Abstract
The treatment of sulfate-bearing soil with calcium-based stabilizers such as cement or lime often results in ettringite formation, consequently leading to swelling and strength deterioration. Ettringite formation has negative environmental and economic effects on various civil engineering structures. This study was conducted to investigate the use of different materials (nano–magnesium oxide (M), ground granulated blast-furnace slag (GGBS), and rice husk ash (RHA)) for gypseous soil stabilization to prevent ettringite formation. Various tests were performed, including flexural strength, unconfined compression strength, linear expansion, and microstructure analysis (SEM/EDX), on lime (L)-, (M)-, (M-RHA)-, (M-GGBS)-, and (M-GGBS-RHA)-stabilized gypseous soil samples to determine their properties. The results indicated that the swelling rates of the soil samples mixed with 20% M-RHA, M-GGBS, and M-GGBS-RHA binders were much lower (less than 0.01% of volume change) than those of the soil samples mixed with 10% and 20% lime-stabilized binders after a curing period of 90 days. Meanwhile, the strengths of the soil samples mixed with 20% of M-RHA, M-GGBS, and M-GGBS-RHA soil specimens after soaking of 90 days were obviously higher (with a range from 2.7–12.8 MPa) than those of the soil samples mixed with 20% of lime-stabilized binder. The SEM and EDX results showed no ettringite formation in the M-RHA-, M-GGBS-, and M-GGBS-RHA-stabilized soils. Overall, the test results proved the potential of M-RHA, M-GGBS, and M-GGBS-RHA as effective soil stabilizers.
1. Introduction
Gypseous soils are soils containing significant amounts of calcium sulfates (CaSO4 × 2H2O). Such soils are widely distributed in many countries, such as the US, UK, India, Africa, and Australia [,]. Gypseous soils are common in highway pavement construction, but they often pose many problems, such as cracking, collapsing, and pavement layer settlement, thereby making pavement and highway construction on such soil a challenge to geotechnical engineers [,,]. One of the proven economical ways to improve the engineering properties of soil samples is via chemical soil stabilization [,,]. The most common soil stabilization method is the addition of cement or lime to increase the soil’s durability and strength [,,,,,,,]. However, adverse effects of ground heave have been reported when using cement and lime to stabilize sulfate-rich soil. Sulfate-induced heave is well known to have serious negative impacts on the general performance of runways, highways, and other structures that are constructed on lime- or cement-stabilized sulfate-rich soil layers [,,]. The application of lime or cement on sulfate-rich soils frequently elicits a series of reactions that result in the formation of ettringite [Ca6Al2(SO4)3(OH)12 × 26H2O], which is an expansive sulfate-mineral-based compound [,,]. Ettringite contains 26 water molecules and can resist expansive increases in volume when exposed to hydration, thereby leading to a significant heave effect, swelling, and decline in compressive strength []. Many types of equipment and tests have been utilized to determine the negative impact of sulfate on soil stabilization. The most common equipment and tests are unconfined compressive strength tests used to reveal the influence of ettringite on the strength of soil samples containing sulfate, and linear expansion to observe the magnitude of swelling induced by ettringite formation. Adeleke et al. [] demonstrated understanding of the mechanisms of sulfate-bearing soil when stabilized with a calcium-based stabilizer. Unconfined compressive strength and linear expansion tests were conducted on gypseous soil containing a high level of calcium sulfate (10%, 15%, and 20%) treated with 7%, 8%, 9%, and 10% calcium-based stabilizer (cement). The outcomes illustrated that the strength reduced by a factor range of 6–47% at 28 days of curing, while the swelling magnitude depended mainly on the sulfate concentration, with the highest rate of swelling observed in the presence of sulfate at 10%.
Treatment of sulfate-containing soils (SO4) with calcium-based stabilizers encourages a reaction between the calcium content of the stabilizer (lime or cement) and the sulfate/aluminum content of the soil. With the presence of water, this generates large quantities of ettringite (a crystalline mineral), causing further changes in volume and damage to the structures built on such soil (see Equation (1)) [,,].
Ettringite can transform into another expanding mineral: thaumasite [Ca6Si2(CO3)2(SO4)2(OH)12 × 24H2O]. The transformation occurs due to the replacement of aluminum and sulfate with silica and carbonate at temperatures < 15 °C (see Equation (2)) [,].
Chemical modification remains the most effective method of soil stabilization. Among the available chemical admixtures, the most extensively used for soil stabilization is lime []. Aldawood et al. [] performed unconfined compressive strength, X-ray diffraction, and scanning electron microscopy tests on gypseous soil (with different gypsum amounts: 5%, 15%, and 25%) to investigate the influence of lime applied at different dosages (0%, 3%, 5%, and 10%) to stabilize sulfate-bearing soil. The results noted that the mechanical properties of soil specimens were not only affected by the curing time, but also depended on the lime dosage. The optimum reduction in strength was detected to be 5%, and the results of micro tests confirmed the ettringite formation and the pozzolanic products. Researchers and engineers are now progressively exploring novel materials that can serve as soil stabilizers to overcome the lime-induced heave problems often encountered in sulfate-bearing soils during the construction of civil structures. Novel methods should be able to repress heave and ettringite formation in sulfate-rich soils. Materials that exhibit pozzolanic properties, such as rice husk ash (RHA) and ground granulated blast-furnace slag (GGBS), are believed to be suitable sulfate soil stabilizers because such materials generally consume lime [], thereby reducing its availability for the formation of expansive products while improving the strength of the soil [].
