Investigation of Electro-Elastic Properties for LN Single Crystals at Low Temperature
Abstract
:1. Introduction
2. Experimental Section
3. Results and Discussion
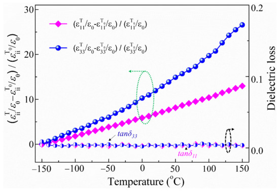
3.1. Temperature Dependence of Dielectric Permittivity
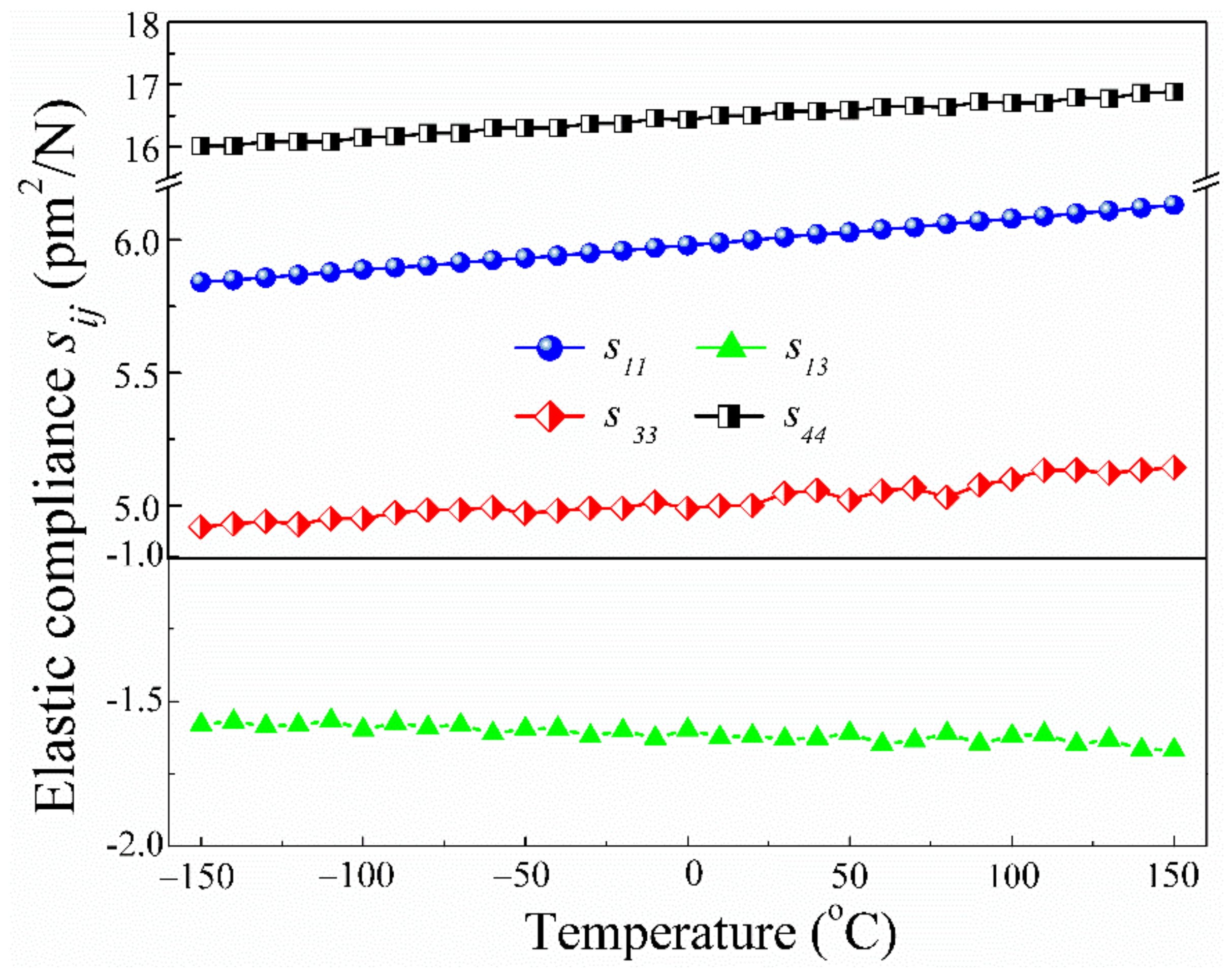
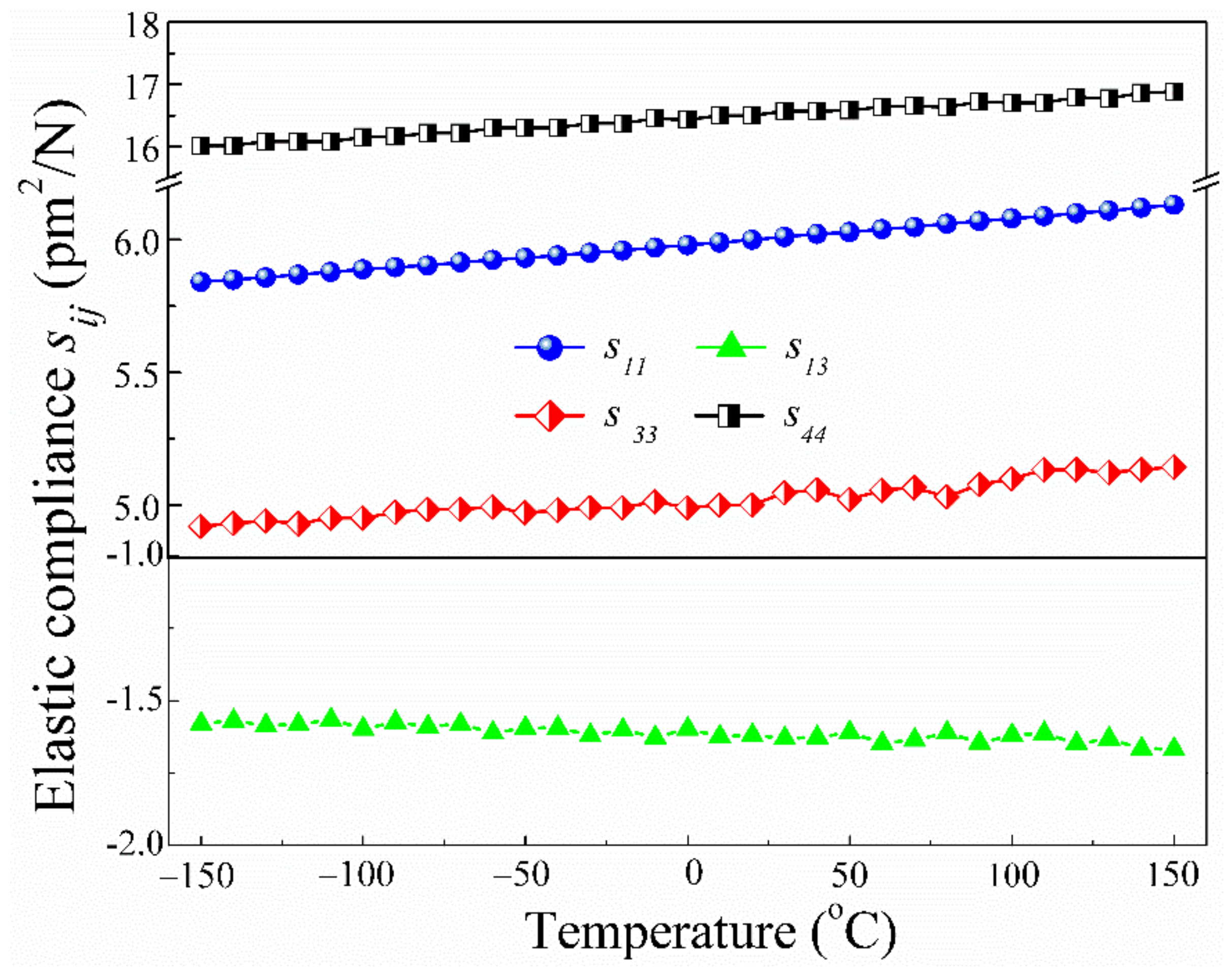
3.2. Temperature Dependence of Elastic Compliance
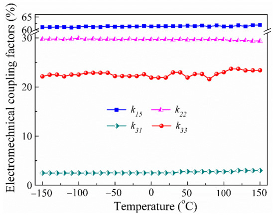
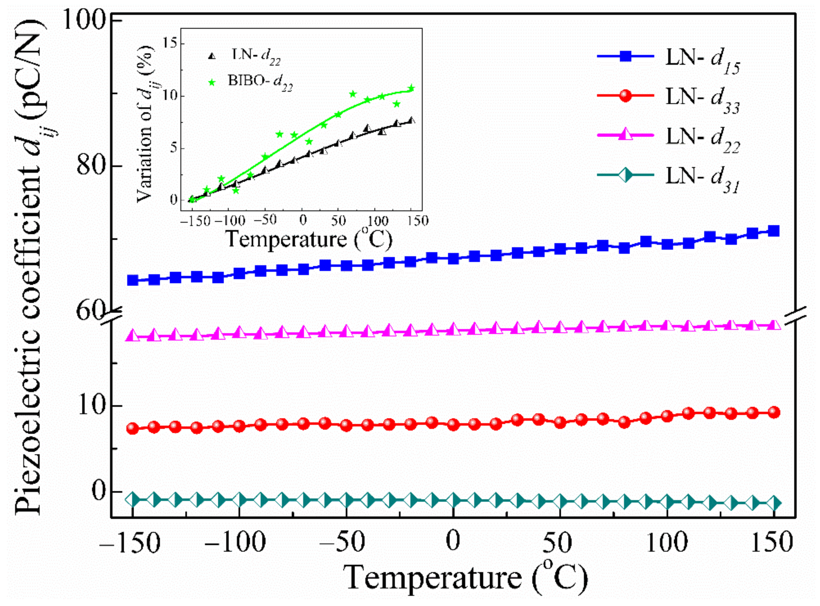
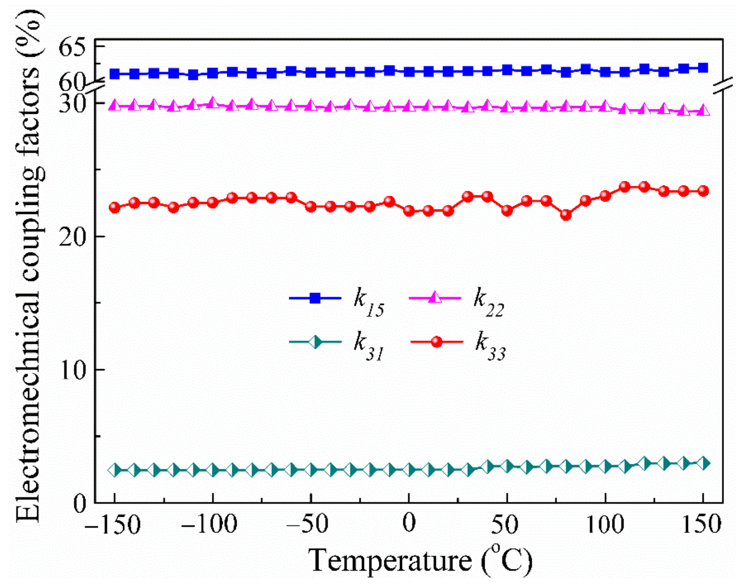
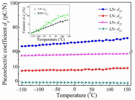
3.3. Temperature Dependence of Electromechanical Coupling Factor and Piezoelectric Coefficient
4. Conclusions
Author Contributions
Funding
Institutional Review Board Statement
Informed Consent Statement
Acknowledgments
Conflicts of Interest
References
- Bartasyte, A.; Margueron, S.; Baron, T.; Oliveri, S.; Boulet, P. Toward high-quality epitaxial LiNbO3 and LiTaO3 thin films for acoustic and optical applications. Adv. Mater. Interfaces 2017, 4, 1600998. [Google Scholar] [CrossRef]
- Sánchez-Dena, O.; Fierro-Ruiz, C.D.; Villalobos-Mendoza, S.D.; Flores, D.M.C.; Elizalde-Galindo, J.T.; Farías, R. Lithium niobate single crystals and powders reviewed-Part I. Crystals 2020, 10, 973. [Google Scholar] [CrossRef]
