Effects of Different Freezing Methods on Water Distribution, Microstructure and Protein Properties of Cuttlefish during the Frozen Storage
Abstract
:1. Introduction
2. Materials and Methods
2.1. Sample Preparation
2.2. Freezing Treatment
2.3. Thawing Loss
2.4. Cooking Loss
2.5. Centrifugal Loss
2.6. PH
2.7. Low-Field Nuclear Magnetic Resonance (LF-NMR)
2.8. Determination of Microstructure by SEM
2.9. Myofibrillar Protein Extraction
2.10. Determination of Sulfhydryl (SH) Group Content
2.11. Total Volatile Base Nitrogen (TVB-N)
2.12. Fourier Infrared Spectroscopy
2.13. Lipid Oxidation
2.14. Sensory Evaluation
2.15. Statistical Analysis
3. Results and Discussion
3.1. Freezing Time
3.2. Water Retention
3.3. PH
3.4. Transverse Relaxation Time (T2) of LF-NMR
3.5. Total Sulfhydryl Content (T-SH)
3.6. TVB-N
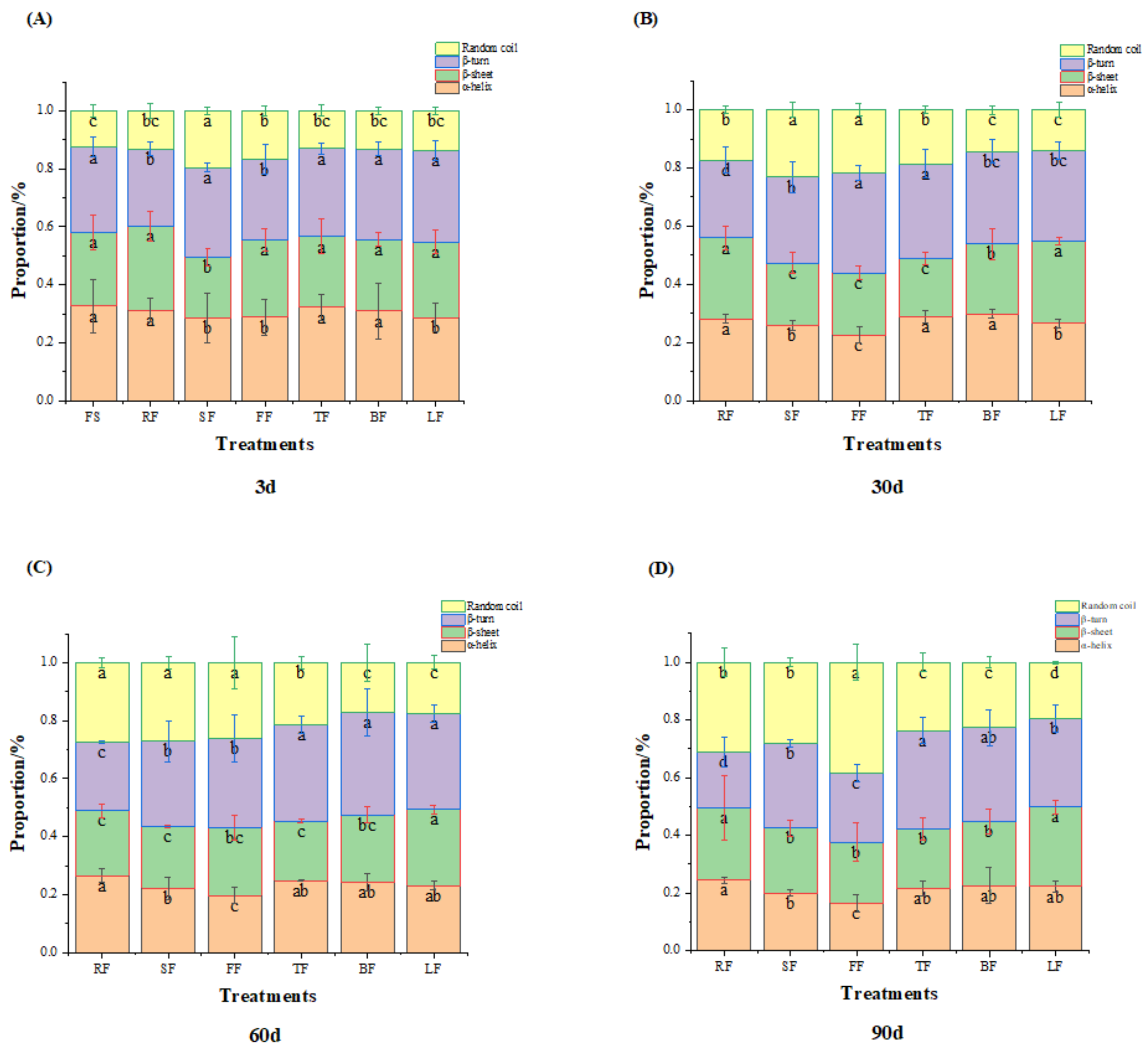
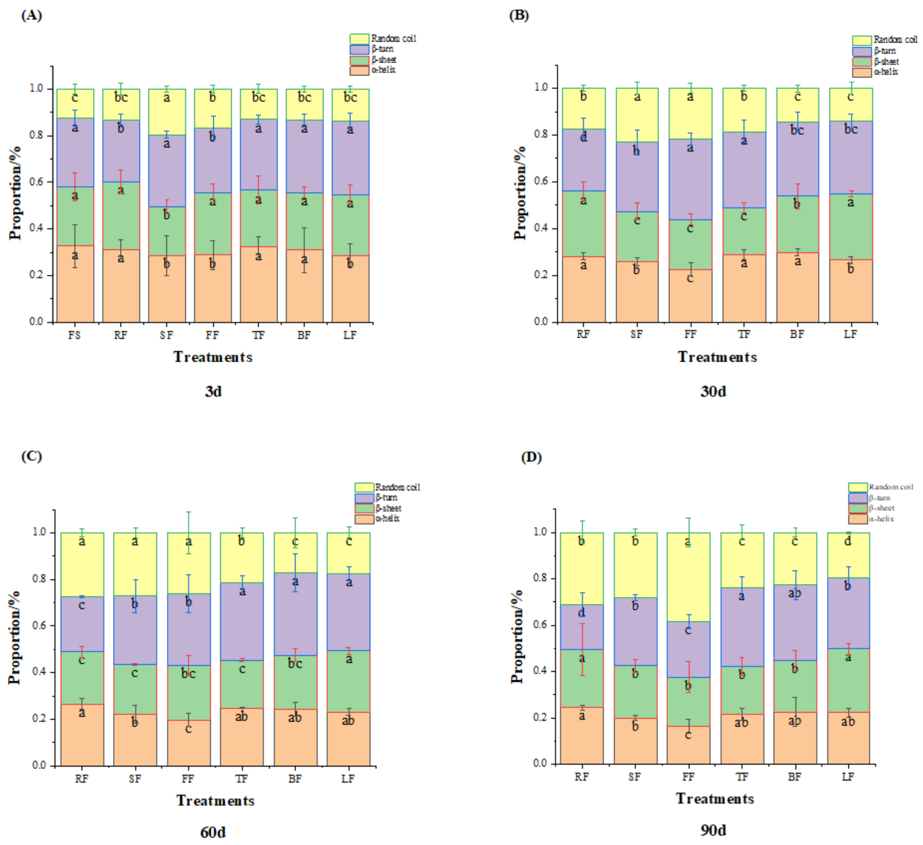
3.7. ATR-FTIR
3.8. Microscopic Observation
3.9. MDA
3.10. Sensory Evaluation
4. Conclusions
Author Contributions
Funding
Institutional Review Board Statement
Informed Consent Statement
Data Availability Statement
Conflicts of Interest
References
- Mozuraityte, R.; Standal, I.B.; Cropotova, J.; Budźko, E.; Rustad, T. Superchilled, chilled and frozen storage of Atlantic mackerel (Scomber scombrus)—Effect on lipids and low molecular weight metabolites. Int. J. Food Sci. Technol. 2020, 56, 1918–1928. [Google Scholar] [CrossRef]
- Sun, Q.; Sun, F.; Xia, X.; Xu, H.; Kong, B. The comparison of ultrasound-assisted immersion freezing, air freezing and immersion freezing on the muscle quality and physicochemical properties of common carp (Cyprinus carpio) during freezing storage. Ultrason. Sonochem. 2019, 51, 281–291. [Google Scholar] [CrossRef]
- Nakazawa, N.; Wada, R.; Fukushima, H.; Tanaka, R.; Kono, S.; Okazaki, E. Effect of long-term storage, ultra-low temperature, and freshness on the quality characteristics of frozen tuna meat. Int. J. Refrig. 2020, 112, 270–280. [Google Scholar] [CrossRef]
- Martinez, I.; Bathen, T.; Standal, I.B.; Halvorsen, J.; Aursand, M.; Gribbestad, I.S.; Axelson, D.E. Bioactive Compounds in Cod (Gadus morhua) Products and Suitability of1H NMR Metabolite Profiling for Classification of the Products Using Multivariate Data Analyses. J. Agric. Food Chem. 2005, 53, 6889–6895. [Google Scholar] [CrossRef] [PubMed]
