of solids (for the reactions presently discussed) seems to dwell only in the montmorillonite structure.
Perhaps the inner surfaces of the montmorillonite layers are best fit for the purpose.
However, there are examples of both silicon-containing as well as silicon-free solids that can act as catalysts in the same or similar types of reactions [21,22]. Therefore, for example, [22] described the formation of dipeptides from amino acids, catalyzed by hydroxyapatite, Ca10(PO4)6(OH)2, whereas [21], among other things, described the infrared spectrum of hydroxyapatite.
Of greatest interest, here, is that the strongest absorption peak, in the range 400–2000 cm−1, that appears at 1038 cm−1, and which value relates to the phosphate group.
Additionally, what factors might exist that make the gas system dissimilar to the solid-phase catalysts? One such factor is obvious, i.e., the reaction temperature. Whereas the COS catalyst comes streaming from the hot atmosphere of a volcano outlet, and thus is highly activated from the start, the reactions catalyzed by montmorillonite occur at modest temperatures and each separate vibration is probably not activated to more than one or possibly two quantum numbers. Instead, there are many such separate vibrators in the montmorillonite substance that can join efforts to achieve the desired high activation of the vibration of the reactant.
Possibly, each of the vibrational parts of montmorillonite give one quantum each to the reactant receptor, until a number N has been reached. Here, N = Ea/1040, where Ea represents the activation energy (in cm−1).
3. Copper Induced Reactivity
In an interesting paper by [23], the effect on the 1040 cm−1 vibration of montmorillonite from substituting the counter-ions by Cu2+ is discussed together with some other minerals [23]. The data from this report are reproduced in Table 2 and Table 3. It is worthwhile noting that for one of the two investigated montmorillonite systems no change in vibration frequency is observed. For the other system, however, a small but significant change appears, see Table 3. Of the two observed sets of data, one gets 1037 and 1035 cm−1 somewhat decreased from the original value of 1040 cm−1. What is interesting is that the mean value of the mentioned copper-promoted vibrations is 1036 cm−1 and the methanol C-O stretching is ν4 = 1034 cm−1 (As described in Table 97 of Ref. [24]).
Table 2.
Activities and selectivity of Cu-exchanged clay catalysts (from Table 1, reference [23]).
Table 3.
Extract from Table 1 of [25] on the influence of Si-O-Si vibrations from exchange with Cu2+, only a few of the lines of the primary table are reproduced.
It was reported by [20] that when montmorillonites and other clay minerals are cation exchanged with copper (II) ions, a certain change in the catalytic response appears. Thus, when most of these species catalyze the reaction of methanol to methyl formate, at least some montmorillonites direct the reaction towards formation of dimethyl ether (DME), see Table 2. The 100% DME formation from one system of montmorillonite, as discussed above, is a strong verification of the SET model for catalysis via resonance, as 1036 and 1034 are not differing within the experimental accuracy (Table 3).
Series A means that the copper exchange was performed (using Cu(NO3)2) in an acidic environment, whereas Series B means that the copper nitrate was treated with ammonia and the resulting solution (at pH = 12) was used for the exchange.
Cheto means that the montmorillonite originated from the Clay Minerals Repository, University of Missouri-Columbia, and Miles was from Integrated Mineral Technology, Australia. Further information can be obtained from [25].
3.1. Some Results from the Copper-Exchanged Clay Minerals
3.1.1. Montmorillonite
The most striking effect is the 100% DME from the interaction of methanol and Cu-exchanged montmorillonite (Table 2 and Table 3). The close agreement between the Si-O-Si stretch at about 1036 ± 1 cm−1 of the montmorillonite (Table 3) and the 1034 cm−1 of the C-O stretch of methanol [24] is a beautiful example of SET resonance, see Figure 1 and Figure 2.
Figure 1.