- Sánchez-Dena, O.; Villalobos-Mendoza, S.D.; Farías, R.; Fierro-Ruiz, C.D. Lithium niobate single crystals and powders reviewed—Part II. Crystals 2020, 10, 990. [Google Scholar] [CrossRef]
- Liu, H.; Sang, Y.H.; Sun, D.H.; Wang, D.Z.; Wang, J.Y. Lithium niobate crystals in the information age: Progress and prospect. J. Synth. Cryst. 2021, 50, 708–715. [Google Scholar]
- Sun, J.; Hao, Y.X.; Zhang, L.; Xu, J.J.; Zhu, S.N. Brief review of lithium niobate crystal and its applications. J. Synth. Cryst. 2020, 49, 947–964. [Google Scholar]
- Zhang, F.; Kang, H.; Lin, Y.X.; Guan, L.; Aslan, H.; Zhang, M.N.; Niu, L.; Dong, M.D. Studying the pyroelectric effects of LiNbO3 modified composites. Nanoscale Res. Lett. 2020, 15, 106. [Google Scholar] [CrossRef] [PubMed]
- Kong, Y.F.; Bo, F.; Wang, W.W.; Zheng, D.H.; Liu, H.D.; Zhang, G.Q.; Rupp, R.; Xu, J.J. Recent progress in lithium niobate: Optical damage, defect simulation, and on-chip devices. Adv. Mater. 2020, 32, 1806452. [Google Scholar] [CrossRef] [PubMed]
- Tian, S.W.; Jiang, C.; Chen, F.F.; Yu, F.P.; Li, Y.L.; Cheng, X.F.; Wang, Z.P.; Zhao, X. Damage mechanism and electro-elastic stability of LiNbO3 crystals irradiated with 6 MeV Xe23+. RSC Adv. 2020, 10, 21754–21759. [Google Scholar] [CrossRef]
- Kadota, M.; Tanaka, S.J. Wideband acoustic wave resonators composed of hetero acoustic layer structure. Jpn. J. Appl. Phys. 2018, 57, 07LD12. [Google Scholar] [CrossRef]
