Heat Generation and Temperature Control during Bone Drilling for Orthodontic Mini-Implants: An In Vitro Study
Abstract
:1. Introduction
2. Materials and Methods
2.1. Bone Model
2.2. Setup
2.3. Collection of Data and Statistical Analysis
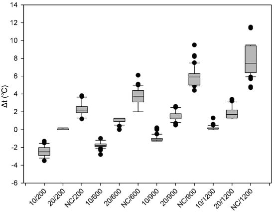
3. Results
4. Discussion
5. Conclusions
Author Contributions
Funding
Institutional Review Board Statement
Informed Consent Statement
Data Availability Statement
Acknowledgments
Conflicts of Interest
References
- Papadopoulos, M.A.; Tarawneh, F. The use of miniscrew implants for temporary skeletal anchorage in orthodontics: A comprehensive review. Oral Surg. Oral Med. Oral Pathol. Oral Radiol. Endod. 2007, 103, e6–e15. [Google Scholar] [CrossRef]
- Tsui, W.K.; Chua, H.D.; Cheung, L.K. Bone anchor systems for orthodontic application: A systematic review. Int. J. Oral Maxillofac. Surg. 2012, 41, 1427–1438. [Google Scholar] [CrossRef]
- Afrashtehfar, K.I.; Del Fabbro, M. Clinical performance of zirconia implants: A meta-review. J. Prosthet. Dent. 2020, 123, 419–426. [Google Scholar] [CrossRef]
- Lyu, X.; Guo, J.; Chen, L.; Gao, Y.; Liu, L.; Pu, L.; Lai, W.; Long, H. Assessment of available sites for palatal orthodontic mini-implants through cone-beam computed tomography. Angle Orthod 2020, 90, 516–523. [Google Scholar] [CrossRef] [PubMed] [Green Version]
- Kanomi, R. Mini-implant for orthodontic anchorage. J. Clin. Orthod. 1997, 31, 763–767. [Google Scholar]
- Reichow, A.M.; Melo, A.C.; de Souza, C.M.; Castilhos, B.B.; Olandoski, M.; Alvim-Pereira, C.C.; Alvim-Pereira, F.; Trevilatto, P.C. Outcome of orthodontic mini-implant loss in relation to interleukin 6 polymorphisms. Int. J. Oral Maxillofac. Surg. 2016, 45, 649–657. [Google Scholar] [CrossRef] [PubMed]
- Wilmes, B.; Drescher, D. Impact of bone quality, implant type, and implantation site preparation on insertion torques of mini-implants used for orthodontic anchorage. Int. J. Oral Maxillofac. Surg. 2011, 40, 697–703. [Google Scholar] [CrossRef] [PubMed]
- Afrashtehfar, K.I. Patient and miniscrew implant factors influence the success of orthodontic miniscrew implants. Evid. Based Dent. 2016, 17, 109–110. [Google Scholar] [CrossRef]
- Tachibana, R.; Motoyoshi, M.; Shinohara, A.; Shigeeda, T.; Shimizu, N. Safe placement techniques for self-drilling orthodontic mini-implants. Int. J. Oral Maxillofac. Surg. 2012, 41, 1439–1444. [Google Scholar] [CrossRef]
- Wilmes, B.; Rademacher, C.; Olthoff, G.; Drescher, D. Parameters affecting primary stability of orthodontic mini-implants. J. Orofac. Orthop. Fortschr. Kieferorthopadie 2006, 67, 162–174. [Google Scholar] [CrossRef]
- Kuroda, S.; Sugawara, Y.; Deguchi, T.; Kyung, H.M.; Takano-Yamamoto, T. Clinical use of miniscrew implants as orthodontic anchorage: Success rates and postoperative discomfort. Am. J. Orthod. Dentofac. Orthop. 2007, 131, 9–15. [Google Scholar] [CrossRef]
- Uemura, M.; Motoyoshi, M.; Yano, S.; Sakaguchi, M.; Igarashi, Y.; Shimizu, N. Orthodontic mini-implant stability and the ratio of pilot hole implant diameter. Eur. J. Orthod. 2012, 34, 52–56. [Google Scholar] [CrossRef] [Green Version]
- Motoyoshi, M.; Hirabayashi, M.; Uemura, M.; Shimizu, N. Recommended placement torque when tightening an orthodontic mini-implant. Clin. Oral Implant. Res. 2006, 17, 109–114. [Google Scholar] [CrossRef]
- Matsuoka, M.; Motoyoshi, M.; Sakaguchi, M.; Shinohara, A.; Shigeede, T.; Saito, Y.; Matsuda, M.; Shimizu, N. Friction heat during self-drilling of an orthodontic miniscrew. Int. J. Oral Maxillofac. Surg. 2011, 40, 191–194. [Google Scholar] [CrossRef] [PubMed]
