A Wireless Power Transfer Charger with Hybrid Compensation Topology for Constant Current/Voltage Onboard Charging
Abstract
:1. Introduction
2. Theoretical Analysis
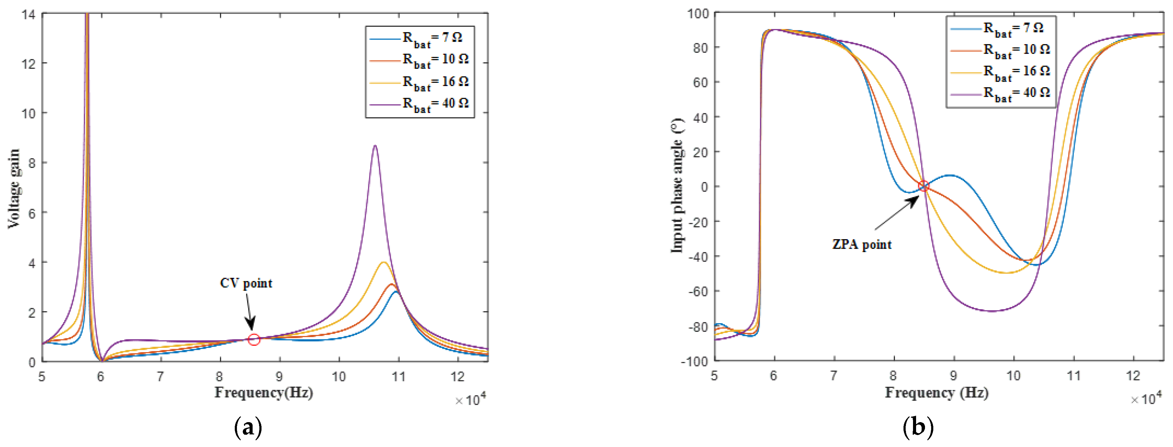
2.1. Implementation of CC Mode with ZPA Condition
- (1)
- Iteration is needed to determine the CV-output point of attachment of the parameter settings, which leads to a high required accuracy of the compensation parameters;
- (2)
- Under the resonant condition, the WPT systems are highly sensitive to changes in the coupling parameters of the LCT. If the coupling parameters change, the ZPA conditions cannot be realized in the CV output stage;
- (3)
- The increment of the working frequency inevitably increases the loss of the WPT system and can even lead to frequency bifurcation;
- (4)
- The operating frequency of the system is limited by relevant standards; thus, it cannot be improved in a wide range.
2.2. Implementation of CV Mode with ZPA Condition
3. Proposed CC and CV Charging Modes and Parameter Modification
3.1. Proposed CC and CV Charging Modes
3.2. The Parameter Modification
4. Experiment Verification
5. Conclusions
Author Contributions
Funding
Institutional Review Board Statement
Informed Consent Statement
Data Availability Statement
Conflicts of Interest
References
- Bil, C.; Simic, M.; Vojisavljevic, V. Design of a recharge station for UAVS using non-contact wireless power transfer. In Proceedings of the 54th AIAA Aerospace Sciences Meeting, San Diego, CA, USA, 4–8 January 2016; p. 1525. [Google Scholar]
- Liu, C.; Jiang, C.; Song, J.; Chau, K.T. An effective sandwiched wireless power transfer system for charging implantable cardiac pacemaker. IEEE Trans. Ind. Electron. 2019, 66, 4108–4117. [Google Scholar] [CrossRef]
- Xiao, C.; Cheng, D.; Wei, K. An LCC-C compensated wireless charging system for implantable cardiac pacemakers: Theory, experiment, and safety evaluation. IEEE Trans. Power Electron. 2018, 33, 4894–4905. [Google Scholar] [CrossRef]
- Fukuda, H.; Kobayashi, N.; Shizuno, K.; Yoshida, S.; Tanomura, M.; Hama, Y. New concept of an electromagnetic usage for contactless communication and power transmission in the ocean. In Proceedings of the 2013 IEEE International Underwater Technology Symposium (UT), Tokyo, Japan, 5–8 March 2013; pp. 1–4. [Google Scholar]
- Hui, S.Y. Planar wireless charging technology for portable electronic products and Qi. Proc. IEEE 2013, 101, 1290–1301. [Google Scholar] [CrossRef] [Green Version]
- Jang, Y.; Jovanovic, M.M. A contactless electrical energy transmission system for portable-telephone battery chargers. IEEE Trans. Ind. Electron. 2003, 50, 520–527. [Google Scholar] [CrossRef] [Green Version]
- Li, S.; Mi, C.C. Wireless power transfer for electric vehicle applications. IEEE J. Emerg. Sel. Top. Power Electron. 2015, 3, 4–17. [Google Scholar]
- Wu, H.H.; Gilchrist, A.; Sealy, K.D.; Bronson, D. A high efficiency 5 kW inductive charger for EVs using dual side control. IEEE Trans. Ind. Informat. 2012, 8, 585–595. [Google Scholar] [CrossRef] [Green Version]
- Ahn, D.; Kim, S.; Moon, J.; Cho, I.-K. Wireless power transfer with automatic feedback control of load resistance transformation. IEEE Trans. Power Electron. 2016, 31, 7876–7886. [Google Scholar] [CrossRef]
