Enhancement of the Luminescence Properties of Eu (III) Containing Paramagnetic Saponite Clays
Abstract
:1. Introduction
2. Materials and Methods
2.1. Materials
2.1.1. Synthesis of Na–SAP Clay
2.1.2. Synthesis of Na–GdEuSAP Clay
2.1.3. Intercalation of 1,10-Phenathroline in Saponite Clays
2.2. Analytical Methods
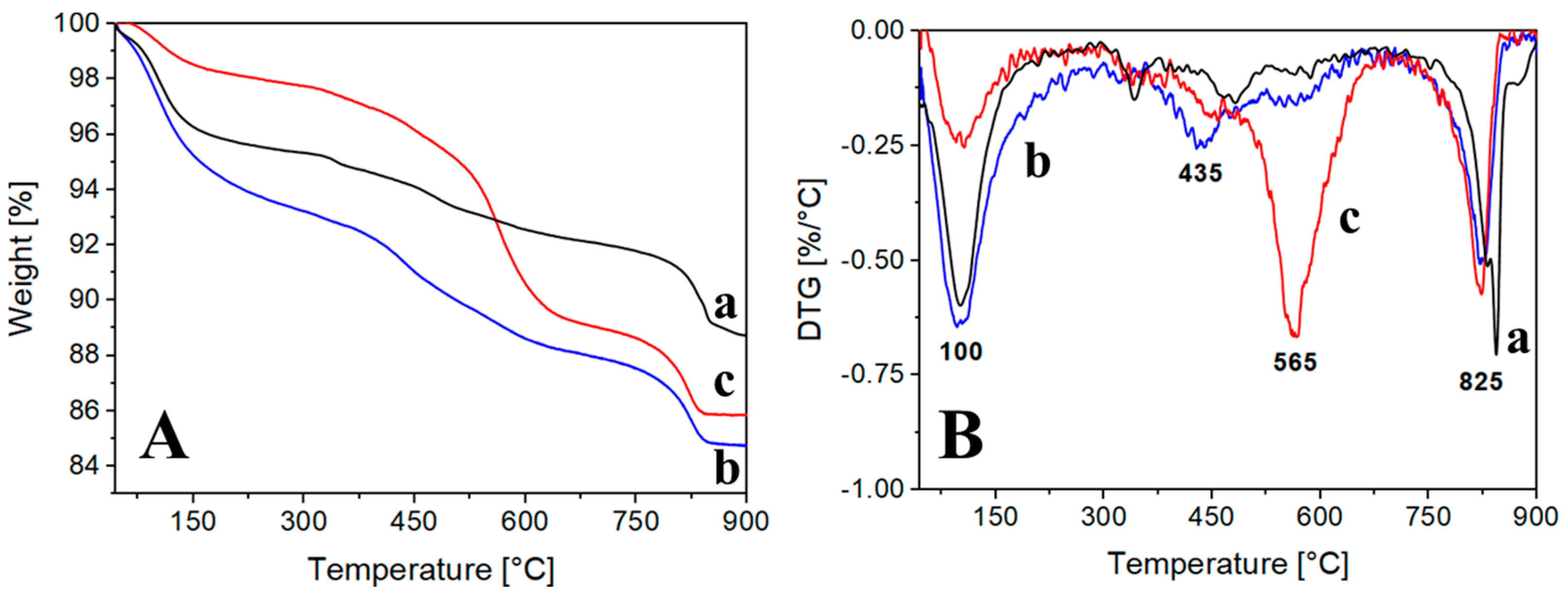
3. Results and Discussion
4. Conclusions
Supplementary Materials
Author Contributions
Funding
Institutional Review Board Statement
Informed Consent Statement
Data Availability Statement
Acknowledgments
Conflicts of Interest
References
- Balaram, V. Rare earth elements: A review of applications, occurrence, exploration, analysis, recycling, and environmental impact. Geosci. Front. 2019, 10, 1285–1303. [Google Scholar] [CrossRef]
- Liddle, S.T. International Year of the Periodic Table: Lanthanide and Actinide Chemistry. Angew. Chem. Int. Ed. 2019, 58, 5140–5141. [Google Scholar] [CrossRef] [Green Version]
- Housecroft, C.E.; Sharpe, A.G. Chapter 27—The f-block metals: Lanthanoids and actinoids. In Inorganic Chemistry, 5th ed.; Mo, X., Santosh, M., Wan, X., Eds.; Pearson Education UK: London, UK, 2018; pp. 1033–1064. [Google Scholar]
- Nicholas, H.M.; Mills, D.P. Lanthanides: Divalent Organometallic Chemistry. Encycl. Inorg. Bioinorg. Chem. 2017, 1–10. [Google Scholar] [CrossRef]
- Gompa, T.P.; Ramanathan, A.; Rice, N.T.; La Pierre, H.S. The chemical and physical properties of tetravalent lanthanides: Pr, Nd, Tb, and Dy. Dalton Trans. 2020, 49, 15945–15987. [Google Scholar] [CrossRef] [PubMed]
- Dong, H.; Du, S.-R.; Zheng, X.-Y.; Luy, G.-M.; Sun, L.-D.; Li, L.-D.; Zhang, P.-Z.; Zhang, C.; Yan, C.-H. Lanthanide Nano-particles: From Design toward Bioimaging and Therapy. Chem. Rev. 2015, 115, 10725–10815. [Google Scholar] [CrossRef] [PubMed]
- Bünzli, J.-C.G. Rising stars in science and technology: Luminescent lanthanide materials. Eur. J. Inorg. Chem. 2017, 2017, 5058–5063. [Google Scholar] [CrossRef] [Green Version]
- Hernández, W.; Laguna, O.; Centeno, M.A.; Odriozola, J.A. Structural and catalytic properties of lanthanide (La, Eu, Gd) doped ceria. J. Solid State Chem. 2011, 184, 3014–3020. [Google Scholar] [CrossRef]
- Zhu, Z.; Guo, M.; Li, X.-L.; Tang, J. Molecular magnetism of lanthanide: Advances and perspectives. Coord. Chem. Rev. 2019, 378, 350–364. [Google Scholar] [CrossRef]
- Marin, R.; Brunet, G.; Murugesu, M. Shining New Light on Multifunctional Lanthanide Single-Molecule Magnets. Angew. Chem. Int. Ed. 2021, 60, 1728–1746. [Google Scholar] [CrossRef]
- Yu, H.; Yang, J.-X.; Han, J.-Q.; Li, P.-F.; Hou, Y.-L.; Wanf, W.-M.; Fang, M. Tetranuclear lanthanide complexes showing magnetic refrigeration and single molecule magnet behaviour. New J. Chem. 2019, 43, 8067–8074. [Google Scholar] [CrossRef]
- Wahsner, J.; Gale, E.M.; Rodríguez-Rodríguez, A.; Caravan, P. Chemistry of MRI Contrast Agents: Current Challenges and New Frontiers. Chem. Rev. 2019, 119, 957–1057. [Google Scholar] [CrossRef] [PubMed]