Annually, millions of tons of industrial and agricultural waste are produced globally, creating serious problems such as environmental pollution and the deterioration of the health of many inhabitants of the world [,]. Due to this fact, studies are needed to find alternative uses for waste materials for economic purposes. Concurrently, the sources of cement, lime, and other raw materials, especially near large urban centers, are depleting and thus becoming more expensive, in addition to existing transportation costs and environmental restrictions []. Considering these facts, waste materials such as RHA and GGBS can be used as alternative raw materials in the production of building materials to reduce the cost of building projects while protecting the environment [,,,,,].
The processes involved in the production of lime and Portland cement (PC) contribute significantly to environmental pollution; for instance, the production of one ton of (PC) leads to the emission of almost 0.95 tons of CO2 and requires almost 5000 MJ of energy to complete [,,,]; for lime production, these values are ~0.79 tons of CO2 and ~3200 MJ of energy []. This calls for the use of waste materials as a complete or partial replacement of conventional binders, as proposed by various researchers [,,,,,,,,]. GGBS is a waste product from the iron industry and has been considered a suitable material for soil stabilization []. In terms of CO2 emission and energy consumption, only 1300 MJ of energy is required to produce one ton of GGBS, and the process emits only 0.07 tons of CO2 [,]. GGBS can be activated via lime for soil stabilization, as it is a latent hydraulic material [,]. This process involves three basic reactions: the lime–soil reaction, lime–GGBS reaction, and GGBS–soil reaction []. Calcium silicate hydrates (CSH), calcium aluminosilicate hydrates (CASH), and calcium aluminate hydrates (CAH) are the major hydration products of lime–GGBS-stabilized soil [,,].
GGBS can serve as a partial or complete replacement for cement or lime to prevent or reduce ettringite formation in stabilized sulfate soils. The alumina and silica contents of GGBS can quickly react with the calcium content in soil to form a cementitious gel, thereby reducing or preventing ettringite formation [,]. GGBS can also reduce water availability and permeability through the formation of a denser cementitious matrix, which improves resistance to both external and internal sulfate attacks [,,,].
One agricultural waste material is the husk separated from rice. Due to its limited applications, this material is usually burnt and destroyed. The product remaining after the burning phase, called RHA, has unique characteristics, such as a high silica content [,]. Bazyar [] indicated that RHA has positive impacts on the improvement of gypsum clays’ mechanical properties with lime. The author also recommended 6–8% lime and 8–10% RHA as the optimum amounts for stabilization of gypseous soil. RHA has an adequate amount of silica with a high specific surface area, which is very suitable for activating the soil and lime reaction.
Reactive magnesia (M) is a more effective substance in GGBS activation compared to lime, as it facilitates a higher rate of strength development [,,,,,]. Reactive M is commonly obtained from the calcination of magnesite in the temperature range of 700–800 °C (below the temperature for dead-burned M (>1400 °C)). About 2400 MJ of energy is required to produce one ton of reactive M, and the process emits about 1.4 tons of CO2 [,,]. Reactive M is used at low concentrations during GGBS activation; hence, the overall CO2 emission during the reaction of M with GGBS is considered relatively lower than that of PC. For instance, the production of one ton of M-GGBS with M at the optimum M:GGBS ratio of 1:9–1:4 only emits about 0.20–0.34 tons of CO2 [,]. The study by Li et al. [] also showed that M-GGBS binder protected gypseous soil samples from swelling and contributed to better strength after soaking compared to PC.
This work aimed to establish a new method to stabilize soils subjected to internal sulfate attacks by gypsum (CaSO4) using a combination of nano–magnesium oxide (M), RHA, and GGBS. For this purpose, unconfined compressive strength (UCS), linear expansion (LP), and flexural strength (FS) tests were performed before and after exposure to water. In this study, two steps were taken to achieve the objectives:
Step 1: Running compaction characteristics for each mixture.
Step 2: Performing UCS before and after sulfate exposure, LP, and FS tests.
The curing times applied were 7, 28, and 90 days. In addition to the UCS, LP, and FS tests, SEM and EDS were performed to study the stabilized soil samples to determine their mineralogical and microstructural performance.
2. Materials and Methods
2.1. Materials
The materials utilized for this research were kaolin clay (K), hydrated lime (L), calcium sulfate (gypsum) (G), (M), (RHA), and (GGBS). Kaolin clay was supplied by KAOLIN (Malaysia) SDN BHD under the brand name MK40 as a white, finely ground, odorless powder. Kaolin clay was used due to the following considerations: (1) it is one of the major compositions of natural clay minerals; (2) it has a uniform composition, minimal organic content, and consistent and uniform mineralogy; (3) it has a low cation exchange capacity [,]; (4) it has a higher alumina content than most other costly minerals and can thus release more alumina in high pH environments, thereby participating in ettringite mineral formation and increasing susceptibility of sulfate attack []. For these reasons, kaolin clay is a suitable control soil in the soil stabilization process. Table 1 summarizes the major properties of kaolin clay. A hydrometer test of clay was conducted according to BS EN ISO 17892–4:2016 [] with the grading curve shown in Figure 1.

