Abstract
The reaction of 2-(1-(2-(2-(4-methoxybenzylidene)hydrazinyl)-4-methylthiazol-5-yl)ethylidene)hydrazinecarbothioamide with a range of hydrazonoyl chlorides and α-halo-compounds yielded three new series of thiazole derivatives. Chemical and physical techniques were used to analyze all newly prepared derivatives (1H-NMR, 13C-NMR, FT-IR and mass spectrometry). The potential antimicrobial and anticancer properties of the synthesized derivatives were investigated using various in vitro biological experiments. Most of the thiazole compounds tested were effective against Gram-positive and Gram-negative bacteria. In addition, a minimum inhibition concentration was determined for the antibiotic properties of the most active produced substances. The cytotoxic activities were tested on HepG-2 (liver carcinoma), HCT-116 (colorectal carcinoma) and MDA-MB-231 (breast carcinoma) cell lines in comparison with cisplatin reference drug and using colorimetric MTT assay. The results detected that compound 10c was the most potent against the three tested cell lines. Interestingly, when the tested compounds were evaluated for their toxicity against normal (MRC-5) cells, they exhibited low toxic effects indicating the safe use of most of them that may require further in vivo and pharmacological studies.
  1. Introduction
Cancer continues to be one of the world’s major death causes. The current anticancer medication therapy is insufficient due to its lack of selectivity and target specificity, in addition to the presence of resistance and toxicity []. In order to combat the rapid development of medication resistance, antimicrobial drug researchers are currently concentrating on discovering new targets and chemical entities with antibacterial activity. Given the foregoing, there is a pressing need for ongoing advancement in the design and development of antimicrobial and anticancer medicines.
Several studies have been carried out with plenty of thiazoles towards different pathologies due to their numerous biological activities, including antimicrobial [,,,], cytotoxic [,,,,,,,,,,], antiviral [], anti-HIV [], as antimicrobial [] and analgesic []. Moreover, thiazole derivatives are among the most employed scaffolds in designing and identifying new lead compounds, notably anticancer drugs [,,,,]. In addition, thiazole-containing compounds have marked their appearance in several clinically available anticancer drugs, such as ixabepilone [], dabrafenib [] and dasatinib [] (Figure 1).
 
      
    
    Figure 1.
      Examples of anticancer drugs bearing thiazole derivatives.
  
On the other hand, thiosemicarbazones are a wide group of compounds, representing great medical benefits against microbial diseases [] and parasite diseases [,]. They have also been identified as one of the most interesting inhibitors of antitumor [,].
The use of current cancer therapy leads to decreasing immunity that makes the human body ready to fight any microbial infections. Thus, in this study, these heterocyclic systems could be applied to treat tumor and bacterial diseases.
The thiazoles mentioned above and bis-thiazoles biological activities, as well as our experience in the synthesis of new series of bioactive heterocyclic compounds [,,,,,,,,,,,] promoted us to synthesize some novel thiazolyl hydrazono thiazole derivatives from inexpensive laboratory available starting materials such as thiosemicarbazone derivative 3 to be examined as anticancer and antimicrobial agents.
2. Results and Discussion
2.1. Chemistry
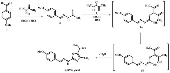
According to literature [], the thiosemicarbazone derivative 3 (obtained from the reaction of p-anisaldehyde 1 with thiosemicarbazide 2) reacts with α-chloro-acetylacetone 4 in refluxing ethanol to afford the acetylthiazole derivative 6. The reaction presumably occurred via the elimination of HCl to afford the intermediate 5A who tautomerisms into 5B, which in role, undergoes cyclization via the elimination of water (Scheme 1).
 
      
    
    Scheme 1.
      Synthesis of the thiosemicarbazone derivative 3 and the thiazole derivative 6.
  
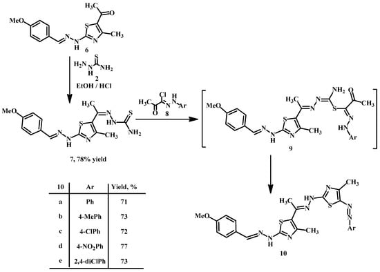
The acetylthiazole 6 was allowed to condense with 2 to afford the thiosemicarbazone derivative 7 Scheme 2). The IR spectrum of 7 revealed absorption band at vmax = 3402, 3271 and 3201 cm−1 attributable to NH2 and NH functions, 3055 and 2954 cm−1 due to aromatic and aliphatic C-H. The 1H NMR spectrum of 7 demonstrated two methyl singlets at δ = 1.81 and 2.50 ppm, while the methoxy singlet appeared at δ = 3.80 ppm, the amino protons at δ = 7.75 ppm and two broad amino protons at δ = 11.30 and 11.95 ppm, beside the other olefinic and aromatic proton signals at their expected positions (cf. experimental).
 
      
    
    Scheme 2.
      Synthesis of thiazolylhydrazonothiazoles 10a–e.
  
Compound 7 reacted with the hydrazonoyl chloride derivatives 8a–e to yield the ethylidene hydrazine bis-thiazole derivatives 10a–e (presumably via the intermediates 9a–e), respectively.
To explore the synthetic potentialities of compound 7 and to synthesize another series of bis-thiazoles, it was allowed to react with ethyl hydrazonoyl chloride ester derivatives 11a–e to afford the ethylidene hydrazine bis-thiazole derivatives 13a–e [presumably via the intermediates 12a–e], respectively (Scheme 3). Spectra of IR and 1H NMR, as well as elemental analysis, are all in full and accord with the depicted structures 10a–e and 13a–e (cf. experimental).
 
      
    
    Scheme 3.
      Synthesis of thiazolylhydrazonothiazoles 13a–e.
  
Likewise, compound 7 reacted with α-chloro acetylacetone 4, phenacyl bromide 15, ethyl chloroacetate 17 and dimethyl acetylene dicarboxylate 19 to afford the ethylidene hydrazine bis-thiazole derivatives 14, 16, 18 and 20, respectively (Scheme 4). Spectral and elemental content analyses are consistent with the proposed structures 14, 16, 18 and 20 (cf. experimental).
 
      
    
    Scheme 4.
      Synthesis of the thiazolylhydrazonothiazole derivatives 14, 16, 18 and 20.
  