- Li, H.; Li, J.; Wang, K.; Chen, W.; Yang, X. A maximum efficiency point tracking control scheme for wireless power transfer systems using magnetic resonant coupling. IEEE Trans. Power Electron. 2015, 30, 3998–4008. [Google Scholar] [CrossRef]
- Vu, V.B.; Tran, D.H.; Choi, W. Implementation of the constant current and constant voltage charge of inductive power transfer systems with the double-sided LCC compensation topology for electric vehicle battery charge applications. IEEE Trans. Power Electron. 2018, 33, 7398–7410. [Google Scholar] [CrossRef] [Green Version]
- Yang, L.; Li, X.; Liu, S.; Cai, C.S. Analysis and design of an LCCC/S-compensated WPT system with constant output characteristics for battery charging applications. IEEE J. Emerg. Sel. Top. Power Electron. 2015, 9, 1169–1180. [Google Scholar] [CrossRef]
- Byeon, J.; Kang, M.; Kim, M.; Joo, D.-M.; Lee, B.K. Hybrid control of inductive power transfer charger for electric vehicles using LCCL-S resonant network in limited operating frequency range. In Proceedings of the 2016 IEEE Energy Conversion Congress and Exposition (ECCE), Milwaukee, WI, USA, 18–22 September 2016; pp. 1–6. [Google Scholar]
- Zhang, W.; Mi, C.C. Compensation topologies of high-power wireless power transfer systems. IEEE Trans. Veh. Technol. 2016, 65, 4768–4778. [Google Scholar] [CrossRef]
- Zhang, W.; Wong, S.C.; Tse, C.K.; Chen, Q. Design for efficiency optimization and voltage controllability of series–series compensated inductive power transfer systems. IEEE Trans. Power Electron. 2014, 29, 191–200. [Google Scholar] [CrossRef]
- Wang, C.W.; Stielau, O.H.; Covic, G.A. Design considerations for a contactless electric vehicle battery. IEEE Trans. Power Electron. 2005, 52, 1308–1314. [Google Scholar] [CrossRef]
- Auvigne, C.; Germano, P.; Ladas, D.; Perriard, Y. A dual-topology ICPT applied to an electric vehicle battery charger. In Proceedings of the International Conference on Electrical Machines, Marseille, France, 2–5 September 2012; pp. 2287–2292. [Google Scholar]
- Qu, X.; Han, H.; Wong, S.C.; Tse, C.K.; Chen, W. Hybrid WPT topologies with constant current or constant voltage output for battery charging applications. IEEE Trans. Power Electron. 2015, 30, 6329–6337. [Google Scholar] [CrossRef]
- Madawala, U.K.; Thrimawithana, D.J. A bidirectional inductive power interface for electric vehicles in V2G systems. IEEE Trans. Ind. Electron. 2011, 58, 4789–4796. [Google Scholar] [CrossRef]
- Li, S.; Li, W.; Deng, J.; Nguyen, T.D.; Mi, C. A double-sided LCC compensation network and its tuning method for wireless power transfer. IEEE Trans. Veh. Technol. 2015, 64, 2261–2273. [Google Scholar] [CrossRef]
- Feng, H.; Cai, T.; Duan, S.; Zhao, J.; Zhang, X.; Chen, C. An LCC compensated resonant converter optimized for robust reaction to large coupling variation in dynamic wireless power transfer. IEEE Trans. Ind. Electron. 2016, 63, 6591–6601. [Google Scholar] [CrossRef]
- Kan, T.; Nguyen, T.D.; White, J.C.; Malhan, R.K.; Mi, C. A new integration method for an electric vehicle wireless charging system using LCC compensation topology: Analysis and design. IEEE Trans. Power Electron. 2017, 32, 1638–1650. [Google Scholar] [CrossRef]