- Cheng, S.J.; Tseng, I.Y.; Lee, J.J.; Kok, S.H. A prospective study of the risk factors associated with failure of mini-implants used for orthodontic anchorage. Int. J. Oral Maxillofac. Implant. 2004, 19, 100–106. [Google Scholar]
- Park, H.S.; Jeong, S.H.; Kwon, O.W. Factors affecting the clinical success of screw implants used as orthodontic anchorage. Am. J. Orthod. Dentofac. Orthop. 2006, 130, 18–25. [Google Scholar] [CrossRef] [PubMed]
- Wu, T.Y.; Kuang, S.H.; Wu, C.H. Factors associated with the stability of mini-implants for orthodontic anchorage: A study of 414 samples in Taiwan. J. Oral Maxillofac. Surg. 2009, 67, 1595–1599. [Google Scholar] [CrossRef]
- Gurdan, Z.; Vajta, L.; Toth, A.; Lempel, E.; Joob-Fancsaly, A.; Szalma, J. Effect of pre-drilling on intraosseous temperature during self-drilling mini-implant placement in a porcine mandible model. J. Oral Sci. 2017, 59, 47–53. [Google Scholar] [CrossRef] [PubMed] [Green Version]
- Abouzgia, M.B.; James, D.F. Temperature rise during drilling through bone. Int. J. Oral Maxillofac. Implant. 1997, 12, 342–353. [Google Scholar]
- Eriksson, R.A.; Albrektsson, T. The effect of heat on bone regeneration: An experimental study in the rabbit using the bone growth chamber. J. Oral Maxillofac. Surg. 1984, 42, 705–711. [Google Scholar] [CrossRef]
- Mohlhenrich, S.C.; Modabber, A.; Steiner, T.; Mitchell, D.A.; Holzle, F. Heat generation and drill wear during dental implant site preparation: Systematic review. Br. J. Oral Maxillofac. Surg. 2015, 53, 679–689. [Google Scholar] [CrossRef]
- Quaranta, A.; Andreana, S.; Spazzafumo, L.; Piemontese, M. An in vitro evaluation of heat production during osteotomy preparation for dental implants with compressive osteotomes. Implant Dent. 2013, 22, 161–164. [Google Scholar] [CrossRef] [PubMed]
- Kim, H.J.; Yun, H.S.; Park, H.D.; Kim, D.H.; Park, Y.C. Soft-tissue and cortical-bone thickness at orthodontic implant sites. Am. J. Orthod. Dentofac. Orthop. 2006, 130, 177–182. [Google Scholar] [CrossRef] [PubMed]
- Sener, B.C.; Dergin, G.; Gursoy, B.; Kelesoglu, E.; Slih, I. Effects of irrigation temperature on heat control in vitro at different drilling depths. Clin. Oral Implant. Res. 2009, 20, 294–298. [Google Scholar] [CrossRef]
- Stelzle, F.; Frenkel, C.; Riemann, M.; Knipfer, C.; Stockmann, P.; Nkenke, E. The effect of load on heat production, thermal effects and expenditure of time during implant site preparation—An experimental ex vivo comparison between piezosurgery and conventional drilling. Clin. Oral Implant. Res. 2014, 25, e140–e148. [Google Scholar] [CrossRef] [PubMed]
- Augustin, G.; Davila, S.; Udiljak, T.; Vedrina, D.S.; Bagatin, D. Determination of spatial distribution of increase in bone temperature during drilling by infrared thermography: Preliminary report. Arch. Orthop. Trauma Surg. 2009, 129, 703–709. [Google Scholar] [CrossRef] [PubMed]
- Sedlin, E.D.; Hirsch, C. Factors affecting the determination of the physical properties of femoral cortical bone. Acta Orthop. Scand. 1966, 37, 29–48. [Google Scholar] [CrossRef] [PubMed]
- Nam, O.; Yu, W.; Choi, M.Y.; Kyung, H.M. Monitoring of Bone Temperature During Osseous Preparation for Orthodontic Micro-Screw Implants: Effect of Motor Speed and Ressure. Key Eng. Mater. 2006, 321–323, 1044–1047. [Google Scholar] [CrossRef]
- Wilmes, B.; Ottenstreuer, S.; Su, Y.Y.; Drescher, D. Impact of implant design on primary stability of orthodontic mini-implants. J. Orofac. Orthop. Fortschr. Kieferorthopadie 2008, 69, 42–50. [Google Scholar] [CrossRef] [PubMed]