The geometry of all synthesized compounds 3, 6, 7, 10, 13, 14, 16, 18 and 20 are in E-configuration [].
2.2. Biological Activities of the Selected Compounds
2.2.1. Antimicrobial Evaluation
Using the agar well diffusion method, the in vitro antimicrobial activity of the newly prepared derivatives was investigated against Staphylococcus aureus and Bacillus subtilis (Gram-positive bacteria), Escherichia coli and Proteus vulgaris (Gram-negative bacteria) as well as Aspergillus fumigatus and Candida albicans (fungal strains). The results of antimicrobial activity displayed variable in vitro antibacterial and antifungal activities (Table 1). However, compounds 10c, 10d and 13d have no antimicrobial activities (Table 1). 
 
       
    
    Table 1.
    The in vitro antimicrobial results of the newly synthesized products at 10 mM expressed as inhibition zone diameter (mm) in the form of mean ± standard error.
  
In addition, to identify the minimum inhibitory concentration (MIC), the antimicrobial activities of the most active compounds were tested (Table 2).
 
       
    
    Table 2.
    MIC of the newly synthesized products against the tested bacteria and fungi *.
  
The antifungal activity against the filamentous fungus Aspergillus fumigatus was in the following order: 7, 6, 10b, 20, 13c and 13a, respectively. 
On the other hand, the activity order against Candida albicans “pathogenic yeast” was 10b, 20, 7, 13c, 13a, 6 and 16, respectively (Table 1 and Table 2). Thus, compared to the ketoconazole reference antifungal drug, these compounds showed lower activity against Aspergillus fumigatus and Candida albicans.
Compound 13c showed the highest activity against Staphylococcus aureus (but showing activity lower than the standard drug ciprofloxacin) followed by compounds 13a, 6, 16, 7, 10b and 20, respectively. Likewise, compound 13c exhibited the highest activity against Bacillus subtilis followed by compounds 7, 10b, 21, 13a, 6, 16, 10e and 10d, respectively. Additionally, compound 7 showed the highest activity against Proteus vulgaris than the standard drug, followed by compounds 6, 16, 13c, 10b, 13a, 10e and 20, respectively. The activity order against Escherichia coli was 13c, 10e, 7, 16, 20, 6, 10b and 13a, respectively, and showed lower sensitivity than the tested standard drugs (Table 1 and Table 2). 
2.2.2. Cytotoxic Activity
The in vitro growth inhibitory activity of the prepared products was examined versus the liver carcinoma cell line (HepG2), the colon carcinoma cell line (HCT-116) and the breast carcinoma cell line (MDA-MB-231) using colorimetric MTT assay compared to the cisplatin anticancer reference drug. A dose–response curve was plotted from data generated, and IC50 was determined (the test compounds concentration needed to kill 1⁄2 of cell population) (Figure 2). The average IC50 of three independent studies was used to calculate cytotoxic activity. Generally, the results in Table 3 and Figure 2 revealed that all the tested compounds have different inhibitory activity in a concentration-dependent manner. However, compounds 6, 13e, 16, 20 and 13c were less active than counterparts with a lower tendency to inhibit the three carcinoma cell lines. Interestingly, the presented results revealed that compounds 10c, 7 and 10e were the most active against the HepG2 giving potent IC50 values of 20.95, 30.6 and 38.84 μM, respectively, but still less active than cisplatin reference drug (8.63 μM). On the other hand, compounds 10c, 10e and 7 were the most active against the MDA-MB-231 giving a good IC50 value of 44.69, 57.78 and 64.08 μM, compared with the standard drug (cisplatin) with an IC50 value of 11.83 μM. Moreover, the highest inhibitory activity value against the HCT-116 was reported for compound 10c (IC50:25.37 μM) followed by 7, 10e, 13d, 10b, 13a, 10d, 13c, 20, 16, 13e and 6, respectively. Similarly, the order of activity against the HepG2 was 10c, 7, 10e, 10b, 13d, 10d, 13a, 13c, 20, 16, 13e and 6, respectively. However, the activity order against MDA-MB-231 was 10c, 7, 10e, 10b, 10d, 13d, 13a, 13c, 20, 16, 13e and 6, respectively (Table 3). 
 
      
    
    Figure 2.
      The in vitro inhibitory activity of the prepared compounds as a dose–response curve against (A) HepG2; (B) HCT-116; (C) MDA-MB-231.
  
 
       
    
    Table 3.
    The inhibitory activities of the examined compounds against different carcinoma cell lines (as IC50 values).
  
The effects of the examined compounds and cisplatin standard drug were also measured on normal human lung fibroblast (MRC-5) cell line to produce a dose–response curve and to calculate the fifty percent cytotoxic concentration (CC50) as indicated in Table 4. 
 
       
    
    Table 4.
    The efficiency and selectivity indices of the investigated derivatives.
  
