Optimization of Multi-Blade Centrifugal Fan Blade Design for Ventilation and Air-Conditioning System Based on Disturbance CST Function
Abstract
1. Introduction
2. Studied Equipment: The Original Multi-Blade Centrifugal Fan
3. Parameterization the Centrifugal Fan Blade Based on CST Function
4. Multi-Objective Optimization of Fan Blade Based on RBF Model with CST Parameterization as Inputs
4.1. Pattern Building
4.2. RBF Model
4.3. Optimization Algorithm
5. Sample Database Establishment for RBF Model: Numerical Simulation and Experimental Verification
5.1. Experimental Setup and Method
5.2. Verification of Numerical Model and Sample Calculation
6. Results Analysis: Comparison of the Original Impeller and Optimized Impeller
6.1. Final Blade Profile
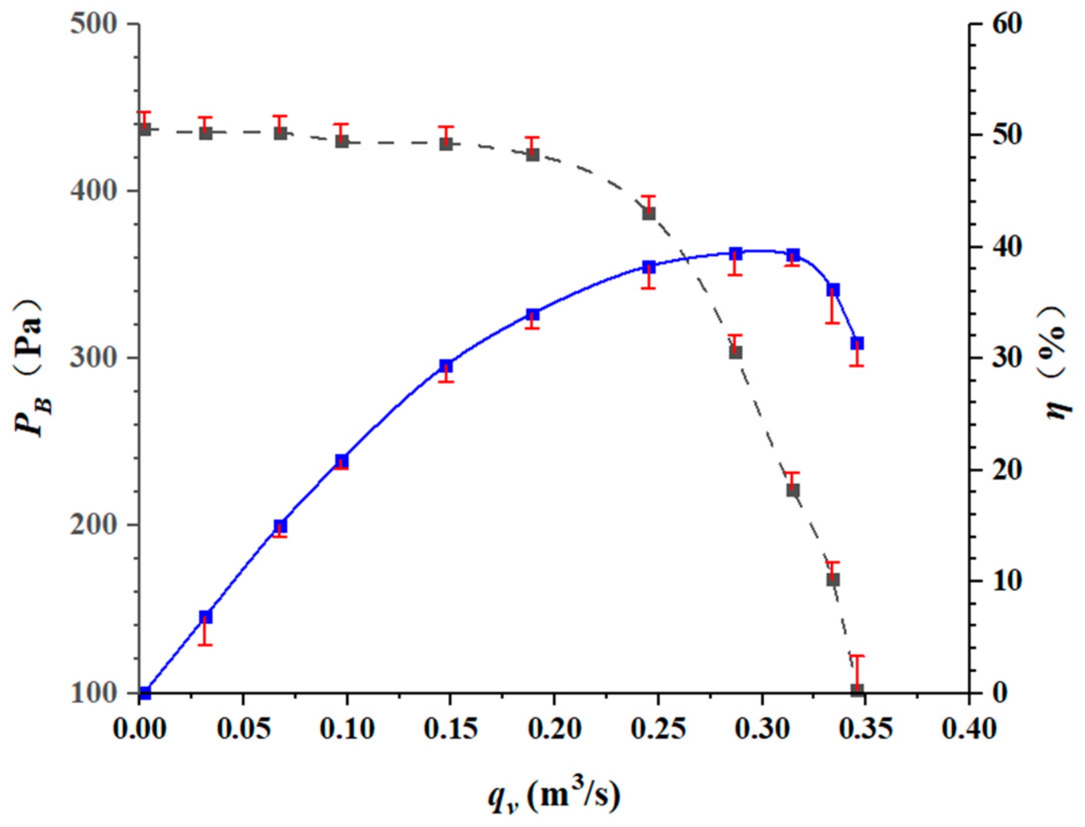
6.2. Comparison of Performance Curve
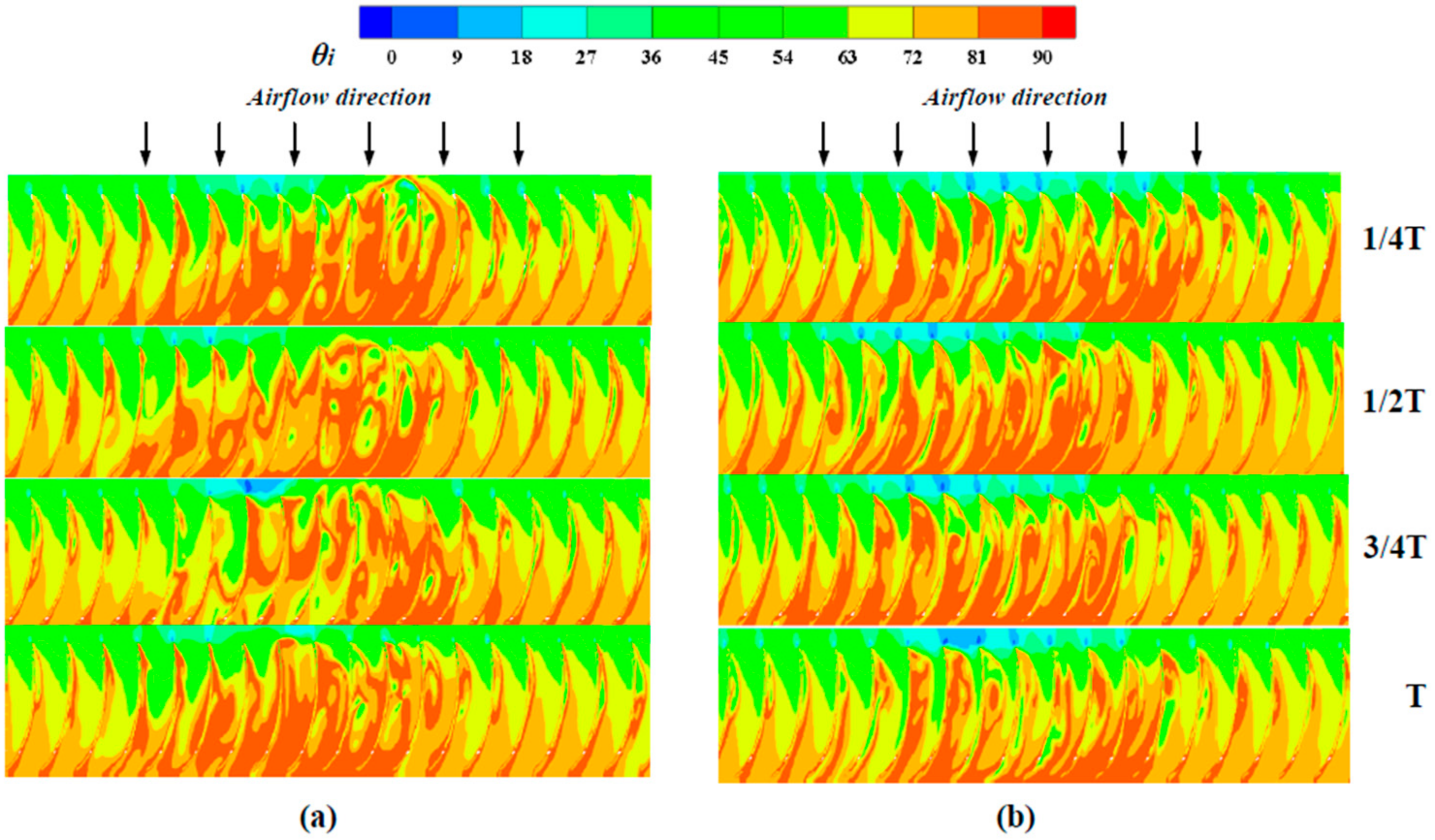
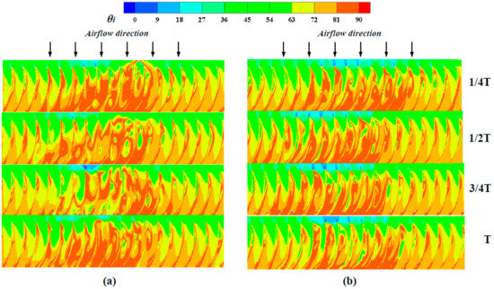
6.3. Comparison of Flow Characteristics Original and Optimized
6.4. Experimental Comparison of Acoustic Characteristics Original and Optimized
7. Conclusions
Author Contributions
Funding
Acknowledgments
Conflicts of Interest
Nomenclature
| Variables | |
| rpm | Rotating speed (r/min) |
| R1 | Impeller inlet radius (mm) |
| R2 | Impeller outlet radius (mm) |
| B1 | Impeller width (mm) |
| B2 | Volute width (mm) |
| r | Single-arc blade radius (mm) |
| β1A | Blade inlet angle (deg) |
| β2A | Blade outlet angle (deg) |
| z | Number of blades |
| N1/N2 | The type of leaf shape |
| zTE | The thickness of the trailing edge of the airfoil (mm) |
| c | The chord length of the airfoil (mm) |
| vi | The design variable |
| y(x) | The actual response values |
| (x) | The response approximation |
| ε | The random error |
| Qv | The flow rate (m3/min) |
| η | The total pressure efficiency (%) |
| β | The angle between A-B and the axis (°) |
| i | The number of training samples |
| n | The total number of samples |
| The average of the samples | |
| The predicted value of the test sample | |
| Ywall | The height of the first layer of the boundary layer grid (mm) |
| Vref | The reference speed (m/s) |
| Lref | The reference length (m) |
| ν | The fluid kinematic viscosity (m2/s) |
| y+ | The dimensionless parameter indicating the boundary point between the viscous bottom and logarithmic layers (mm) |