Table 1.
Characteristics of the kaolin clay used in this study.

Figure 1.
Particle size distribution (PSD) of the kaolin clay used in this study.
L, G, and RHA were collected from Sungai Jawi, 14200 Penang, Malaysia. However, G (CaSO4 × 2H2O) was selected in this research due to its much lower solubility compared to other sulfate types (potassium sulfate, magnesium sulfate, and sodium sulfate), as presented in Table 2. Moreover, it is one of the sulfates that contain calcium, and it is logical that it would form ettringite if a non-calcium-based stabilizer had been used, as presented in Table 2.

Table 2.
Most common types of sulfate found in soil.
RHA is a byproduct of the rice milling industry that is produced from the burning of rice husk. The processing of 1000 kg of rice grain is estimated to generate about 200 kg of RHA, which, when burnt, should produce about 40 kg of RHA []. Currently, RHA is commercially used in the extraction of silica and as a pozzolanic material []. The phase of the silica content of RHA (amorphous or crystalline) is a function of the duration and temperature of the burning process. Fine particle-sized amorphous silica is more reactive, and many researchers [,] have shown that burning RHA at a temperature range of 500–650 °C results mostly in the crystalline form of silica, as it can be effectively transformed from its active state into a crystalline form. In this research, RHA was prepared by burning RHA at a temperature range of 350 to 550 °C for three hours to retain the amorphous silica content.
GGBS is a byproduct of the pig-iron manufacturing process and is formed through the rapid cooling of molten iron slag to retain its amorphous structure, followed by grinding to increase its specific surface area. The GGBS used in this study was collected from MDC Sungai Pentani Company, Malaysia. It was chosen to reduce the rate of ettringite formation through the provision of more Al and Si, which react with Ca2+ to form complex cementing gels [,,]. The denser structure and lower calcium ion content of GGBS should contribute to superior sulfate resistance [,].
In this research, M was chosen, as it is a green and low-carbon stabilizer for clay soil. It was collected from Hang Zhou Jiu Peng New Material Co., Ltd., China as a white, fine, crystalline powder. The production of reactive M requires low temperatures, consumes less fuel, and emits less CO2 than that of Portland cement (PC) []. Nanostructured binders have been receiving more attention recently because the main hydrate CSH gel of cement is also a natural nanostructured material [,]. Furthermore, it reduces sulfate-induced expansion and has a lower crystallinity and higher reactivity [,], thus reacting significantly more quickly with water [,].
An X-ray fluorescence test (XRF) was carried out to determine the chemical properties of all materials (K, L, M, GGBS, RHA, and G), which are summarized in Table 3.