By dividing the CC50 by the IC50 values, the selectivity index (SI) was calculated. Our results showed that most of the derivatives presented good selectivity index values more potent than cisplatin anticancer drug. When the tested compounds were evaluated for their toxicity against normal cells, they exhibited low toxic effects indicating the safe use of most of them that may require further in vivo and pharmacological studies.
3. Experimental Section
3.1. Synthesis
Synthesis of 1-{2-[N’-(4-methoxybenzylidene)-hydrazino]-4-methylthiazol-5-yl}-ethanone 6:
Compound 6 was prepared as described in the literature method: m.p. 214–216 °C (Lit. m.p. 214–215 °C) [].
Synthesis of hydrazinecarbothioamide derivative 7:
A catalytic amounts of HCl (two drops, 37%) was added to a mixture of acetylthiazole derivative 6 (2.89 g, 10 mmol), thiosemicarbazide 2 (0.91 g, 10 mmol) in EtOH (20 mL). The mixture was refluxed for 2 h (followed with TLC). The formed product was isolated by filtration and recrystallized from dioxane to give pure product thiosemicarbazone product 7 as white microcrystals, 78% yield; m.p. 210–212 °C; δH: 1.81 (s, 3H, CH3), 2.50 (s, 3H, CH3), 3.80 (s, 3H, OCH3), 7.05 (d, 2H, J = 12 Hz, Ar-H), 7.75 (s, 2H, NH2), 7.83 (d, 2H, J = 12 Hz, Ar-H), 7.98 (s, 1H, N=CH), 11.30 (br s, 1H, NH), 11.95 (br s, 1H, NH) ppm; IR (KBr): v 3402, 3271, 3201, (NH2 and 2NH), 3055 2954 (C-H), 1604, 11438, 1273, 1063, 1030 cm−1; MS m/z (%): 362 (M+), 281, 163, 106, 91 (100), 78, 63. Anal. Calcd for C15H18N6OS2 (362.47): C, 49.70; H, 5.01; N, 23.19. Found: C, 49.54; H, 5.00; N, 23.03%. 
Synthesis of thiazole derivatives 10a–e and 13a–e:
A catalytic amount of TEA (0.07 mL, 1mmol) was added to a mixture of the appropriate hydrazonoyl chlorides 8a–e or 11a–e (1 mmol) and compound 7 (0.362 g, 1 mmol) in dioxane (20 mL). The formed mixture was refluxed for 2–5 h (followed by TLC). The formed product was isolated by filtration and recrystallized from ethanol to give pure 10a–e and 13a–e. The analytical data of the products 10a–e and 13a–e are depicted as shown below:
Compound 10a:
Orange solid, 71% yield; m.p. 181–183 °C; δH (DMSO-d6): 1.89, 2.36, 2.49 (3s, 9H, 3CH3), 3.82 (s, 3H, OCH3), 6.97–7.68 (m, 9H, Ar-H), 8.05 (s, 1H, N=CH), 10.55, 11.05 (2brs, 3H, 2NH) ppm; δC (DMSO-d6): 9.0, 14.4, 26.8 (CH3), 58.3 (OCH3), 112.1, 114.5, 116.0, 122.8, 127.5, 130.0, 130.6, 131.4, 133.7, 138.2, 145.2, 147.3, 154.2, 159.5, 162.1, 165.7 (Ar-C or C=N) ppm; IR (KBr): v 3433, 3240 (2NH), 3046, 2924 (C-H) cm−1; MS m/z (%): 504 (M+), 412, 335, 250 (100), 173, 141, 91, 77, 63, 55. Anal. Calcd for C24H24N8OS2 (504.63): C, 57.12; H, 4.79; N, 22.21. Found: C, 57.01; H, 4.58; N, 22.05%. 
Compound 10b:
Orange solid, 73% yield; m.p. 211–213 °C; δH (DMSO-d6): 1.89, 2.25, 2.54, 2.57 (4s, 12H, 4CH3), 3.80 (s, 3H, OCH3), 7.03–7.73 (m, 8H, Ar-H), 8.19 (s, 1H, N=CH), 10.63, 10.97 (2brs, 2H, 2NH) ppm; “a 13C NMR spectrum could not be obtained due to insolubility; IR (KBr): v 3433, 3218 (2NH), 3037, 2931 (C-H), 1605, 1504, 1242, 1165, 1026 (C-H), 1496, 1242, 1172, 1026 cm−1; MS m/z (%): 518 (M+), 490, 343, 287, 204, 134, 106, 91 (100), 77, 65, 55. Anal. Calcd for C25H26N8OS2 (518.66): C, 57.89; H, 5.05; N, 21.60. Found: C, 57.98; H, 5.18; N, 21.48%. 
Compound 10c:
Red solid, 72% yield; m.p. 198–200 °C; δH (DMSO-d6): 1.89, 2.48, 2.55 (3s, 9H, 3CH3), 3.81 (s, 3H, OCH3), 7.0–8.09 (m, 8H, Ar-H), 8.17 (s, 1H, N=CH), 10.63, 10.96 (2brs, 2H, 2NH) ppm; δC (DMSO-d6): 9.0, 14.4, 26.4 (CH3), 58.4 (OCH3), 116.9, 117.0, 121.3, 122.6, 126.4, 126.5, 126.7, 133.9, 134.2, 137.3, 137.4, 138.5, 138.7, 145.2, 158.8, 161.2 (Ar-C or C=N) ppm; IR (KBr): v 3433, 3217 (2NH), 3070, 2924 (C-H), 1604, 1496, 1242, 1165, 1095 cm−1; MS m/z (%): 539 (M+), 363, 287, 153, 127, 111 (100), 91, 71, 55. Anal. Calcd for C24H23ClN8OS2 (539.08): C, 53.47; H, 4.30; N, 20.79. Found: C, 53.29; H, 4.17; N, 20.55%. 
Compound 10d:
Brown solid, 77% yield; m.p. 236–238 °C; δH (DMSO-d6): 1.88, 2.49, 2.61 (3s, 9H, 3CH3), 3.82 (s, 3H, OCH3), 6.99–8.16 (m, 8H, Ar-H), 8.18 (s, 1H, N=CH), 10.99, 11.02 (2brs, 2H, 2NH) ppm; “a 13C NMR spectrum could not be obtained due to insolubility; IR (KBr): v 3433, 3224 (2NH), 3029, 2939 (C-H), 1609 (C=N), 1496, 1319, 1249, 1103, 1026 cm−1; MS m/z (%): 549 (M+), 519, 374, 288, 207, 133, 108, 65 (100), 55. Anal. Calcd for C24H23N9O3S2 (549.63): C, 52.45; H, 4.22; N, 22.94. Found: C, 52.61; H, 4.06; N, 22.72%. 
Compound 10e:
Dark red solid, 73% yield; m.p. 209–211 °C; δH (DMSO-d6): 1.91, 2.51, 2.63 (3s, 9H, 3CH3), 3.83 (s, 3H, OCH3), 7.00–7.71 (m, 7H, Ar-H), 8.07 (s, 1H, N=CH), 9.64, 11.90 (2brs, 2H, 2NH) ppm; “a 13C NMR spectrum could not be obtained due to insolubility; IR (KBr): v 3433, 3155 (2NH), 3043, 2916 (2NH),1608 (C=N), 1504, 1242, 1140, 1018 cm−1; MS m/z (%): 573 (M+), 397, 287, 161 (100), 153, 134, 112, 90, 77, 63. Anal. Calcd for C24H22Cl2N8OS2 (573.52): C, 50.26; H, 3.87; N, 19.54. Found: C, 50.14; H, 3.80; N, 19.33%. 