Resonance between the catalyst vibration (1036 ± 1 cm−1) and the C-O stretch of methanol (1034 cm−1) [24] resulting in a repulsion of a water molecule and the formation of dimethyl ether. Note that the C-O distance is increased in the activated state. NB, all figures treated in the same way.
Figure 2.
Layer structure of montmorillonite [26] indicating that positive ions, including Cu2+, are positioned between the layers building up the solid phase. These positive ions are schematically depicted as “+” in the figure above. Because of their relatively high charge, the Cu2+ ions are attracted to neighboring oxygen atoms, especially those that form the bridge between two Si atoms: Si-O-Si. This constellation gives rise to a strong asymmetric vibration which gives rise to a strong IR radiation (at about 1040 cm−1) reaching, most probably, within or even outside the interlayer space.
3.1.2. Laponite
Considering the distribution of products in Table 2, it can be observed that two of the investigated species do not produce DME, but rather MF (methyl formate) together with a smaller amount of carbon monoxide. This observation calls for an explanation of the reaction mechanism, different from that described for the montmorillonite catalysis. Here, we concentrate our discussion on laponite as the catalyst, as this system shows a ten-fold conversion of the methanol as compared with montmorillonite.
In Table 4 we have collected data for the Si-O-Si stretching vibration of the four systems presented in Table 2. Wishfully these data should report on the effect of Cu(II) treatment. (It is, however, not always clear in the presentation of the various authors if such a treatment has been performed.)
Table 4.
Collation of vibration frequencies (cm−1) of one of the species stated in Table 2 and one of the vibrations of methanol.
In Table 4 and Figure 3 we also report on the relevant C-H vibration that will tear the methyl group to pieces if activated enough.
Figure 3.
The part to the left of the first arrow indicates how a C-H vibration at 2914 cm−1 (see Table 4) is activated by resonance with a vibration from the catalyst (970 cm−1). One notes that 2914/970 = 3.004, indicating a good possibility of energy transfer from three quanta of catalyst to one quantum of reactant. The part in the middle shows the destructive force of the 2914 cm−1 vibration, resulting in two molecules of H2 and leaving the rest of the molecule as a > C=O group.
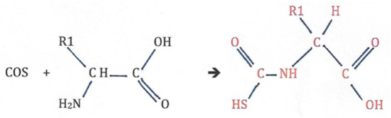
4. Solubilized COS Acting in Solution
As a compromise between the gas-formed COS, which is difficult to handle when forming part of a protocell, and the solid catalyst, montmorillonite, one might consider a reaction by COS with another substance, so that the reaction product could be dissolved in water or any other liquid. In this way the catalytic power from the sulfur atom could be stored and utilized in a proper way.
One should note that the C-S vibration is the most important part in the ν3 vibration of COS, or rather OCS, (see Figure 4 below and Tables 42 and 67 as well as Figure 61 as they are given in Ref. [24]).
Figure 4.
The N-H stretching vibration borrows energy from the COS molecule, resulting in a transfer of one H atom from the NH2 group to the S atom. This invokes a bending of the previously linear OCS molecule.
4.1. AATC (Alfa-Amino Acid Thiocarbamate)
It has been suggested by Orgel et al. [27,28,29] that alfa-amino acids might be such substances that would make it possible to restore the catalytic activity of COS in a liquid phase by forming an alfa-amino acid S-thiocarbamate, AATC, see Figure 4. In Figure 4, Figure 5 and Figure 6, the formula representing AATC is marked with red-colored atoms:
Figure 5.
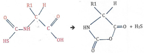
The decomposition of AATC to hydrogen sulfide and NCA.

Figure 6.
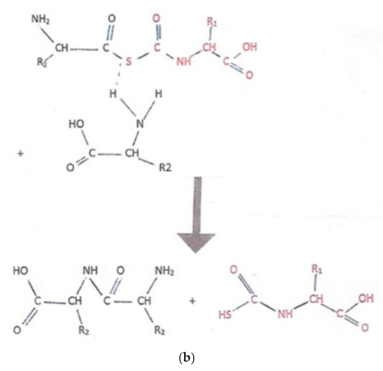
(a) Indicates the reaction between the H- atom of the SH- group of the AATC with the OH-group of the first amino acid, liberating a molecule of H2O; (b) shows that the remains of COS, now clad in the multi-atom product of reaction 4, uses what is left of its catalytic power to excite the N-H bonds in the second amino acid.