- Boonsumrej, S.; Chaiwanichsiri, S.; Tantratian, S.; Suzuki, T.; Takai, R. Effects of freezing and thawing on the quality changes of tiger shrimp (Penaeus monodon) frozen by air-blast and cryogenic freezing. J. Food Eng. 2007, 80, 292–299. [Google Scholar] [CrossRef]
- Gonçalves, A.A.; Ribeiro, J.L.D. Optimization of the freezing process of red shrimp (Pleoticus muelleri) previously treated with phosphates. Int. J. Refrig. 2008, 31, 1134–1144. [Google Scholar] [CrossRef]
- Cohen-Zinder, M.; Orlov, A.; Trofimyuk, O.; Agmon, R.; Kabiya, R.; Shor-Shimoni, E.; Wagner, E.K.; Hussey, K.; Leibovich, H.; Miron, J.; et al. Dietary supplementation of Moringa oleifera silage increases meat tenderness of Assaf lambs. Small Rumin. Res. 2017, 151, 110–116. [Google Scholar] [CrossRef]
- Li, X.-X.; Sun, P.; Jia, J.-Z.; Cai, L.-Y.; Li, J.-R.; Lv, Y.-F.; Li, X.-X.; Sun, P.; Jia, J.-Z.; Cai, L.-Y.; et al. Effect of low frequency ultrasound thawing method on the quality characteristics of Peru squid (Dosidicus gigas). Food Sci. Technol. Int. 2018, 25, 171–181. [Google Scholar] [CrossRef]
- Tan, M.; Ye, J.; Chu, Y.; Xie, J. The effects of ice crystal on water properties and protein stability of large yellow croaker (Pseudosciaena crocea). Int. J. Refrig. 2021. [Google Scholar] [CrossRef]
- Wang, J.; Yu, W.; Xie, J. Effect of Glazing with Different Materials on the Quality of Tuna During Frozen Storage. Foods 2020, 9, 231. [Google Scholar] [CrossRef] [Green Version]
- Syamaladevi, R.; Manahiloh, K.; Muhunthan, B.; Sablani, S.S. Understanding the Influence of State/Phase Transitions on Ice Recrystallization in Atlantic Salmon (Salmo salar) During Frozen Storage. Food Biophys. 2011, 7, 57–71. [Google Scholar] [CrossRef]
- Li, P.; Mei, J.; Xie, J. Chitosan-sodium alginate bioactive coatings containing ε-polylysine combined with high CO2 modified atmosphere packaging inhibit myofibril oxidation and degradation of farmed pufferfish (Takifugu obscurus) during cold storage. LWT 2021, 140, 110652. [Google Scholar] [CrossRef]