Compound 13a:
Yellow solid, 68% yield; m.p. 205–207 °C; δH (DMSO-d6): 2.34, 2.45 (2s, 6H, 2CH3), 3.82 (s, 3H, OCH3), 7.03–7.99 (m, 9H, Ar-H), 8.07 (s, 1H, N=CH), 9.65, 10.55, 12.11(3brs, 3H, 3NH) ppm; δC (DMSO-d6): 9.0, 14.5 (CH3), 58.1 (OCH3), 115.0, 117.5, 119.8, 123.1, 126.7, 129.8, 130.2, 131.9, 135.7, 137.2, 143.1, 149.1, 152.1, 156.6, 163.0 (Ar-C or C=N), 174.0 (C=O) ppm; IR (KBr): v 3419, 3326, 3155 (3NH), 3039, 2908 (C-H), 1712 (C=O), 1611 (C=N), 1558, 1435, 1303, 1249, 1095 cm−1; MS m/z (%): 506 (M+), 383, 241, 169 (100), 106, 91, 77, 54. Anal. Calcd for C23H22N8O2S2 (506.60): C, 54.53; H, 4.38; N, 22.12. Found: C, 54.53; H, 4.38; N, 22.12%. 
Compound 13b:
Yellow solid, 67% yield; m.p. 215–217 °C; δH (DMSO-d6): 2.16, 2.38, 2.51 (3s, 9H, 3CH3), 3.81 (s, 3H, OCH3), 7.0–7.85 (m, 8H, Ar-H), 8.05 (s, 1H, N=CH), 10.04, 10.40, 10.48 (3brs, 3H, 3NH) ppm; “a 13C NMR spectrum could not be obtained due to insolubility; IR (KBr): v 3422, 3316, 3203 (3NH), 3044, 2927 (C-H), 1709 (C=O), 1606 (C=N), 1470, 1249, 1138, 1036 cm−1; MS m/z (%): 520 (M+), 466, 307, 216, 119, 91 (100), 77, 57. Anal. Calcd for C24H24N8O2S2 (520.63): C, 55.37; H, 4.65; N, 21.52. Found: C, 55.16; H, 4.44; N, 21.37%. 
Compound 13c:
Yellow solid, 68% yield; m.p. 155–157 °C; δH (DMSO-d6): 2.35, 2.48 (2s, 6H, 2CH3), 3.81 (s, 3H, OCH3), 7.0–7.65 (m, 8H, Ar-H), 8.10 (s, 1H, N=CH), 10.45 10.95 12.26 (3brs, 3H, 3NH) ppm; IR (KBr): v 3441, 3253, 3170 (3NH), 3041, 2939 (C-H), 1681 (C=O), 1608 (C=N), 1485, 1242, 1165, 1041 cm−1; MS m/z (%): 541 (M+), 407, 281, 153, 134, 111, 71, 55 (100). Anal. Calcd for C23H21ClN8O2S2 (541.05): C, 51.06; H, 3.91; N, 20.71. Found: C, 51.18; H, 3.81; N, 20.53%. 
Compound 13d:
Yellowish-brown solid, 74% yield; m.p. 225–227 °C; δH (DMSO-d6): 2.36, 2.46 (2s, 6H, 2CH3), 3.80 (s, 3H, OCH3), 7.0–8.12 (m, 9H, Ar-H + N=CH), 11.11 (br s, 1H, NH), 11.5 (br s, 1H, NH), 11.6 (br s, 1H, NH) ppm; “a 13C NMR spectrum could not be obtained due to insolubility; IR (KBr): v 3427, 3310, 3194 (3NH), 3078, 2931 (C-H), 1705 (C=O), 1609 (C=N), 1512, 1327, 1249, 1165, 1018 cm−1; MS m/z (%): 551 (M+), 470, 398, 277, 205, 133, 90 (100), 76, 63, 55. Anal. Calcd for C23H21N9O4S2 (551.60): C, 50.08; H, 3.84; N, 22.85. Found: C, 50.03; H, 3.72; N, 22.70%. 
Compound 13e:
Yellow solid, 70% yield; m.p. 145–147 °C; δH (DMSO-d6): 2.36, 2.46 (2s, 6H, 2CH3), 3.82 (s, 3H, OCH3), 7.02–8.10 (m, 8H, Ar-H + N=CH), 9.95 (br s, 1H, NH), 11.05 (br s, 1H, NH), 11.9 (br s, 1H, NH) ppm; IR (KBr): v 3433, 3313, 3217 (3NH), 3041, 2924 (C-H), 1720 (C=O), 1612 (C=N), 1541, 1242, 1147, 1038 cm−1; MS m/z (%): 575 (M+), 473, 317, 204 (100), 106, 91, 57. Anal. Calcd for C23H20Cl2N8O2S2 (575.49): C, 48.00; H, 3.50; N, 19.47. Found: C, 47.92; H, 3.35; N, 19.29%. 
Synthesis of thiazoles 14 and 16:
A mixture of hydrazinecarbothioamide 7 (0.362 g, 1 mmol) and 3-chloropentane-2,4-dione (4) or 2-bromo-1-phenylethanone (15) (1 mmol) in EtOH (20 mL) was refluxed for 3 h. The formed product was recrystallized from DMF to give the corresponding thiazole derivatives 14 or 16. 
Compound 14:
Yellow solid, 73% yield; m.p. 230–232 °C; δH(DMSO-d6): 2.35, 2.40, 2.48, 2.57 (4s, 12H, 4CH3), 3.79 (s, 3H, OCH3), 7.02–7.06 (d, 2H, J = 16 Hz, Ar-H), 7.65–7.69 (d, 2H, J = 16 Hz, Ar-H), 8.08 (s, 1H, N=CH), 8.19, 9.27 (2brs, 2H, 2NH) ppm; “a 13C NMR spectrum could not be obtained due to insolubility; IR (KBr): v 3412, 3237 (2NH), 3036, 2939 (C-H), 1703 (C=O), 1605 (C=N), 1553, 1240, 1109, 1016 cm−1; MS m/z (%): 442 (M+), 362, 287, 120, 91 (100), 77, 65. Anal. Calcd for C20H22N6O2S2 (442.56): C, 54.28; H, 5.01; N, 18.99. Found: C, 54.15; H, 4.88; N, 18.73%. 
Compound 16:
Yellow solid, 72% yield; m.p. 228–230 °C; δH(DMSO-d6): 2.51, 2.66 (2s, 6H, 2CH3), 3.81 (s, 3H, OCH3), 7.04 (s, 1H, thiazole- H5), 7.06-8.36 (m, 9H, Ar-H), 8.50 (s, 1H, N=CH), 9.65, 10.76 (2brs, 2H, 2NH) ppm; δC (DMSO-d6): 14.4, 20.7 (CH3), 56.8 (OCH3), 102.9, 113.3, 115.0, 118.9, 123.9, 130.0, 131.8, 138.8, 140.8, 145.0, 152.0, 152.5, 159.8, 163.4, 168.7 (Ar-C or C=N) ppm; IR (KBr): v 3433, 3239 (2NH), 3001, 2938 (C-H), 1613 (C=N), 1512, 1257, 1172, 1026 cm−1; MS m/z (%): 462 (M+), 287, 246, 176, 134 (100), 120, 91, 77, 67. Anal. Calcd for C23H22N6OS2 (462.59): C, 59.72; H, 4.79; N, 18.17. Found: C, 59.79; H, 4.58; N, 18.03%. 
Synthesis of thiazole derivative 18:
Anhydrous sodium acetate (0.33 g, 4 mmol) was added to a mixture of compound 7 (0.362 g, 1 mmol) and ethyl chloroacetate 17 (0.122 g, l mmol) in AcOH (20 mL). The mixture was refluxed for 4h, then the solid product was recrystallized from EtOH to afford the thiazolone derivative 18 as yellow solid, 69% yield; m.p. 235-237 °C δH(DMSO-d6): 2.41 (s, 3H, CH3), 2.48 (s, 3H, CH3), 3.81 (s, 3H, OCH3), 4.14 (s, 2H, CH2), 6.97-7.00 (d, 2H, J = 12 Hz, Ar-H),7.65-7.68 (d, 2H, J =12 Hz, Ar-H), 8.16 (s, 1H, N=CH), 9.18, 10.38 (2brs, 2H, 2NH) ppm; δC (DMSO-d6): 10.9, 14.5 (CH3), 36.8 (CH2), 56.9 (OCH3), 103.3, 114.4, 116.4, 123.2, 130.5, 131.4, 136.8, 1459, 147.0, 159.5 (Ar-C or C=N), 176.7 (C=O) ppm; IR (KBr): v 3417, 3222 (2NH), 3026, 2918 (C-H), 1692 (C=O), 1606 (C=N), 1530, 1248, 1148, 1029 cm−1; MS m/z (%): 402 (M+), 312 (100), 215, 138, 78, 63. Anal. Calcd for C17H18N6O2S2 (402.49): C, 50.73; H, 4.51; N, 20.88. Found: C, 50.62; H, 4.44; N, 20.63%. 
Synthesis of thiazole derivative 20.
A mixture of dimethyl acetylene dicarboxylate 19 (0.142 g, 1 mmol) and compound 7 (0.362 g, 1 mmol) in dry methanol (20 mL) was refluxed for 2h the formed product was recrystallized from ethanol to give pure product 20 as yellow solid, 70% yield; m.p. 270–272 °C (DMF); δH(DMSO-d6): 2.42 (s, 3H, CH3), 2.45 (s, 3H, CH3), 3.75 (s, 3H, COOCH3), 3.80 (s, 3H, OCH3), 6.63 (s, 1H, =CH-COOCH3), 7.0–7.03 (d, 2H, J = 12 Hz, Ar-H), 7.61-7.64 (d, 2H, J =12 Hz, Ar-H), 8.12 (s, 1H, N=CH), 8.29, 9.98 (2brs, 2H, 2NH) ppm; δC (DMSO-d6): 9.0, 25.2 (CH3), 46.1, 56.8 (OCH3), 115.5, 117.5, 118.7, 119.8, 124.6, 129.3, 129.8, 135.3, 138.1, 153.0, 154.0, 162.7 (Ar-C or C=N), 169.2, 173.1 (C=O) ppm; IR (KBr): v 3433, 3194 (2NH), 3055, 2900 (C-H), 1705, 1691 (2C=O), 1600 (C=N), 1504, 1311, 1242, 1165 cm−1; MS m/z (%): 472 (M+), 339, 256, 153, 133 (100), 103, 91, 77, 59. Anal. Calcd for C20H20N6O4S2 (472.54): C, 50.83; H, 4.27; N, 17.78. Found: C, 50.64; H, 4.36; N, 17.61%. 
3.2. Biological Evaluation
3.2.1. Antimicrobial Activity Assay
The antimicrobial activity was investigated for the newly synthesized compounds towards test pathogenic microorganisms using the well diffusion method. A detailed antimicrobial activity assay is attached in the supplementary data [].
3.2.2. MIC Determination
The MIC was determined as the lowest concentration inhibiting microbial growth. A detailed MIC determination method is attached in the supplementary data [].
3.2.3. Cytotoxicity Assay
For cytotoxicity and antitumor assays, the cell lines were suspended in medium at cell density of 5 × 104 cells/well in 96-well tissue culture plates, then incubated for 24 h. The tested compounds were then added into 96-well plates (six replicates) to achieve eight concentrations for each compound along with controls with media or 0.5% DMSO. After incubating for 24 h, the numbers of viable cells were determined by the MTT assay. Detailed cytotoxicity assay and IC50 values calculations are attached in the supplementary data [,]. 
3.2.4. Safety and Selectivity Index (SI)
The impacts of the tested compounds and cisplatin reference drug were measured on normal human lung fibroblast (MRC-5) cell line (obtained from the American Type Culture Collection, ATCC, Rockville, MD, USA) as mentioned previously to produce a dose–response curve and to calculate the 50% cytotoxic concentration (CC50) using GraphPad Prism software. By dividing the CC50 by the IC50 values, the SI was obtained. A SI of >10 indicates the safety of a compound [].
4. Conclusions
We have efficiently synthesized a new series of bioactive thiazole derivatives, and their structures were elucidated using spectroscopic analyses (mass, IR, NMR and 13C NMR). Moreover, their cytotoxic effectiveness against HCT-116, HepG-2 and MDA-MB-231cell lines was investigated. Our findings revealed that most compounds had good anticancer activity, and that the thiazole derivative 10c had the most cytotoxic capability against the cell lines tested, with greater selectivity index values more powerful than the anticancer medication cisplatin. When the tested compounds were evaluated for their toxicity against normal cells, they exhibited low toxic effects indicating the safe use of most of them that may require further in vivo and pharmacological studies. Most of the new products exhibited satisfactory antibacterial activity, and compound 13c showed the highest activity against Gram-(+ve) bacteria, Staphylococcus aureus and Bacillus subtilis. Compound 7, on the other hand, had the best activity against the Gram-(-ve) bacteria, Proteus vulgaris.
Supplementary Materials