- Carniato, F.; Tei, L.; Botta, M. Gd-Based Mesoporous Silica Nanoparticles as MRI Probes. Eur. J. Inorg. Chem. 2018, 2018, 4936–4954. [Google Scholar] [CrossRef]
- Amoroso, A.J.; Pope, J.A. Using lanthanide ions in molecular bioimaging. Chem. Soc. Rev. 2015, 44, 4273–4742. [Google Scholar] [CrossRef] [PubMed] [Green Version]
- Massari, S.; Ruberti, M. Rare earth elements as critical raw materials: Focus on international markets and future strategies. Res. Policy 2013, 38, 36–43. [Google Scholar] [CrossRef]
- Bünzli, J.-C.G.; McGill, I. Rare Earth Elements. In Ullmann’s Encyclopedia of Industrial Chemistry, 7th ed.; Wiley-VCH Verlag 419 GmbH & Co. KGaA: Weinheim, Germany, 2018; pp. 1–53. [Google Scholar]
- Balzani, V.; Ceroni, P.; Juris, A. Photochemistry and Photophysics: Concepts, Research, Applications; Wiley-VCH Verlag GmbH & Co. KGaA: Weinheim, Germany, 2014. [Google Scholar]
- Utochnikova, V.V. The use of luminescent spectroscopy to obtain information about the composition and the structure of lanthanide coordination compounds. Coord. Chem. Rev. 2019, 398, 113006. [Google Scholar] [CrossRef]
- Bünzli, J.-C.G.; Pecharsky, V.K. Handbook on the Physics and Chemistry of Rare Earths, 1st ed.; Elsevier: Amsterdam, The Netherlands, 2021. [Google Scholar]
- Bünzli, J.-C.G. Lanthanide Photonics: Shaping the Nanoworld. Trends Chem. 2019, 1, 751–762. [Google Scholar] [CrossRef]
- Ning, Y.; Zhu, M.; Zhang, J.-L. Near-infrared (NIR) lanthanide molecular probes for bioimaging and biosensing. Coord. Chem. Rev. 2019, 399, 213028. [Google Scholar] [CrossRef]
- Zhou, J.; Liu, Q.; Feng, W.; Sun, Y.; Li, F. Upconversion Luminescent Materials: Advances and Applications. Chem. Rev. 2015, 115, 395–465. [Google Scholar] [CrossRef]
- Cui, Y.; Chen, B.; Qian, G. Lanthanide metal-organic frameworks light-emitting for luminescent sensing and applications. Coordin. Chem. Rev. 2014, 273–274, 76–86. [Google Scholar] [CrossRef]
- Bünzli, J.-C.G. On the design of highly luminescent lanthanide complexes. Coord. Chem. Rev. 2015, 293–294, 19–47. [Google Scholar] [CrossRef]
- Binnemans, K. Lanthanide-Based Luminescent Hybrid Materials. Chem. Rev. 2009, 109, 4283–4374. [Google Scholar] [CrossRef] [Green Version]
- Feng, J.; Zhang, H. Hybrid materials based on lanthanide organic complexes: A review. Chem. Soc. Rev. 2013, 42, 387–410. [Google Scholar] [CrossRef]
- Brites, C.D.S.; Balabhadra, S.; Carlos, L.D. Lanthanide-Based Thermometers: At the Cutting-Edge of Luminescence Ther-mometry. Adv. Optical Mater 1002, 7. [Google Scholar]
- Hehlen, M.P.; Sheik-Bahae, M.; Epstein, R.I. Solid-state Optical Refrigeration. In Handbook on the Physics and Chemistry of Rare Earths; Bünzli, J.-C.G., Pecharsky, V.K., Eds.; Elsevier Science B. V.: Amsterdam, The Netherlands, 2014; Volume 45, pp. 179–260. [Google Scholar]
- Aguila, D.; Roubeau, O.; Aromi, G. Designed Polynuclear Lanthanide Complexes for Quantum Information Processing. Dalton Trans. 2021. accepted manuscript (August 2021). [Google Scholar] [CrossRef]