The abovementioned authors [29], however, regarded the essential catalyst to be a decomposition product of the AATC. In that substance (NCA = N-carboxyanhydride), however, the sulfur was completely lost, see Figure 5. Hence, the immense catalytic power stored in COS is gone, not supporting the interpretation of using NCA as the prime catalyst (intermediate).
In order to judge the possibilities of an alfa-amino acid to take part in such a scheme, we report, in Table 5, some data from a recent paper on the subject [30].
Table 5.
NH2 vibrations from Mohamed and Mohammed [31]. All data are in cm−1. Only a selection of the calculations by the authors is used here.
In the following, we consider a reaction between an alfa-amino acid and a molecule of carbonyl sulfide according to Figure 4: In this combination of species, we regard COS to be a reaction partner as well as a catalyst. Then, calculating the ratio between ν NH2 of the amino acid (3189 ± 69 cm−1) and ν3 of the COS molecule (2079 cm−1, [2]), we obtain 3189/2079 = 1.534 ± 0.033.
This means a ratio = 3:2, indicating that three vibrational quanta from the COS source (catalyst) are needed to activate the N-H vibration with two quanta of the NH2 vibration. Considering the relatively large experimental error in Table 5, we can state that Reaction (1) follows the conditions of SET: When 2 (or 4 or 6) ν NH2 quanta are activated, the molecule might react.
In a similar way, the other reactant (bending of COS, ν 2 = 527 cm−1, [24]) might be activated by quanta from the catalyst, its sister molecule (COS). Here, the relevant ratio is 2079/527 = 3.945, with an error of 0.055, corresponding to 1.4%. Although the two frequency values of COS used here are supposed to be “correct” [19], the difference is of the order of the errors quoted for the amino acids. Thus, we can conclude that one quantum of the 2079 cm−1 vibration corresponds to four quanta of the bending vibration of COS.
Furthermore, there might be a slight change of size between quantum nr 1 and quantum nr 4 of the COS bending vibration. Hence, we can be allowed to infer that Reaction (1) is following the basic principles of SET.
4.2. Further Reactions of AATC
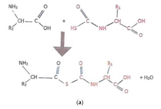
In order to test the catalytic capacity of the AATC molecule we concentrated on the condensation of two identical amino acids, which, here, we call CH(R2)NH2-COOH.
Formally this reaction is expressed as:
2CH(R2)NH2-COOH → HOOC-CH (R2)-NH-CO-CH (R2) NH2
It follows from Figure 6 that the catalytic reaction occurs in a two-step process including a simultaneous formation of a molecule of water.
As we have no IR data on the AATC compound (because of its existence in water solution) we will seek the explanation for this remaining catalytic power in other thiocarbamates. In Figure 7, we show the structure of “carbamothioic acid, butylethyl-, S-propyl ester” or “pebulate” [32,33,34], where the S-C-O group is clearly visible. In Figure 8, the infrared spectrum of this substance [34] is displayed. One notices a single, strongly absorbing band at 1678 cm−1 (read from the figure) in addition to the alkyl bands. In a SET approach, we multiply this frequency by a factor 2, resulting in 3360 cm−1. This corresponds to an asymmetric NH2 stretching vibration [31,35], indicating that the 1678 cm−1 vibration, seen in spectrum [34] is in resonance with the mentioned N-H vibration. Thus, because of the asymmetric vibration, one hydrogen atom, borrowing energy from the “pebulate” molecule, might be expelled from the incoming amino acid in reaction and can attack the C-S bond as indicated in Figure 6.