| The flow rate (m3/s) | |
| Abbreviations | |
| HAVC | heating ventilation and air conditioning |
| CST function | Class Function and a Shape Function |
| R2 | The correlation coefficient |
| NSGA-II | Non-Dominated Sorting Genetic Algorithm II |
| RBF | The Radial Basis Function network |
| Opt LHD | The optimal Latin hypercube design |
References
- Leonard, F.; Wang, N.; Timothy, I.; Ronald, M.; Underhill, J.E. Investigation of potential aerosol transmission and infectivity of SARS-CoV-2 through central ventilation systems. Build. Environ. 2021, 197, 107633. [Google Scholar] [CrossRef]
- Xu, Y.; Jiang, N.; Pan, F.; Wang, Q.; Gao, Z.; Chen, G. Comparative study on two low-grade heat driven absorption-compression refrigeration cycles based on energy, exergy, economic and environmental (4E) analyses. Energy Convers. Manag. 2017, 133, 535–574. [Google Scholar] [CrossRef]
- Xu, Y.; Mao, C.; Huang, Y.; Shen, X.; Xu, X.; Chen, G. Performance evaluation and multi-objective optimization of a low-temperature CO2 heat pump water heater based on artificial neural network and new economic analysis. Energy 2021, 216, 119232. [Google Scholar] [CrossRef]
- European Parliament; Council of the European Union. Directive 2009/28/EC of the European Parliament and of the Council of 23 April 2009 on the promotion of the use of energy from renewable sources and amending and subsequently repealing directives 2001/77/EC and 2003/30/EC. Off. J. Eur. Union 2009, 5, 140. [Google Scholar]
- Huang, M. VWV energy-saving control of air conditioning water system. Refrig. Technol. 2009, 11, 29–31. [Google Scholar]
- Qiu, M.; Hao, Y.; Fan, Z.; Jiang, X. Design of single stage high efficiency fan based on arbitrary polynomial camber line airfoils. Acta Aeronaut. Astronaut. Sin. 2017, 38, 5. [Google Scholar] [CrossRef]
- Zhong, M.; Zu, Y.; Huan, X.; Jun, L.; Ting, X. Numerical simulation and optimal design investigation on air duct of floor standing air-conditioner. Adv. Des. Technol. 2011, 563, 308–310. [Google Scholar] [CrossRef]
- Iwano, K.; Goto, Y.; Fukao, Y.; Sakai, Y.; Ito, Y.; Nagata, K. Experimental study on the flow structure and sound generation between the blades of multi-blade fan. Trans. JSME 2017, 83, 849. [Google Scholar] [CrossRef][Green Version]