- Liu, C.; Yang, K.; Zhao, S.; Li, Y.; Li, G.; Li, D.; Li, T.; Qian, W.; Feng, T.; Chen, X. 88 ns multi-millijoule LiNbO3 electro-optically Q-switched Tm:LuAG laser. Opt. Commun. 2015, 355, 167–171. [Google Scholar] [CrossRef]
- Guo, Y.J.; Zhang, J.; Zhao, C.; Hu, P.A.; Zu, X.T.; Fu, Y.Q. Graphene/LiNbO3 surface acoustic wave device based relative humidity sensor. Optik 2014, 125, 5800–5802. [Google Scholar] [CrossRef]
- Xu, Z.P.; Xu, S.W.; Xu, Y.H. Growth of In: Fe: LiNbO3 crystals and its application in holographic associative storage. J. Chin. Ceram. Soc. 2005, 33, 950–953. [Google Scholar]
- Dagli, N. High-Speed Photonic Devices, Series in Optics and Optoelectronics; CRC Press: Boca Raton, FL, USA, 2006. [Google Scholar]
- Osugi, Y.; Yoshino, T.; Suzuki, K.; Hirai, T. Single crystal FBAR with LiNbO3 and LiTaO3 piezoelectric substance layers. In Proceedings of the 2007 IEEE/MTT-S International Microwave Symposium, Honolulu, HI, USA, 3–8 June 2007; pp. 873–876. [Google Scholar]
- Wang, Y.; Jiang, Y.J. Crystal orientation dependence of piezoelectric properties in LiNbO3 and LiTaO3. Opt. Mater. 2003, 23, 403–408. [Google Scholar]
- Zhang, P.L.; Zhong, W.L. Piezoelectric Materials and Device Physics; Shandong Technology Press: Jinan, Chnia, 1997. [Google Scholar]