- Zhang, H.; Chen, Z.-H.; Liu, X.; Zhang, F. A mini-review on recent progress of new sensitizers for luminescence of lanthanide doped nanomaterials. Nano Res. 2020, 13, 1795–1809. [Google Scholar] [CrossRef]
- Mikhalyova, E.A.; Pavlishchuk, V.V. Modern approaches to the tuning of the lanthanide(3+) coordination compound lumi-nescent characteristics: A review. Theor. Exp. Chem. 2019, 55, 293–315. [Google Scholar] [CrossRef]
- Carrasco, I.; Piccinelli, F.; Bettinelli, M. Luminescence of Tb-based materials doped with Eu3+: Case studies for energy transfer processes. J. Lumin. 2017, 189, 71–77. [Google Scholar] [CrossRef]
- Jaiswal, S.R.; Nagpure, P.A.; Omanwar, S.K. Improvement of quantum efficiency through Gd 3+ to Eu 3+ energy transfer in YF 3 phosphor. Luminescence 2021, 36, 1395–1401. [Google Scholar] [CrossRef]
- D’Aléo, A.; Pointillart, F.; Ouahab, L.; Andraud, C.; Maury, O. Charge transfer excited states sensitization of lanthanide emitting from the visible to the near-infra-red. Coord. Chem. Rev. 2012, 256, 1604–1620. [Google Scholar] [CrossRef]
- Joos, J.J.; Neefjes, I.; Sejio, L.; Barandiaran, Z. Charge transfer from Eu2+ to trivalent lanthanide co-dopants: Systematic be-haviour across the series. J. Chem. Phys. 2021, 154, 064704. [Google Scholar] [CrossRef]
- Sapsford, K.E.; Berti, L.; Medintz, I.L. Materials for Fluorescence Resonance Energy Transfer Analysis: Beyond Traditional Donor–Acceptor Combinations. Angew. Chem. Int. Ed. 2006, 45, 4562–4589. [Google Scholar] [CrossRef]
- Wei, C.; Ma, L.; Wei, H.; Liu, Z.; Bian, Z.; Huang, C. Advances in luminescent lanthanide complexes and applications. Sci. China Ser. E Technol. Sci. 2018, 61, 1265–1285. [Google Scholar] [CrossRef]
- Liu, L.; Lu, H.; Wang, H.; Bei, Y.; Feng, S. Luminescent organo-polysiloxanes containing complexed lanthanide ions. Appl. Organomet. Chem. 2009, 23, 429–433. [Google Scholar] [CrossRef]
- Carniato, F.; Gatti, G.; Bisio, C. An overview of the recent synthesis and functionalization methods of saponite clay. New J. Chem. 2020, 44, 9969–9980. [Google Scholar] [CrossRef]
- Marchesi, S.; Carniato, F.; Guidotti, M.; Botta, M.; Marchese, L.; Bisio, C. Synthetic saponite clays as promising solids for lan-thanide ion recovery. New J. Chem. 2020, 44, 10033–10041. [Google Scholar] [CrossRef]
- Marchesi, S.; Carniato, F.; Bisio, C.; Tei, L.; Marchese, L.; Botta, M. Novel paramagnetic clays obtained through intercalation of Gd3+-complexes. Dalton Trans. 2018, 47, 7896–7904. [Google Scholar] [CrossRef]
- Lalli, D.; Marchesi, S.; Carniato, F.; Bisio, C.; Tei, L.; Marchese, L.; Botta, M. Combination of solid-state NMR and 1H NMR relaxometry for the study of intercalated saponite clays with the macrocyclic derivatives of Gd(iii) and Y(iii). Dalton Trans. 2020, 49, 6566–6571. [Google Scholar] [CrossRef]