- American Society of Heating, Refrigerating and Air-Conditioning Engineers. Energy Standard for Buildings Except Low-Rise Residential Buildings; ANSI/ASHRAE/IES Standard 90.1-2016; American Society of Heating, Refrigerating and Air-Conditioning Engineers: Atlanta, GA, USA, 2016. [Google Scholar]
- Lun, Y.; Ye, X.; Lin, L. Unsteady characteristics of forward multi-wing centrifugal fan at low flow rate. Processes 2019, 7, 691. [Google Scholar] [CrossRef]
- Lu, C.; Li, Q.; Huang, S. Noise simulation and evaluation of fan power generation in super tall buildings. J. Vib. Shock 2012, 6, 10–14. [Google Scholar] [CrossRef]
- Kawasaki, M.; Hirahara, H.; Kang, D. A study on the process of low-frequency noise generation in a multi-blade centrifugal fan. Int. J. Fluid Mach. Syst. 2020, 13, 2. [Google Scholar] [CrossRef]
- Maeda, M.; Hirahara, H.; Nakamura, M. 0313 Experimental analysis of internal 3D flow field of multi-blade centrifugal fan with PIV measurement. Proc. Fluids Eng. Conf. 2012, 2012, 151–152. [Google Scholar] [CrossRef]
- Yoon, S.H.; Park, H.W.; Cho, Y.H. Study on the aerodynamic design of multi-blade centrifugal fan for hybrid electric vehicle. In Proceedings of the KFMA Annual Meeting, Hanoi, Vietnam, 5–6 May 2011; Volume 11, pp. 73–74. [Google Scholar]
- Zhou, S.; Li, Y. Volute characteristics of centrifugal fan based on dynamic moment correction method. Proc. Inst. Mech. Eng. 2019, 233, 176–185. [Google Scholar] [CrossRef]
- Zuo, W.; Xu, Q. Experimental study on the blade profile of forward multi-blade centrifugal fan. Fluid Mach. 2003, 11, 1–2. [Google Scholar] [CrossRef]
- Liu, C.; Sheng, C. Design and optimization of bionic janus blade in hydraulic torque converter for drag reduction. J. Biomim. Eng. 2018, 15, 160–172. [Google Scholar] [CrossRef]
- Dai, C.; Guo, C.; Ge, Z.; Liu, H.; Dong, L. Study on drag and noise reduction of bionic blade of centrifugal pump and mechanism. J. Bionic Eng. 2021, 18, 428–440. [Google Scholar] [CrossRef]
- Liu, Q. Study on Bionic Noise Reduction of Axial Flow Fan Blade; Jilin University: Changchun, China, 2006. [Google Scholar]