- Weng, W.S. Electromechanical coupling coefficients for some modes of vibration of lithium niobate single crystal. Acta Acust. 1985, 10, 180–189. [Google Scholar]
- Pop, F.V.; Kochhar, A.S.; Vidal-Alvarez, G.; Piazza, G. Laterally vibrating lithium niobate mems resonators with 30 % electromechanical coupling coefficient. In Proceedings of the 2017 IEEE 30th International Conference on Micro Electro Mechanical Systems (MEMS), Las Vegas, NV, USA, 22–26 January 2017; pp. 22–26. [Google Scholar]
- Bai, X.Y.; Yao, S.; Luo, W.B.; Wu, C.G.; Zhang, W.L. The simulation of resonant mode and effective electromechanical coupling coefficient of lithium niobate crystal with different orientations. J. Phys. Conf. Ser. 2020, 1637, 012064. [Google Scholar] [CrossRef]
- Smith, R.T.; Welsh, F.S. Temperature dependence of the elastic, piezoelectric, and dielectric constants of lithium tantalate and lithium niobate. J. Appl. Phys. 1971, 42, 2219–2230. [Google Scholar] [CrossRef]
- Tarumi, R.; Matsuhisa, T.; Shibutani, Y.J. Low temperature elastic constants and piezoelectric coefficients of LiNbO3 and LiTaO3: Resonant ultrasound spectroscopy measurement and lattice dynamics analysis. Jpn. J. Appl. Phys. 2012, 51, 07GA02. [Google Scholar] [CrossRef]
- Chen, F.F.; Kong, L.F.; Song, W.; Jiang, C.; Tian, S.W.; Yu, F.P.; Qin, L.F.; Wang, C.M.; Zhao, X. The electromechanical features of LiNbO3 crystal for potential high temperature piezoelectric applications. J. Mater. 2019, 5, 73–80. [Google Scholar] [CrossRef]