Figure 7.
The structural formula of carbamothioic acid, butylethyl-, S-propyl ester or pebulate [34].
Figure 8.
The infrared spectrum of carbamothioic acid, butylethyl-, S-propyl ester or pebulate [34].
In this way AATC is restored to its full, free shape as a proper catalyst should. Furthermore, one notes that a peptide group (CO-NH) has been formed, keeping the two amino acids together.
5. Present-Day Sulfur-Containing Coenzymes
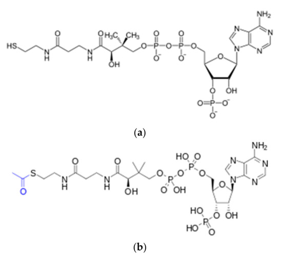
The most important compounds that have a slight similarity to AATC (Figure 3) are coenzyme A (Figure 9a) and its acetyl form (Figure 9b) which have an essential biological importance [35,36,37]. Whether the structures in Figure 9 are related to a prebiotic evolution of the AATC structure is not known with certainty.
Figure 9.
(a) Coenzyme A (CoASH); (b) acetyl coenzyme A (ACoA).
What is known [36] is that in all living organisms, CoASH is formed in a five-step reaction from cysteine (Figure 10a), pantothenate (i.e., vitamin B5 (Figure 10b)), and ATP (adenosine triphosphate (Figure 11)).
Figure 10.
The structural formula of (a) cysteine and (b) pantothenate.
Figure 11.
The structural formula of ATP.
Cysteine is one of the two naturally appearing amino acids containing sulfur, therefore, one should expect some time-related connection with AATC. However, no such relation can be detected, nor in the full-grown coenzyme A. It is of some interest to note that in the acetyl form of coenzyme A, the O-C-S structure is recreated, somewhat like the situation in AATC. This might explain the high capacity of acetyl coenzyme A as an acyl transfer agent and as catalyst in general.
6. Conclusions
Previously, the role of a solid-phase catalyst has been to present a large surface where the reactants could be adsorbed and crowding together. In this way, the reactants were supposed to influence and steer the reaction in a desirable direction. However, the SET model for catalysis [10] has shown that, for a solid-phase catalyst as well as the homogeneous, the critical parameters are the frequencies of two vibrations, the catalyst as well as reactant, acting in resonance with each other.
The observations of the present paper are in full support of this model. Especially, one notes that all the reactions treated here are of the kind that catalyst and reactant are in resonance at a specific frequency, different from one case to another. This means a kind of guidance for incoming molecules in processes of replication and complexification, alluding to the work of Addy Pross [13].
Our first objects in this study are the layered structure of the well-known mineral montmorillonite and the nearly related (but synthetic) substance of laponite [38]. What is interesting with montmorillonite is not, primarily, that it is a solid substance. The most interesting trait of montmorillonite is its light absorption/emission at about 1040 cm−1, which makes it as good a catalyst as was COS in the previous studies, where we found that the 2079 cm−1 vibration could activate many reactions where the critical vibration was 1040 cm−1. Thus, for example, montmorillonite can catalyze the formation of RNA [11].
Another interesting trait of the abovementioned compounds is their catalytic function when interacting with copper (II) ions. This interaction results in a decrease in the Si-O-Si vibration (from 1040 to about 1036 cm−1 for montmorillonite and from about 1000 to 970 cm−1 for laponite). Such a decrease caused, in the case of montmorillonite, the catalyst to transform methanol to dimethyl ether with 100% yield. In the case of laponite, a similar treatment resulted in the formation of methyl formate, together with some parts of carbon monoxide. These reactions were both in agreement with the SET model.
Furthermore, in this study, we have investigated the possibility of finding the building stones of molecules that we now know are necessary for life. We have found catalysts that can transform simple compounds of only a few atoms to larger units of a complex structure. Thus, for example, COS can catalyze the formation of all the molecules that together form the bioactive chains of RNA. COS can also combine with other molecules such as amino acids to act in a liquid state to build bioactive substances, and last but not the least, montmorillonite can act as a solid catalyst in aqueous media, to form molecules that seem to be of a life creating kind.