- Balasubramanian, K.; Turner, M.G.; Siddappaji, K. Novel curvature-based airfoil parameterization for wind turbine application and optimization. In Proceedings of the ASME Turbo Expo 2017: Turbomachinery Technical Conference and Exposition, Charlotte, NC, USA, 26–30 June 2017. [Google Scholar]
- Deng, J.; Feng, R. Parameterization method of supercritical airfoil for optimal design. J. Beijing Univ. Aeronaut. Astronaut. 2011, 37, 368–373. [Google Scholar] [CrossRef]
- Zuo, L.; Wang, J. Foil design optimization at low reynolds number airfoil. Acta Armamentarii 2009, 30, 1073–1077. [Google Scholar] [CrossRef]
- Yang, X.; Jiang, B.; Wang, J.; Huang, Y. Multi-objective optimization of dual-arc blades in a squirrel-cage fan using modified non-dominated sorting genetic algorithm. Proc. Inst. Mech. Eng. Part A J. Power Energy 2020, 234, 1053–1068. [Google Scholar] [CrossRef]
- Kulfan, B.M. Recent extensions and applications of the ‘CST’ universal parametric geometry representation method. Aeronaut. J. 2010, 114, 157–176. [Google Scholar] [CrossRef]
- Ariyarit, A.; Kanazaki, M. Multi-segment Class-Shape-Transformation (CST) for global design exploration. In Proceedings of the 10th France-Japan/8th Europe-Asia Congress on Mecatronics, Tokyo, Japan, 27–29 November 2014; pp. 64–69. [Google Scholar] [CrossRef]
- Zapotecas, M.; Coello, C. Combining surrogate models and local search for dealing with expensive multi-objective optimization problems. In Proceedings of the 2013 IEEE Congress on Evolutionary Computation, Cancun, Mexico, 20–23 June 2013; pp. 2572–2579. [Google Scholar]
- Seshagiri, S.; Khalil, H.K. Output feedback control of nonlinear systems using RBF neural networks. IEEE Trans. Neural Netw. 2000, 11, 69–79. [Google Scholar] [CrossRef]
- Li, Y.; Qiang, S.; Zhuang, X.; Kaynak, O. Robust and adaptive backstepping control for nonlinear systems using RBF neural networks. IEEE Trans. Neural Netw. 2004, 15, 693–701. [Google Scholar] [CrossRef] [PubMed]
- Yang, M.; Chen, Y.; Lin, Y. Multiobjective optimization using nondominated sorting genetic algorithm-II for allocation of energy conservation and renewable energy facilities in a campus. Energy Build. 2016, 122, 120–130. [Google Scholar] [CrossRef]
- Performance Test of Industrial Ventilator with Standardized Air Duct; GB/T 1236-2017; China Standard Press: Beijing, China, 2017.