The following are available online at https://www.mdpi.com/article/10.3390/app11198908/s1, the spectra (Mass Spectra, IR Spectra, 1HNMR Spectra, 13CNMR Spectra) of the compounds (compound 6, compound 10a, compound 10b, compound 10c, compound 10d, compound 10e, compound 13a, compound 13b, compound 13c, compound 13d, compound 16, compound 18, compound 20) are presented in Supplementary Materials (Figures S1–Figure S39).
Author Contributions
L.A.A.-M., F.M.A. and S.M.G. conceived the experiment(s), S.M.G. and S.M.H. conducted the experiment(s), L.A.A.-M., F.M.A., S.M.G., A.S.H., M.S.A., A.R.S. and M.M.E. analyzed the results. All authors have read and agreed to the published version of the manuscript.
Funding
This research received no external funding.
Institutional Review Board Statement
Not applicable.
Informed Consent Statement
Not applicable.
Data Availability Statement
The data presented in this study are available on request from corresponding author.
Acknowledgments
The authors acknowledge the Deanship of Scientific Research at Princess Nourah bint Abdulrahman University for financial support through the Fast-Track Research Funding Program.
Conflicts of Interest
The authors declare that there is no conflict of interest regarding the publication of this paper.
References
- Sharma, P.C.; Bansal, K.K.; Sharma, A.; Sharma, D.; Deep, A. Thiazole—Containing compounds as therapeutic targets for cancer therapy. Eur. J. Med. Chem. 2020, 188, 112016. [Google Scholar] [CrossRef]
- Gomha, S.M.; Badrey, M.G. A convenient synthesis of some new thiazole and pyrimidine derivatives incorporating naphthalene moiety. J. Chem. Res. 2013, 37, 86–90. [Google Scholar] [CrossRef]
- Ouf, S.A.; Gomha, S.M.; Ewies, M.M.; Ouf, A.S.; Sharawy, I.A.; Alharbi, S.A. Antidermatophytic activity of some newly synthesized arylhydrazonothiazoles conjugated with monoclonal antibody. Sci. Rep. 2020, 10, 20863. [Google Scholar] [CrossRef] [PubMed]
- Edrees, M.M.; Abu-Melha, S.; Saad, A.M.; Kheder, N.A.; Gomha, S.M.; Muhammad, Z.A. Eco-friendly synthesis, characterization and biological evaluation of some new pyrazolines containing thiazole moiety as potential anticancer and antimicrobial agents. Molecules 2018, 23, 2970. [Google Scholar] [CrossRef] [Green Version]
- Abdelhamid, A.O.; Shawali, A.S.; Gomha, S.M. Synthesis and anti-microbial evaluation of some novel thiazole, 1,3,4-thiadiazole and pyrido[2,3-d][1,2,4]-triazolo[4,3-a]pyrimidine derivatives incorporating pyrazole moiety. Heterocycles 2015, 91, 2126–2142. [Google Scholar] [CrossRef]
- Gomha, S.M.; Abdelhady, H.A.; Hassain, D.Z.H.; Abdelmonsef, A.H.; El-Naggar, M.; Elaasser, M.M.; Mahmoud, H.K. Thiazole based thiosemicarbazones: Synthesis, cytotoxicity evaluation and molecular docking study. Drug Des. Dev. Ther. 2021, 15, 659–677. [Google Scholar] [CrossRef] [PubMed]
- Gomha, S.M.; Riyadh, S.M.; Abbas, I.M.; Bauomi, M.A. Synthetic utility of ethylidenethiosemicarbazide Synthetic utility of ethylidenethiosemicarbazide: Synthesis and anti-cancer activity of 1,3-thiazines and thiazoles with imidazole moiety. Heterocycles 2013, 87, 341–356. [Google Scholar]
- Gomha, S.M.; Salah, T.A.; Abdelhamid, A.O. Synthesis, characterization and pharmacological evaluation of some novel thiadiazoles and thiazoles incorporating pyrazole moiety as potent anticancer agents. Mon. Chem.-Chem. Mon. 2015, 146, 149–158. [Google Scholar] [CrossRef]
- Sayed, A.R.; Gomha, S.M.; Taher, E.A.; Muhammad, Z.A.; El-Seedi, H.R.; Gaber, H.M.; Ahmed, M.M. One-Pot Synthesis of Novel Thiazoles as Potential Anti- Cancer Agents. Drug Des. Dev. Ther. 2020, 14, 1363–1375. [Google Scholar] [CrossRef] [PubMed] [Green Version]
- Dawood, K.M.; Gomha, S.M. Synthesis and anti-cancer activity of 1,3,4-thiadiazole and 1,3-thiazole derivatives having 1,3,4-oxadiazole moiety. J. Heterocycl. Chem. 2015, 52, 1400–1405. [Google Scholar] [CrossRef]
- Gomha, S.M.; Abdelhamid, A.O.; Kandil, O.M.; Kandeel, S.M.; Abdelrehem, N.A. Synthesis and molecular docking of some novel thiazoles and thiadiazoles incorporating pyranochromene moiety as potent anticancer agents. Mini-Rev. Med. Chem. 2018, 18, 1670–1682. [Google Scholar] [CrossRef]
- Siddiqui, H.L.; Zia-ur-Rehman, M.; Ahmad, N.; Weaver, G.W.; Lucas, P.D. Synthesis and Antibacterial Activity of Bis [2-amino-4-phenyl-5-thiazolyl] Disulfides. Chem. Pharm. Bull. 2007, 55, 1014–1017. [Google Scholar] [CrossRef] [Green Version]
- Gomha, S.M.; Salah, T.A.; Hassaneen, H.M.E.; Abdel-Aziz, H.; Khedr, M.A. Synthesis, characterization and molecular docking of novel bioactive thiazolyl-thiazole derivatives as promising cytotoxic antitumor drug. Molecules 2016, 21, 3. [Google Scholar] [CrossRef] [Green Version]
- Farghaly, T.A.; El-Metwaly, N.; Al-Soliemy, A.M.; Katouah, H.A.; Muhammad, Z.A.; Sabour, R. Synthesis, Molecular Docking and Antitumor Activity of New Dithiazoles. Polycycl. Aromat. Compd. 2021, 48, 1591–1607. [Google Scholar] [CrossRef]