Since COS originates from volcanic eruptions and montmorillonite is formed from petrified lava, eroded by rainwater [11], we can state that many catalysts, shaped in nature, are related to the volcanic activity of the young planet. Now, these catalysts seem to be necessary for life, and we suggest that life as we know it has had a volcanic background. This is in perfect agreement with the considerations of Orgel et al. [30] and of M. Schirber [39,40].
Author Contributions
Conceptualization, R.L. and A.M.; literature search and evaluation, A.M.; methodology and calculations, R.L.; writing and original draft, A.M. and R.L.; data collection and evaluation, A.M.; drawings and manuscript corrections, R.L. All authors have read and agreed to the published version of the manuscript.
Funding
This research received no external funding.
Institutional Review Board Statement
Not applicable.
Informed Consent Statement
Not applicable.
Data Availability Statement
Not applicable.
Acknowledgments
The authors are grateful for the moral support for this work provided by the University of Lund and the Department of Chemical Engineering of LU. R.L. also strongly thanks his daughter, Karin Lilja, BSc, for guidance in computer use.
Conflicts of Interest
The authors declare no conflict of interest.
References
- Dodd, M.S.; Papineau, D.; Grenne, T.; Slack, J.F.; Rittner, M.; Pirajno, F.; O’Neil, J.; Little, C.T. Evidence for early life in Earth’s oldest hydrothermal vent precipitates. Nature 2017, 543, 6064. [Google Scholar] [CrossRef] [PubMed]
- Miller, S.L. A Production of Amino Acids Under Possible Primitive Earth Conditions. Science 1953, 117, 528–529. [Google Scholar] [CrossRef] [Green Version]
- Miller, S.L.; Urey, H.C. Organic Compound Synthesis on the Primitive Earth. Science 1959, 130, 245–251. [Google Scholar] [CrossRef] [PubMed]
- De Duve, C. The Beginnings of Life on Earth. Am. Sci. 1995, 83, 428–437. [Google Scholar]
- De Duve, C. Vital Dust: Life as a Cosmic Imperative; Basic Books: New York, NY, USA, 1995. [Google Scholar]
- Larsson, R.; Malek, A. The Transformation by Catalysis of Prebiotic Chemical Systems to Useful Biochemicals: A Perspective Based on IR Spectroscopy of the Primary Chemicals: I. The Synthesis of Peptides by the Condensation of Amino Acids. Appl. Sci. 2020, 10, 928. [Google Scholar] [CrossRef] [Green Version]
- Larsson, R.; Malek, A.; Odenbrand, I. The Transformation by Catalysis of Prebiotic Chemical Systems to Useful Biochemicals: A Perspective Based on IR Spectroscopy of the Primary Chemicals II. Catalysis and the Building of RNA. Appl. Sci. 2020, 10, 4712. [Google Scholar] [CrossRef]
- Larsson, R. On the Stepwise Change of the Activation Energy of Catalytic Reactions. Z. Phys. Chem. Leipz. 1987, 268, 721–732. [Google Scholar] [CrossRef]
- Larsson, R. A Model of Selective Energy Transfer at the Active Site of the Catalyst. J. Mol. Catal. 1989, 55, 70–83. [Google Scholar] [CrossRef]
- Larsson, R. Concluding remarks on the theory of selective energy transfer and exemplification on a zeolite kinetics study. Monatsh. Chem. 2012, 144, 21–28. [Google Scholar] [CrossRef]