- Wang, F. Computational Fluid Dynamics Analysis; Tsinghua University Press: Beijing, China, 2004. [Google Scholar]
- Schram, C.; Hirschberg, A. Application of vortex sound theory to vortex-pairing noise: Sensitivity to errors in flow data. J. Sound Vib. 2003, 266, 1079–1098. [Google Scholar] [CrossRef]
- General Administration of Quality Supervision, Inspection and Quarantine, National Standardization Management Committee. Fan and Roots Blower Noise Measurement Method; GB/T 2888-2008; China Standard Press: Beijing, China, 2008. [Google Scholar]
























| Parameter | Size |
|---|---|
| Impeller inlet radius, R1 (mm) | 115 |
| Impeller outlet radius, R2 (mm) | 140 |
| Impeller width, B1 (mm) | 100 |
| Volute width, B2 (mm) | 135 |
| Single-arc blade radius, r (mm) | 15 |
| Blade inlet angle, β1A (deg) | 67 |
| Blade outlet angle, β2A (deg) | 163 |
| Number of blades, z | 60 |
| 0.4943 | 2.854 | 1.5694 | 0.6450 |
| vi | min | max |
|---|---|---|
| v1 | 0.3 | 0.7 |
| v2 | 2 | 4 |
| v3 | 1 | 3 |
| v4 | 0.4 | 0.8 |
| Qv | η | |
|---|---|---|
| R2 | 0.962 | 0.977 |
| /° | /° | /% | /(m3/min) | |||||
|---|---|---|---|---|---|---|---|---|
| Original | 0.4943 | 2.854 | 1.5694 | 0.6450 | 67 | 163 | 40.0 | 16.8 |
| Optimized | 0.6172 | 3.878 | 2.175 | 0.4875 | 62.3 | 164.7 | 43.1 | 18.2 |
Publisher’s Note: MDPI stays neutral with regard to jurisdictional claims in published maps and institutional affiliations. |
© 2021 by the authors. Licensee MDPI, Basel, Switzerland. This article is an open access article distributed under the terms and conditions of the Creative Commons Attribution (CC BY) license (https://creativecommons.org/licenses/by/4.0/).
Share and Cite
Zhou, S.; Yang, K.; Zhang, W.; Zhang, K.; Wang, C.; Jin, W. Optimization of Multi-Blade Centrifugal Fan Blade Design for Ventilation and Air-Conditioning System Based on Disturbance CST Function. Appl. Sci. 2021, 11, 7784. https://doi.org/10.3390/app11177784
Zhou S, Yang K, Zhang W, Zhang K, Wang C, Jin W. Optimization of Multi-Blade Centrifugal Fan Blade Design for Ventilation and Air-Conditioning System Based on Disturbance CST Function. Applied Sciences. 2021; 11(17):7784. https://doi.org/10.3390/app11177784
Chicago/Turabian StyleZhou, Shuiqing, Ke Yang, Weitao Zhang, Kai Zhang, Chihu Wang, and Weiya Jin. 2021. "Optimization of Multi-Blade Centrifugal Fan Blade Design for Ventilation and Air-Conditioning System Based on Disturbance CST Function" Applied Sciences 11, no. 17: 7784. https://doi.org/10.3390/app11177784
APA StyleZhou, S., Yang, K., Zhang, W., Zhang, K., Wang, C., & Jin, W. (2021). Optimization of Multi-Blade Centrifugal Fan Blade Design for Ventilation and Air-Conditioning System Based on Disturbance CST Function. Applied Sciences, 11(17), 7784. https://doi.org/10.3390/app11177784