- Rouf, A.; Tanyeli, C. Bioactive thiazole and benzothiazole derivatives. Eur. J. Med. Chem. 2015, 97, 911–927. [Google Scholar] [CrossRef] [PubMed]
- Kashyap, S.J.; Sharma, P.K.; Garg, V.K.; Dudhe, R.; Kumar, N. Review on synthesis and various biological potential of thiazolopyrimidine derivatives. J. Adv. Sci. Res. 2011, 3, 18–24. [Google Scholar]
- Huang, S.; Collony, P.J. Synthesis of 2-N-alkyl (aryl) amino-nitrobenzothiazoles. Tetrahedron Lett. 2004, 45, 9373–9375. [Google Scholar] [CrossRef]
- Geronikaki, A.; Argyropoulou, I.; Vicini, P.; Zani, F. Synthesis and biological evaluation of sulfonamide thiazole and benzothiazole derivatives as antimicrobial agents. Arkivoc 2009, 6, 89–102. [Google Scholar]
- Gomha, S.M.; Riyadh, S.M.; Mahmmoud, E.A.; Elaasser, M.M. Synthesis and anticancer activity of arylazothiazoles and 1,3,4-thiadiazoles using chitosan-grafted-poly(4-vinylpyridine) as a novel copolymer basic catalyst. Chem. Heterocycl. Comp. 2015, 51, 1030–1038. [Google Scholar] [CrossRef]
- Das, D.; Sikdar, P.; Bairagi, M. Recent developments of 2-aminothiazoles in medicinal chemistry. Eur. J. Med. Chem. 2016, 109, 89–98. [Google Scholar] [CrossRef] [PubMed]
- Ansari, M.; Shokrzadeh, M.; Karima, S.; Rajaei, S.; Fallah, M.; Ghassemi-Barghi, N.; Ghasemian, M.; Emami, S. New thiazole-2(3H)-thiones containing 4-(3,4,5-trimethoxyphenyl) moiety as anticancer agents. Eur. J. Med. Chem. 2020, 185, 111784. [Google Scholar] [CrossRef] [PubMed]
- Franchetti, P.; Cappellacci, L.; Grifantini, M.; Barzi, A.; Nocentini, G.; Yang, H.; O’Connor, A.; Jayaram, H.N.; Carrell, C.; Goldstein, B.M. Furanfurin and thiophenfurin: Two novel tiazofurin analogues. Synthesis, structure, antitumour activity, and interactions with inosine monophosphate dehydrogenase. J. Med. Chem. 1995, 38, 3829–3837. [Google Scholar] [CrossRef]
- Altmann, K.H. Epothilone B and its analogs-a new family of anticancer agents. Mini Rev. Med. Chem. 2003, 3, 149–158. [Google Scholar] [CrossRef] [PubMed]
- Yao, Y.; Chen, S.; Zhou, X.; Xie, L.; Chen, A. 5-FU and ixabepilone modify the microRNA expression profiles in MDA-MB-453 triple-negative breast cancer cells. Oncol. Lett. 2014, 7, 541–547. [Google Scholar] [CrossRef]
- Hu-Lieskovan, S.; Mok, S.; Homet Moreno, B.; Tsoi, J.; Robert, L.; Goedert, L.; Pinheiro, E.M.; Koya, R.C.; Graeber, T.G.; Comin-Anduix, B.; et al. Improved antitumour activity of immunotherapy with B-RAF and MEK inhibitors in BRAF(V600E) melanoma. Sci. Transl. Med. 2015, 18, 279. [Google Scholar]
- Li, X.; He, Y.; Ruiz, C.H.; Koenig, M.; Cameron, M.D. Characterization of dasatinib and its structural analogs as CYP3A4 mechanism-based inactivators and the proposed bioactivation pathways. Drug Metab. Dispos. 2009, 37, 1242–1250. [Google Scholar] [CrossRef] [PubMed] [Green Version]
- Netalkar, P.P.; Netalkar, S.P.; Revankar, V.K. Transition metal complexes of thiosemicarbazone: Synthesis, structures and in vitro antimicrobial studies. Polyhedron 2015, 100, 215–222. [Google Scholar] [CrossRef]
- da Silva, E.B.; e Silva, D.A.O.; Oliveira, A.R.; da Silva Mendes, C.H.; Dos Santos, T.A.R.; da Silva, A.C.; de Castro, M.C.A.; Ferreira, R.S.; Moreira, D.R.M.; de Oliveira Cardoso, M.V.; et al. Desing and synthesis of potent anti-Trypanosoma cruzi agents new thiazoles derivatives which induce apoptotic parasite death. Eur. J. Med. Chem. 2017, 130, 39–50. [Google Scholar] [CrossRef] [PubMed]
- Espíndola, J.W.P.; de Oliveira, C.M.V.; de Oliveira, F.G.B.; de Silva, D.A.O.; Moreira, D.R.M.; Bastos, T.M.; de Simone, C.A.; Soares, M.B.P.; Villela, F.S.; Ferreira, R.S.; et al. Synthesis and structure–activity relationship study of a new series of antiparasitic aryloxyl thiosemicarbazones inhibiting Trypanosoma Cruzi Cruzain. Eur. J. Med. Chem. 2015, 101, 818–835. [Google Scholar] [CrossRef]
- Hu, W.X.; Zhou, W.; Xia, C.N.; Wen, X. Synthesis and anticancer activity of thiosemicarbazones. Bioorg. Med. Chem. Lett. 2006, 16, 2213–2218. [Google Scholar] [CrossRef]
- Wang, Y.; Wang, Z.; Kuang, H.; Zhang, Y.; Gu, W.; Zhu, Y.; Wang, S. Synthesis and antitumor activity of 2-isocamphanyl thiosemicarbazone derivatives via ROS-enhanced mitochondria damage. Chem. Biol. Drug Des. 2019, 94, 1281–1291. [Google Scholar] [CrossRef] [PubMed]
- Sayed, A.R.; Abd El-lateef, H.M.; Gomha, S.M. L-Proline catalyzed green synthesis and anticancer evaluation of novel bioactive benzil bis-hydrazones under grinding technique. Green Chem. Lett. Rev. 2021, 14, 179–188. [Google Scholar] [CrossRef]