- Ferris, J.P. Montmorillonite-catalysed formation of RNA oligomers: The possible roe of catalysis in the origins of life. Philos. Trans. R. Soc. Lond. B Biol. Sci. 2006, 361, 1777–1786. [Google Scholar] [CrossRef] [Green Version]
- Kitadai, N.; Maruyama, S. Origins of building blocks of life: A review. Geosci. Front. 2018, 9, 1117–1153. [Google Scholar] [CrossRef]
- Pross, A.; Pascal, R. The origin of life: What we know, what we can know and what we will never know. Open Biol. 2013, 3, 120190. [Google Scholar] [CrossRef] [Green Version]
- Madejová, J. FTIR techniques in clay mineral studies. Vib. Spectrosc. 2003, 31, 1–10. [Google Scholar] [CrossRef]
- Karakassides, M.A.; Gournis, D.; Petridis, D. An infrared reflectance study of Si-O vibrations in thermally treated alka-li-saturated montmorillonites. Clay Miner. 1999, 34, 429–438. [Google Scholar] [CrossRef]
- Hang, V.C.; Korovkin, M.V.; Ananyeva, I.G. Identification of clay minerals in reservoir rocks by FTIR spectroscopy. IOP Conf. Ser. Earth Environ. Sci. 2016, 43, 012004. [Google Scholar]
- Ali Fil, B.; Özmetin, C.; Korkmaz, M. Characterization of Electrokinetic Properties of Montmorillonites. Bulg. Chem. Commun. 2014, 46, 258–262. [Google Scholar]
- Madejova, J.; Bujdák, J.; Gates, W.P.; Komadel, P. Preparation and Infrared Spectroscopic Characterization of re-duced-charge Montmorilllonite with various Li-contents. Clay Miner. 1996, 31, 233–241. [Google Scholar] [CrossRef]
- Lain’e, M.; Balan, E.; Allard, T.; Paineau, E.; Jeunesse PMpstafavi, M.; Robert, J.-L.; Le Caër, S. Supporting information for “Reaction mechanism in swelling clays under Ionizing radiation: Influence of the water amount and the nature of the clay”. RSC Adv. 2017, 7, 526–534. [Google Scholar] [CrossRef] [Green Version]
- Park, E.S.; Ro, H.W.; Nguyen, C.V.; Jaffe, R.L.; Yoon, D.Y. Infrared Spectroscopy Study of Microstructures of Poly(silsesquioxane)s. Chem. Mater. 2008, 20, 1548–1554. [Google Scholar] [CrossRef]
- Popa, C.L.; Albu, M.; Bartha, C.; Costescu, A.; Luculescu, C.; Trusca, R.; Antohe, S. Structural Characterization and Optical Properties of Hydroxyapatite/Collagen Matrix. Rom. Rep. Phys. 2016, 68, 1149–1158. [Google Scholar]
- Wu, J.; Zhang, Z.; Yu, X.; Pan, H.; Jiang, W.; Xu, X.; Tang, R. Mechanism of promoted dipeptide formation on hydroxyapatite crystal surfaces. Chin. Sci. Bull. 2011, 56, 633–639. [Google Scholar] [CrossRef] [Green Version]
- Matsuda, T.; Yogo, K.; Pantawong, C.; Kikuchi, E. Catalytic properties of copper-exchanged clays for the dehydrogenation of methanol to methyl formate. Appl. Catal. A Gen. 1995, 126, 177–186. [Google Scholar] [CrossRef]
- Herzberg, G.; Crawford, B.L. Infrared and Raman Spectra of Polyatomic Molecules. J. Phys. Chem. 1946, 50, 288. [Google Scholar] [CrossRef]
- Kloprogge, J.T.; Mahmutagic, E.; Frost, R.L. Mid-Infrared and infrared emission spectroscopy of Cu-exchanged montmorillonite. J. Colloid Interface Sci. 2005, 296, 640–646. [Google Scholar] [CrossRef] [Green Version]
- Montmorillonite Stabilized Chitosan-co-Mucin Hydrogel for Tissue Engineering Applications. Available online: https://pubs.rsc.org/en/Content/ArticleLanding/2021/RA/D1RA04803A (accessed on 20 October 2021).