- Mishra, S.K.; Chowdhary, R. Heat generated by dental implant drills during osteotomy-a review: Heat generated by dental implant drills. J. Indian Prosthodont. Soc. 2014, 14, 131–143. [Google Scholar] [CrossRef] [PubMed]
- Tehemar, S.H. Factors affecting heat generation during implant site preparation: A review of biologic observations and future considerations. Int. J. Oral Maxillofac. Implant. 1999, 14, 127–136. [Google Scholar]
- Pandey, R.K.; Panda, S.S. Drilling of bone: A comprehensive review. J. Clin. Orthop. Trauma 2013, 4, 15–30. [Google Scholar] [CrossRef] [Green Version]
- Barrak, I.; Boa, K.; Joob-Fancsaly, A.; Varga, E.; Sculean, A.; Piffko, J. Heat Generation During Guided and Freehand Implant Site Preparation at Drilling Speeds of 1500 and 2000 RPM at Different Irrigation Temperatures: An In Vitro Study. Oral Health Prev. Dent. 2019, 17, 309–316. [Google Scholar] [CrossRef] [PubMed]
- Barrak, I.; Joob-Fancsaly, A.; Braunitzer, G.; Varga, E., Jr.; Boa, K.; Piffko, J. Intraosseous Heat Generation During Osteotomy Performed Freehand and Through Template With an Integrated Metal Guide Sleeve: An In Vitro Study. Implant Dent. 2018, 27, 342–350. [Google Scholar] [CrossRef] [PubMed]
- Barrak, I.; Joob-Fancsaly, A.; Varga, E.; Boa, K.; Piffko, J. Effect of the Combination of Low-Speed Drilling and Cooled Irrigation Fluid on Intraosseous Heat Generation During Guided Surgical Implant Site Preparation: An In Vitro Study. Implant Dent. 2017, 26, 541–546. [Google Scholar] [CrossRef]
- Boa, K.; Barrak, I.; Varga, E., Jr.; Joob-Fancsaly, A.; Varga, E.; Piffko, J. Intraosseous generation of heat during guided surgical drilling: An ex vivo study of the effect of the temperature of the irrigating fluid. Br. J. Oral Maxillofac. Surg. 2016, 54, 904–908. [Google Scholar] [CrossRef]
- Papageorgiou, S.N.; Zogakis, I.P.; Papadopoulos, M.A. Failure rates and associated risk factors of orthodontic miniscrew implants: A meta-analysis. Am. J. Orthod. Dentofac. Orthop. 2012, 142, 577–595 e577. [Google Scholar] [CrossRef]
- Inoue, M.; Kuroda, S.; Yasue, A.; Horiuchi, S.; Kyung, H.M.; Tanaka, E. Torque ratio as a predictable factor on primary stability of orthodontic miniscrew implants. Implant Dent. 2014, 23, 576–581. [Google Scholar] [CrossRef]
- Eriksson, A.R.; Albrektsson, T. Temperature threshold levels for heat-induced bone tissue injury: A vital-microscopic study in the rabbit. J. Prosthet. Dent. 1983, 50, 101–107. [Google Scholar] [CrossRef]
- Eriksson, A.R.; Albrektsson, T.; Albrektsson, B. Heat caused by drilling cortical bone. Temperature measured in vivo in patients and animals. Acta Orthop. Scand. 1984, 55, 629–631. [Google Scholar] [CrossRef]
- Iyer, S.; Weiss, C.; Mehta, A. Effects of drill speed on heat production and the rate and quality of bone formation in dental implant osteotomies. Part II: Relationship between drill speed and healing. Int. J. Prosthodont. 1997, 10, 536–540. [Google Scholar] [PubMed]
- Isler, S.C.; Cansiz, E.; Tanyel, C.; Soluk, M.; Selvi, F.; Cebi, Z. The effect of irrigation temperature on bone healing. Int. J. Med. Sci. 2011, 8, 704–708. [Google Scholar] [CrossRef] [PubMed] [Green Version]
- Kondo, S.; Okada, Y.; Iseki, H.; Hori, T.; Takakura, K.; Kobayashi, A.; Nagata, H. Thermological study of drilling bone tissue with a high-speed drill. Neurosurgery 2000, 46, 1162–1168. [Google Scholar] [CrossRef] [PubMed]
- Ginta, T.; Ariwahjoedi, B. Cutting Force and Temperature Variation in Bone Drilling—A Review. Adv. Mater. Res. 2014, 845, 934–938. [Google Scholar] [CrossRef]