- Marchesi, S.; Guidotti, M.; Marchese, L.; Evangelisti, C.; Carniato, F.; Bisio, C. Bifunctional europium(III) and niobi-um(V)-containing Saponite Clays for the Simultaneous Optical Detection and Catalytic Oxidative Abatement of Blister Chemical Warfare Agents. Chem.-Eur. J. 2021, 27, 4723–4730. [Google Scholar] [CrossRef]
- Marchesi, S.; Bisio, C.; Carniato, F. Novel light-emitting clays with structural Tb3+ and Eu3+ for chromate anion detection. RSC Adv. 2020, 10, 29765–29771. [Google Scholar] [CrossRef]
- Marchesi, S.; Bisio, C.; Lalli, D.; Marchese, L.; Platas-Iglesias, C.; Carniato, F. Bifunctional Paramagnetic and Luminescent Clays Obtained by Incorporation of Gd3+ and Eu3+ Ions in the Saponite Framework. Inorg. Chem. 2021, 60, 10749–10756. [Google Scholar] [CrossRef]
- Guo, X.; Fu, L.; Zhang, H.; Carlos, L.D.; Peng, C.; Guo, J.; Yu, J.; Deng, R.; Sun, L. Incorporation of luminescent lanthanide complex inside the channels of organically modified mesoporous silica via template-ion exchange method. New J. Chem. 2005, 29, 1351–1358. [Google Scholar] [CrossRef]
- Maouche, R.; Belaid, S.; Benmerad, B.; Bouacida, S.; Daiguebonne, C.; Suffren, Y.; Freslon, S.; Bernot, K.; Guillou, O. Highly Luminescent Europium-Based Heteroleptic Coordination Polymers with Phenantroline and Glutarate Ligands. Inorg. Chem. 2021, 60, 3707–3718. [Google Scholar] [CrossRef] [PubMed]
- Liu, J.; Sun, W.; Liu, Z. White-light emitting materials with tunable luminescence based on steady Eu(iii) doping of Tb(iii) metal–organic frameworks. RSC Adv. 2016, 6, 25689–25694. [Google Scholar] [CrossRef]
- Liu, X.; Hu, Y.; Wang, B.; Su, Z. Synthesis and fluorescent properties of europium–polymer complexes containing 1,10-phenanthroline. Synth. Met. 2009, 159, 1557–1562. [Google Scholar] [CrossRef]
- Andrews, D.L. Mechanistic principles and applications of resonance energy transfer. Can. J. Chem. 2008, 86, 855–870. [Google Scholar] [CrossRef] [Green Version]
- Teng, Q.; Huynh, H.V. A unified ligand electronic parameter based on 13C NMR spectroscopy of N-heterocyclic carbene complexes. Dalton Trans. 2016, 46, 614–627. [Google Scholar] [CrossRef] [PubMed]
- Binnemans, K. Interpretation of europium(III) spectra. Coord. Chem. Rev. 2015, 295, 1–45. [Google Scholar] [CrossRef] [Green Version]
- Wegh, R.; Meijerinkx, A. First Observation of Visible Luminescence from Trivalent Gadolinium. Acta Phys. Pol. A 1996, 90, 333–337. [Google Scholar] [CrossRef]
- Zhang, P.; Wang, Y.; Liu, H.; Chen, Y. Preparation and luminescence of europium(iii) terpyridine complex-bridged pol-ysilsesquioxanes. J. Mater. Chem. 2011, 21, 18462–18466. [Google Scholar] [CrossRef]
- Tang, S.; Babai, A.; Mudring, A.-V. Europium-Based Ionic Liquids as Luminescent Soft Materials. Angew. Chem. Int. Ed. 2008, 47, 7631–7634. [Google Scholar] [CrossRef]
- Marchesi, S.; Carniato, F.; Boccaleri, E. Synthesis and characterisation of a novel europium(iii)-containing heptaisobutyl-POSS. New J. Chem. 2014, 38, 2480–2485. [Google Scholar] [CrossRef]
- Marchesi, S.; Carniato, F.; Marchese, L.; Boccaleri, E. Luminescent Mesoporous Silica Built through Self-Assembly of Polyhedral Oligomeric Silsesquioxane and Europium(III) Ions. ChemPlusChem 2015, 80, 915–918. [Google Scholar] [CrossRef] [PubMed]