Publisher’s Note: MDPI stays neutral with regard to jurisdictional claims in published maps and institutional affiliations. |
© 2021 by the authors. Licensee MDPI, Basel, Switzerland. This article is an open access article distributed under the terms and conditions of the Creative Commons Attribution (CC BY) license (https://creativecommons.org/licenses/by/4.0/).
Share and Cite
Chen, F.; Jiang, C.; Yu, F.; Cheng, X.; Zhao, X. Investigation of Electro-Elastic Properties for LN Single Crystals at Low Temperature. Appl. Sci. 2021, 11, 7374. https://doi.org/10.3390/app11167374
Chen F, Jiang C, Yu F, Cheng X, Zhao X. Investigation of Electro-Elastic Properties for LN Single Crystals at Low Temperature. Applied Sciences. 2021; 11(16):7374. https://doi.org/10.3390/app11167374
Chicago/Turabian StyleChen, Feifei, Chao Jiang, Fapeng Yu, Xiufeng Cheng, and Xian Zhao. 2021. "Investigation of Electro-Elastic Properties for LN Single Crystals at Low Temperature" Applied Sciences 11, no. 16: 7374. https://doi.org/10.3390/app11167374
APA StyleChen, F., Jiang, C., Yu, F., Cheng, X., & Zhao, X. (2021). Investigation of Electro-Elastic Properties for LN Single Crystals at Low Temperature. Applied Sciences, 11(16), 7374. https://doi.org/10.3390/app11167374