- Yu, D.; Regenstein, J.M.; Zang, J.; Jiang, Q.; Xia, W.; Xu, Y. Inhibition of microbial spoilage of grass carp (Ctenopharyngodon idellus) fillets with a chitosan-based coating during refrigerated storage. Int. J. Food Microbiol. 2018, 285, 61–68. [Google Scholar] [CrossRef] [PubMed]
- Kobayashi, Y.; Mayer, S.G.; Park, J.W. FT-IR and Raman spectroscopies determine structural changes of tilapia fish protein isolate and surimi under different comminution conditions. Food Chem. 2017, 226, 156–164. [Google Scholar] [CrossRef]
- Zhang, X.; Gao, T.; Song, L.; Zhang, L.; Jiang, Y.; Li, J.-L.; Gao, F.; Zhou, G.-H. Effects of different thawing methods on the quality of chicken breast. Int. J. Food Sci. Technol. 2017, 52, 2097–2105. [Google Scholar] [CrossRef]
- Meral, R.; Alav, A.; Karakas, C.; Dertli, E.; Yilmaz, M.T.; Ceylan, Z. Effect of electrospun nisin and curcumin loaded nanomats on the microbial quality, hardness and sensory characteristics of rainbow trout fillet. LWT 2019, 113, 108292. [Google Scholar] [CrossRef]
- Xu, Z.; Guo, Y.; Ding, S.; An, K.; Wang, Z. Freezing by immersion in liquid CO2 at variable pressure. Innov. Food Sci. Emerg. Technol. 2014, 22, 167–174. [Google Scholar] [CrossRef]
- Zorzi, K.; Bonilha, S.; Queiroz, A.; Branco, R.; Sobrinho, T.; Duarte, M. Meat quality of young Nellore bulls with low and high residual feed intake. Meat Sci. 2013, 93, 593–599. [Google Scholar] [CrossRef] [PubMed]
- Queiroga, I.M.B.N.; Silva, J.A.d.; Cavalheiro, J.M.O.; Queiroga, R.d.C.R.E.; Batista, A.S.M.; Barreto, T.A. Sensory quality of frozen shrimp Litopenaeus vannamei. Semin. Ciênc. Agrá. 2014, 35, 1801–1812. [Google Scholar] [CrossRef] [Green Version]
- Duman, M.; Peksezer, B. Chemical and sensory quality changes in fish balls prepared from Alburnus mossulensis Heckel, 1843 during frozen storage. J. Appl. Ichthyol. 2016, 32, 559–563. [Google Scholar] [CrossRef]
- Finch, E.D.; Harmon, J.; Muller, B.H. Pulsed NMR measurements of the diffusion constant of water in muscle. Arch. Biochem. Biophys. 1971, 147, 299–310. [Google Scholar] [CrossRef]
- Sánchez-Alonso, I.; Martinez, I.; Sánchez-Valencia, J.; Careche, M. Estimation of freezing storage time and quality changes in hake (Merluccius merluccius, L.) by low field NMR. Food Chem. 2012, 135, 1626–1634. [Google Scholar] [CrossRef] [PubMed] [Green Version]