- Marchesi, S.; Bisio, C.; Boccaleri, E.; Carniato, F. A Luminescent Polysilsesquioxane Obtained by Self-Condensation of Anionic Polyhedral Oligomeric Silsequioxanes (POSS) and Europium(III) Ions. ChemPlusChem 2020, 85, 176–182. [Google Scholar] [CrossRef]
- Sahu, I.P.; Bisen, D.; Tamrakar, R.K.; Murthy, K.; Mohapatra, M. Luminescence studies on the europium doped strontium metasilicate phosphor prepared by solid state reaction method. J. Sci. Adv. Mater. Devices 2017, 2, 59–68. [Google Scholar] [CrossRef]
- Cucinotta, F.; Carniato, F.; Devaux, A.; De Cola, L.; Marchese, L. Efficient Photoinduced Energy Transfer in a Newly Devel-oped Hybrid SBA-15 Photonic Antenna. Chem. Eur. J. 2012, 18, 15310–15315. [Google Scholar] [CrossRef]
- Olivero, F.; Carniato, F.; Bisio, C.; Marchese, L. Promotion of Förster Resonance Energy Transfer in a Saponite Clay Containing Luminescent Polyhedral Oligomeric Silsesquioxane and Rhodamine Dye. Chem.-Asian J. 2014, 9, 158–165. [Google Scholar] [CrossRef]
- Aime, S.; Botta, M.; Terreno, E. Gd(III)-BASED CONTRAST AGENTS FOR MRI. Insights Imaging Bioinorg. Chem. 2005, 57, 173–237. [Google Scholar] [CrossRef]
- Hermann, P.; Kotek, J.; Kubicek, V.; Lukes, I. Gadolinium(iii) complexes as MRI contrast agents: Ligand design and properties of the complexes. Dalton Trans. 2008, 21, 3027–3047. [Google Scholar] [CrossRef] [PubMed]





| Sample | Phen Content [mmol/g] |
|---|---|
| Phen–GdEuSAP_1 | 0.29 |
| Phen–GdEuSAP_2 | 0.50 |
| Sample | 1 | 2 |
|---|---|---|
| τD [ns] | 3.82 | 4.28 |
| τDA [ns] | 3.41 | 3.37 |
| kEnT [s−1] | 3.15 × 107 | 6.31 × 107 |
| EEnT [%] | 10.73 | 21.26 |
Publisher’s Note: MDPI stays neutral with regard to jurisdictional claims in published maps and institutional affiliations. |
© 2021 by the authors. Licensee MDPI, Basel, Switzerland. This article is an open access article distributed under the terms and conditions of the Creative Commons Attribution (CC BY) license (https://creativecommons.org/licenses/by/4.0/).
Share and Cite
Marchesi, S.; Bisio, C.; Carniato, F. Enhancement of the Luminescence Properties of Eu (III) Containing Paramagnetic Saponite Clays. Appl. Sci. 2021, 11, 8903. https://doi.org/10.3390/app11198903
Marchesi S, Bisio C, Carniato F. Enhancement of the Luminescence Properties of Eu (III) Containing Paramagnetic Saponite Clays. Applied Sciences. 2021; 11(19):8903. https://doi.org/10.3390/app11198903
Chicago/Turabian StyleMarchesi, Stefano, Chiara Bisio, and Fabio Carniato. 2021. "Enhancement of the Luminescence Properties of Eu (III) Containing Paramagnetic Saponite Clays" Applied Sciences 11, no. 19: 8903. https://doi.org/10.3390/app11198903
APA StyleMarchesi, S., Bisio, C., & Carniato, F. (2021). Enhancement of the Luminescence Properties of Eu (III) Containing Paramagnetic Saponite Clays. Applied Sciences, 11(19), 8903. https://doi.org/10.3390/app11198903