- Ben Achour, A.; Petto, C.; Meissner, H.; Hipp, D.; Nestler, A.; Lauer, G.; Teicher, U. The Influence of Thrust Force on the Vitality of Bone Chips Harvested for Autologous Augmentation during Dental Implantation. Materials 2019, 12, 3695. [Google Scholar] [CrossRef] [Green Version]
- Teicher, U.; Ben Achour, A.; Nestler, A.; Brosius, A.; Lauer, G. Process based analysis of manually controlled drilling processes for bone. AIP Conf. Proc. 2018, 1960, 070025. [Google Scholar] [CrossRef]
- Pellicer-Chover, H.; Penarrocha-Oltra, D.; Aloy-Prosper, A.; Sanchis-Gonzalez, J.C.; Penarrocha-Diago, M.A.; Penarrocha-Diago, M. Comparison of peri-implant bone loss between conventional drilling with irrigation versus low-speed drilling without irrigation. Med. Oral Patol. Oral Cir. Bucal 2017, 22, e730–e736. [Google Scholar] [CrossRef]





| Grouping Number | Drilling Speed (rpm) | Temperature of Irrigation Fluid (°C) | Number of Drillings | Mean (SD) Temperature Rise (°C) | Maximum Temperature Rise (°C) | Minimum Temperature Rise (°C) | Median Temperature Value (°C) |
|---|---|---|---|---|---|---|---|
| 1 | 200 | 10 | 40 | −2.45 (0.57) | −1.30 | −3.50 | −2.50 |
| 2 | 200 | 20 | 40 | 0.05 (0.07) | 0.20 | 0.00 | 0.00 |
| 3 | 200 | no irrigation | 40 | 2.22 (0.71) | 3.80 | 1.20 | 2.10 |
| 4 | 600 | 10 | 40 | −1.76 (0.35) | −1.00 | −2.80 | −1.80 |
| 5 | 600 | 20 | 40 | 1.02 (0.33) | 1.30 | 0.00 | 1.20 |
| 6 | 600 | no irrigation | 40 | 3.75 (0.97) | 6.10 | 2.00 | 3.75 |
| 7 | 900 | 10 | 40 | −1.02 (0.38) | 0.20 | −1.30 | −1.15 |
| 8 | 900 | 20 | 40 | 1.48 (0.56) | 2.60 | 0.50 | 1.30 |
| 9 | 900 | no irrigation | 40 | 5.92 (1.14) | 9.50 | 4.40 | 5.90 |
| 10 | 1200 | 10 | 40 | −0.18 (0.23) | 1.30 | 0.00 | 0.10 |
| 11 | 1200 | 20 | 40 | 1.86 (0.65) | 3.40 | 1.20 | 1.70 |
| 12 | 1200 | no irrigation | 40 | 7.76 (1.59) | 11.50 | 4.70 | 7.45 |
| Grouping Number | Drilling Speed (rpm) | Temperature of Irrigation Fluid (°C) | No significant Difference Could Be Observed p < 0.05 |
|---|---|---|---|
| 1 | 200 | 10 | 4 |
| 2 | 200 | 20 | 7, 10 |
| 3 | 200 | no irrigation | 6, 8, 11 |
| 4 | 600 | 10 | 1, 7 |
| 5 | 600 | 20 | 8, 10 |
| 6 | 600 | no irrigation | 3, 9 |
| 7 | 900 | 10 | 2, 4 |
| 8 | 900 | 20 | 3, 5, 11, 12 |
| 9 | 900 | no irrigation | 6, 12 |
| 10 | 1200 | 10 | 2, 5 |
| 11 | 1200 | 20 | 3, 8 |
| 12 | 1200 | no irrigation | 8, 9 |
Publisher’s Note: MDPI stays neutral with regard to jurisdictional claims in published maps and institutional affiliations. |
© 2021 by the authors. Licensee MDPI, Basel, Switzerland. This article is an open access article distributed under the terms and conditions of the Creative Commons Attribution (CC BY) license (https://creativecommons.org/licenses/by/4.0/).
Share and Cite
Barrak, I.; Braunitzer, G.; Piffkó, J.; Segatto, E. Heat Generation and Temperature Control during Bone Drilling for Orthodontic Mini-Implants: An In Vitro Study. Appl. Sci. 2021, 11, 7689. https://doi.org/10.3390/app11167689
Barrak I, Braunitzer G, Piffkó J, Segatto E. Heat Generation and Temperature Control during Bone Drilling for Orthodontic Mini-Implants: An In Vitro Study. Applied Sciences. 2021; 11(16):7689. https://doi.org/10.3390/app11167689
Chicago/Turabian StyleBarrak, Ibrahim, Gábor Braunitzer, József Piffkó, and Emil Segatto. 2021. "Heat Generation and Temperature Control during Bone Drilling for Orthodontic Mini-Implants: An In Vitro Study" Applied Sciences 11, no. 16: 7689. https://doi.org/10.3390/app11167689
APA StyleBarrak, I., Braunitzer, G., Piffkó, J., & Segatto, E. (2021). Heat Generation and Temperature Control during Bone Drilling for Orthodontic Mini-Implants: An In Vitro Study. Applied Sciences, 11(16), 7689. https://doi.org/10.3390/app11167689