- Tan, M.; Xie, J. Exploring the Effect of Dehydration on Water Migrating Property and Protein Changes of Large Yellow Croaker (Pseudosciaena crocea) during Frozen Storage. Foods 2021, 10, 784. [Google Scholar] [CrossRef] [PubMed]
- Feng, X.; Li, C.; Ullah, N.; Cao, J.; Lan, Y.; Ge, W.; Hackman, R.M.; Li, Z.; Chen, L. Susceptibility of whey protein isolate to oxidation and changes in physicochemical, structural, and digestibility characteristics. J. Dairy Sci. 2015, 98, 7602–7613. [Google Scholar] [CrossRef] [PubMed] [Green Version]
- Huang, W.; Wang, J.; Song, H.; Zhang, Q.; Liu, G. Effect of Antimicrobial Packaging Film Coated with Ajowan and Cinnamon Essential Oil on Shelf Life of Fresh Chilled Pork. In Applied Sciences in Graphic Communication and Packaging; Springer: Berlin/Heidelberg, Germany, 2018; pp. 787–797. [Google Scholar] [CrossRef]
- Ngapo, T.; Babare, I.; Reynolds, J.; Mawson, R. A preliminary investigation of the effects of frozen storage on samples of pork. Meat Sci. 1999, 53, 169–177. [Google Scholar] [CrossRef]
- Lin, W.-L.; Zeng, Q.-X.; Zhu, Z.-W. Different changes in mastication between crisp grass carp (Ctenopharyngodon idellus C.et V) and grass carp (Ctenopharyngodon idellus) after heating: The relationship between texture and ultrastructure in muscle tissue. Food Res. Int. 2009, 42, 271–278. [Google Scholar] [CrossRef]
- Bremner, H.A.; Hallett, I.C. Muscle Fiber–Connective Tissue Junctions in the Fish Blue Grenadier (Macruronus novaezelandiae). A Scanning Electron Microscope Study. J. Food Sci. 2010, 50, 975–980. [Google Scholar] [CrossRef]
- Kaale, L.D.; Eikevik, T.M. Changes of proteins during superchilled storage of Atlantic salmon muscle (Salmo salar). J. Food Sci. Technol. 2015, 53, 441–450. [Google Scholar] [CrossRef] [Green Version]
- Nurkhoeriyati, T.; Huda, N.; Ahmad, R. Physicochemical Properties and Sensory Analysis of Duck Meatballs Containing Duck Meat Surimi-Like Material during Frozen Storage. J. Food Sci. 2012, 77, S91–S98. [Google Scholar] [CrossRef]