- Kassab, R.M.; Gomha, S.M.; Muhammad, Z.A.; El-khouly, A.S. Synthesis, biological profile, and molecular docking of some new bis-fused imidazole templates and investigation of their cytotoxic potential as anti-tubercular and/or anticancer prototypes. Med. Chem. 2021, 17, 875–886. [Google Scholar] [CrossRef] [PubMed]
- Gomha, S.M.; Abdelrazek, F.M.; Abdelrahman, A.H.; Metz, P. Synthesis of some novel thiazole, thiadiazole and 1, 4-phenylene-bis-thiazole derivatives as potent antitumor agents. Heterocycles 2016, 92, 954–967. [Google Scholar] [CrossRef] [Green Version]
- Sayed, A.R.; Gomha, S.M.; Abdelrazek, F.M.; Farghaly, M.S.; Hassan, S.A.; Peter, M. Design, efficient synthesis and molecular docking of some novel thiazolyl-pyrazole derivatives as anticancer agents. BMC Chem. 2019, 13, 116. [Google Scholar] [CrossRef] [Green Version]
- Abbas, I.M.; Riyadh, S.M.; Abdallah, M.A.; Gomha, S.M. A novel route to tetracyclic fused tetrazines and thiadiazines. J. Heterocycl. Chem. 2006, 43, 935–942. [Google Scholar] [CrossRef]
- Gomha, S.M.; Kheder, N.A.; Abdelhamid, A.O.; Mabkhot, Y.N. One pot single step synthesis and biological evaluation of some novel bis(1,3,4-thiadiazole) derivatives as potential cytotoxic agents. Molecules 2016, 21, 1532. [Google Scholar] [CrossRef] [Green Version]
- Gomha, S.M.; Eldebss, T.M.A.; Badrey, M.G.; Abdulla, M.M.; Mayhoub, A.S. Novel 4-heteroaryl-antipyrines as DPP-IV Inhibitors. Chem. Biol. Drug Des. 2015, 86, 1292–1303. [Google Scholar] [CrossRef]
- Gomha, S.M.; Abdalla, M.A.; Abdelaziz, M.R.; Serag, N. Eco-friendly one-pot synthesis and antiviral evaluation of pyrazolyl pyrazolines of medicinal interest. Turk. J. Chem. 2016, 40, 484–498. [Google Scholar] [CrossRef] [Green Version]
- Gomha, S.M.; Kheder, N.A.; Abdelaziz, M.R.; Mabkhot, Y.N.; Alhajoj, A.M. A facile synthesis and anticancer activity of some novel thiazoles carrying 1,3,4-thiadiazole moiety. Chem. Cent. J. 2017, 11, 25. [Google Scholar] [CrossRef] [Green Version]
- Gomha, S.M.; Edrees, M.M.; Muhammad, Z.A.; El-Reedy, A.A.M. 5-(Thiophen-2-yl)-1,3,4-thiadiazole derivatives: Synthesis, molecular docking and in-vitro cytotoxicity evaluation as potential anticancer agents. Drug Des. Dev. Ther. 2018, 12, 1511–1523. [Google Scholar] [CrossRef] [Green Version]
- Abu-Melha, S.; Edrees, M.M.; Salem, H.H.; Kheder, N.A.; Gomha, S.M.; Abdelaziz, M.R. Synthesis and biological evaluation of some novel thiazole-based heterocycles as potential anticancer and antimicrobial agents. Molecules 2019, 24, 539. [Google Scholar] [CrossRef] [PubMed] [Green Version]
- Gomha, S.M.; Muhammad, Z.A.; El-Arab, E.E.; Elmetwally, A.M.; El-Sayed, A.A.; Matar, I.K. Design, synthesis, molecular docking study and anti-hepatocellular carcinoma evaluation of new bis-triazolothiadiazines. Mini-Rev. Med. Chem. 2020, 20, 788–800. [Google Scholar] [CrossRef] [PubMed]
- Grozav, A.; Gaina, L.I.; Pileczki, V.; Crisan, O.; Silaghi-Dumitrescu, L.; Therrien, B.; Zaharia, V.; Berindan-Neagoe, I. The Synthesis and Antiproliferative Activities of New Arylidene-Hydrazinyl-Thiazole Derivatives. Int. J. Mol. Sci. 2014, 15, 22059–22072. [Google Scholar] [CrossRef] [PubMed] [Green Version]
- Mehmood, H.; Khalid, M.; Haroona, M.; Akhtar, T.; Ashfaq, M.; Tahir, M.N.; Khan, M.U.; Imran, M.; Braga, A.A.C.; Woodward, S. Synthesis, characterization and DFT calculated properties of electron-rich hydrazinylthiazoles: Experimental and computational synergy. J. Mol. Struct. 2021, 1245, 131043. [Google Scholar] [CrossRef]
- Ibrahim, H.S.; Eldehna, W.M.; Abdel-Aziz, H.A.; Elaasser, M.M.; Abdel-Aziz, M.M. Improvement of antibacterial activity of some sulfa drugs through linkage to certain phthalazin-1(2H)-one scaffolds. Eur. J. Med. Chem. 2014, 85, 480–486. [Google Scholar] [CrossRef]
- Elaasser, M.M.; Abdel-Aziz, M.M.; El-Kassas, R.A. Antioxidant, antimicrobial, antiviral and antitumor activities of pyranone derivative obtained from Aspergillus candidus. J. Microbiol. Biotech. Res. 2011, 1, 5–17. [Google Scholar]
- Mosmann, T. Rapid colorimetric assay for cellular growth and survival: Application to proliferation and cytotoxicity assays. J. Immunol. Methods 1983, 65, 55–63. [Google Scholar] [CrossRef]
- Gomha, S.M.; Riyadh, S.M.; Mahmoud, E.A.; Elaasser, M.M. Synthesis and anticancer activities of thiazoles, 1,3-thiazines, and thiazolidine using chitosan-grafted-poly(vinylpyridine) as basic catalyst. Heterocycles 2015, 91, 1227–1243. [Google Scholar]
| Publisher’s Note: MDPI stays neutral with regard to jurisdictional claims in published maps and institutional affiliations. | 
© 2021 by the authors. Licensee MDPI, Basel, Switzerland. This article is an open access article distributed under the terms and conditions of the Creative Commons Attribution (CC BY) license (https://creativecommons.org/licenses/by/4.0/).