- Ghadiri, M.; Hau, H.; Chrzanowski, W.; Agus, H.; Rohanizadeh, R. Laponite clay as a carrier for in situ delivery of tetracycline. RSC Adv. 2013, 3, 20193–20201. [Google Scholar] [CrossRef]
- Ponce, C.P.; Kloprogge, J.T. Urea-Assisted Synthesis and Characterization of Saponite with Different Octahedral (Mg, Zn, Ni, Co) and Tetrahedral Metals (Al, Ga, B), a Review. Life 2020, 10, 168. [Google Scholar] [CrossRef]
- Larsson, R. A SET route to Ethyl Carboxylic Acid from Ethanol and Carbon Monoxide. Open J. Chem. 2020, 6, 17–20. [Google Scholar]
- Leman, L.; Orgel, L.; Ghadiri, M.R. Carbonyl Sulfide—Mediated Prebiotic Formation of Peptides. Science 2004, 306, 283–286. [Google Scholar] [CrossRef] [Green Version]
- Mohamed, M.E.; Mohammed, A.M. Experimental and Computational Vibration Study of Amino Acids. Int. Lett. Chem. Phys. Astron. 2013, 15, 1–17. [Google Scholar] [CrossRef] [Green Version]
- Bracher, P.J.; Snyder, P.W.; Bohall, B.R.; Whitesides, G.M. The relative rates of thiol–thioester exchange and hydrolysis for alkyl and aryl thioalkanoates in water. Orig. Life Evol. Biosph. 2011, 41, 399–412. [Google Scholar] [CrossRef]
- Danger, G.; Plasson, R.; Pascal, R. Pathways for the formation and evolution of peptides in prebiotic environments. Chem. Soc. Rev. 2012, 41, 5416–5429. [Google Scholar] [CrossRef] [PubMed]
- NIST Chemistry WebBook, SRD 69; Carbamothioic acid, butylethyl-, S-propyl ester’ or ‘Pebulate; Identifier 1114-71-2-inchi. Available online: https://webbook.nist.gov/cgi/inchi?ID=C1114712&Mask=80 (accessed on 20 October 2021).
- Gomez-Zavaglia, A.; Fausto, R. Low-Temperature Solid-State FTIR Study of Glycine, Sarcosine. Available online: https://pubs.rsc.org/en/content/articlelanding/2003/CP/b304888h (accessed on 20 October 2021).
- Wikipedia Coenzyme A. Available online:https://en.wikikedia.org/wiki/Coenzyme_A (accessed on 20 October 2021).
- Martinez, D.L.; Tsuchiya, Y.; Gout, I. Coenzyme A biosynthetic machinery in mammalian cells. Biochem. Soc. Trans. 2014, 42, 1112–1117. [Google Scholar] [CrossRef] [PubMed]
- Theodoulou, F.L.; Sibon, O.C.; Jackowski, S.; Gout, I. Coenzyme A and its derivatives: Renaissance of a textbook classic. Biochem. Soc. Trans. 2014, 42, 1025–1032. [Google Scholar] [CrossRef] [PubMed]
- Christidis, G.E.; Aldan, C.; Chryssikos, G.D.; Gionis, V.; Kaio, H.; Stöter, M.; Breu, J.; Robertr, J.-L. The Nature of Laponite: Pure Hectorite or a Mixture of different Trioctahedral Phases? Minerals 2018, 8, 314. [Google Scholar] [CrossRef] [Green Version]
- Schirber, M. The Volcanic Origin of Life; LiveScience.com: New York, NY, USA, 5 November 2004. [Google Scholar]
Publisher’s Note: MDPI stays neutral with regard to jurisdictional claims in published maps and institutional affiliations. |
© 2021 by the authors. Licensee MDPI, Basel, Switzerland. This article is an open access article distributed under the terms and conditions of the Creative Commons Attribution (CC BY) license (https://creativecommons.org/licenses/by/4.0/).