- Ruiz-Capillas, C.; Moral, A. Sensory and biochemical aspects of quality of whole bigeye tuna (Thunnus obesus) during bulk storage in controlled atmospheres. Food Chem. 2005, 89, 347–354. [Google Scholar] [CrossRef]











| Freezing Methods | Time to Pass the Maximum Ice Crystal Generation Zone of −1 to −5 °C (min) | Total Freezing Time (4 °C~−18 °C) (min) |
|---|---|---|
| RF (Refrigerator direct-freezing) | 165.52 ± 20.51 a | 635.87 ± 57.2 a |
| SF (29.3% Saline solution impregnation freezing) | 67.5 ± 11.20 b | 365.44 ± 33.4 b |
| FF (Flat freezing) | 34.5 ± 3.58 c | 295.53 ± 31.5 c |
| TF (Tunnel type continuous freezing) | 21.8 ± 2.77 c | 187.14 ± 10.55 d |
| BF (Air-blast freezing) | 20.4 ± 1.89 c | 155.0 ± 9.43 d |
| LF (Liquid nitrogen freezing) | 1.5 ± 0.22 d | 6.52 ± 0.65 e |
Publisher’s Note: MDPI stays neutral with regard to jurisdictional claims in published maps and institutional affiliations. |
© 2021 by the authors. Licensee MDPI, Basel, Switzerland. This article is an open access article distributed under the terms and conditions of the Creative Commons Attribution (CC BY) license (https://creativecommons.org/licenses/by/4.0/).
Share and Cite
Lv, Y.; Chu, Y.; Zhou, P.; Mei, J.; Xie, J. Effects of Different Freezing Methods on Water Distribution, Microstructure and Protein Properties of Cuttlefish during the Frozen Storage. Appl. Sci. 2021, 11, 6866. https://doi.org/10.3390/app11156866
Lv Y, Chu Y, Zhou P, Mei J, Xie J. Effects of Different Freezing Methods on Water Distribution, Microstructure and Protein Properties of Cuttlefish during the Frozen Storage. Applied Sciences. 2021; 11(15):6866. https://doi.org/10.3390/app11156866
Chicago/Turabian StyleLv, Ying, Yuanming Chu, Pengcheng Zhou, Jun Mei, and Jing Xie. 2021. "Effects of Different Freezing Methods on Water Distribution, Microstructure and Protein Properties of Cuttlefish during the Frozen Storage" Applied Sciences 11, no. 15: 6866. https://doi.org/10.3390/app11156866
APA StyleLv, Y., Chu, Y., Zhou, P., Mei, J., & Xie, J. (2021). Effects of Different Freezing Methods on Water Distribution, Microstructure and Protein Properties of Cuttlefish during the Frozen Storage. Applied Sciences, 11(15), 6866. https://doi.org/10.3390/app11156866