- Qu, X.; Jing, Y.; Han, H.; Wong, S.C.; Tse, C.K. Higher order compensation for inductive-power-transfer converters with constant voltage or constant-current output combating transformer parameter constraints. IEEE Trans. Power Electron. 2017, 32, 394–405. [Google Scholar] [CrossRef]
- Neath, M.J.; Swain, A.K.; Madawala, U.K.; Thrimawithana, D.J. An optimal PID controller for a bidirectional inductive power transfer system using multiobjective genetic algorithm. IEEE Trans. Power Electron. 2014, 29, 1523–1531. [Google Scholar] [CrossRef]
- Kim, M.; Joo, D.M.; Lee, B.K. Design and control of inductive power transfer system for electric vehicles considering wide variation of output voltage and coupling coefficient. IEEE Trans. Power Electron. 2019, 34, 1197–1208. [Google Scholar] [CrossRef]
- Chen, Y.F.; Zhang, H.L.; Park, S.J.; Kim, D.H. A switching hybrid LCC-S compensation topology for constant current/voltage EV wireless charging. IEEE Access 2019, 7, 133924–133935. [Google Scholar] [CrossRef]
- Zhang, H.L.; Chen, Y.F.; Park, S.J.; Kim, D.H. Hybrid compensation topology with single switch for battery charging of inductive power transfer systems. IEEE Access 2019, 7, 171095–171104. [Google Scholar] [CrossRef]
- Cai, C.S.; Wang, J.; Fang, Z.; Zhang, P.; Hu, M.; Zhang, J.; Li, L.; Lin, Z. Design and optimization of load-independent magnetic resonant wireless charging system for electric vehicles. IEEE Access 2018, 6, 17264–17274. [Google Scholar] [CrossRef]
- Wang, Y.; Yao, Y.; Liu, X.; Xu, D.; Cai, L. An LC/S compensation topology and coil design technique for wireless power transfer. IEEE Trans. Power Electron. 2018, 33, 2007–2025. [Google Scholar] [CrossRef]
- Erickson, R.W.; Maksimovic, D. Fundamentals of Power Electronics, 2nd ed.; Kluwer: Norwell, MA, USA, 2001. [Google Scholar]





















| Symbols | Symbols | Symbols | Symbols |
|---|---|---|---|
| 100 V | 11.51 uH | ||
| 85 kHz | 11.48 uH | ||
| 122.9 nF | 305.7 nF | ||
| 123.8 nF | 305.9 nF | ||
| 610.48 nF |
| Symbols | Symbols | Symbols | Symbols |
|---|---|---|---|
| 0.267 | 10.75 uH | ||
| 40.8 uH | 13.31 mΩ | ||
| 39.9 uH | 23.65 mΩ |
Publisher’s Note: MDPI stays neutral with regard to jurisdictional claims in published maps and institutional affiliations. |
© 2021 by the authors. Licensee MDPI, Basel, Switzerland. This article is an open access article distributed under the terms and conditions of the Creative Commons Attribution (CC BY) license (https://creativecommons.org/licenses/by/4.0/).
Share and Cite
Li, G.; Kim, D.-H. A Wireless Power Transfer Charger with Hybrid Compensation Topology for Constant Current/Voltage Onboard Charging. Appl. Sci. 2021, 11, 7569. https://doi.org/10.3390/app11167569
Li G, Kim D-H. A Wireless Power Transfer Charger with Hybrid Compensation Topology for Constant Current/Voltage Onboard Charging. Applied Sciences. 2021; 11(16):7569. https://doi.org/10.3390/app11167569
Chicago/Turabian StyleLi, Guangyao, and Dong-Hee Kim. 2021. "A Wireless Power Transfer Charger with Hybrid Compensation Topology for Constant Current/Voltage Onboard Charging" Applied Sciences 11, no. 16: 7569. https://doi.org/10.3390/app11167569
APA StyleLi, G., & Kim, D.-H. (2021). A Wireless Power Transfer Charger with Hybrid Compensation Topology for Constant Current/Voltage Onboard Charging. Applied Sciences, 11(16), 7569. https://doi.org/10.3390/app11167569