Table 3.
Chemical compositions of kaolin clay, L, M, G, GGBS, and RHA.
2.2. Sample Preparation
Sulfate-bearing soil or gypseous soil was prepared artificially by mixing kaolin clay with 10% gypsum (by dry weight of soil). The concentration of sulfate was determined as the worst case according to AASHTO [,,]. The risk of different sulfate levels is summarized in Table 4.

Table 4.
Severity of sulfate levels.
Cylinder samples were 50 mm in diameter and 100 mm in height and were prepared as reported by [,,] for tests of linear expansion (LP), flexural strength (FS), and unconfined compressive strength (UCS). Each mixture system was compacted with an optimum moisture content (OMC) and maximum dry density (MMD) following the BSEN 13286–2:2010 standard []. After compaction of samples, each sample was covered using cling film to reduce moisture loss.
The total binder contents were fixed at 10% and 20% based on the weight of the soil (see Table 5) for each system (unary, binary, and ternary). This was achieved using activator (L) calcium-based stabilizer and (M) non-calcium-based stabilizer at dosages of 10% and 20%, with (G) calcium sulfate dosed at 10% (as a worst case) into kaolin clay. The ratios of M stabilized with (RHA and GGBS) (Figure S1 in supplementary materials shows a comparison of particle size distribution between RHA and GGBS) were set as 1:3, 1:1, and 3:1 in a binary system, and 1:05:05, 1:1:2, 1:2:1, and 1:2.5:0.5 in a ternary system. Figure 2 summarizes the experimental process. In total, 462 cylinder samples were prepared: 207 for testing UCS, 138 for LP, and 117 for FS.

Table 5.
Mixture designs of stabilizer agents.

Figure 2.
Schematic representation of the experimental procedure.
2.3. Experiments
2.3.1. Linear Expansion Test (Swelling) (LP) Test
Two cylindrical samples were prepared for each mix proportion, and were cured for 7, 28, and 90 days to determine their vertical swelling ratio (%). Swelling readings were recorded every 24 h until no significant swelling ratio was observed after partial soaking in water. The LP test was conducted following the BS EN 13286–49:2004 standard [].
2.3.2. Unconfined Compressive Strength (UCS) Test
The UCS test was conducted according to BS EN ISO 17892–7:2018 [] for each mix proportion; three cylindrical samples were tested for compressive strength before and after soaking. “Before soaking” implies that the samples had been cured for 7, 28, and 90 days without having been immersed in water, while “after soaking” implies after the linear expansion test, which was 52 days after the preparation of the samples for all soil stabilization systems. A constant rate of compression strain of 1 mm/min was applied until sample failure occurred.
2.3.3. Flexural Strength (FS) Test
For this test, specimens similar to those described for the UCS and LP tests were used. A three-point bending test was performed to determine the flexural strength for kaolin clay and the optimum mixing of sulfate-bearing soil mixed with the calcium-based stabilizer (lime) and non-calcium-based stabilizer. For each test, three samples were prepared using a compaction mold at the maximum dry density (MMD) and optimum moisture content (OMC) and cured for 7 and 28 days. The flexural strength test was performed according to ASTM D1635 at a constant strain rate of 0.1 mm/min. The flexural stress for the circular specimens of the outer layer of each specimen was calculated as follows:
where FS = flexural strength, P = maximum applied load, r = radius of the sample, and L = support span.
2.3.4. Microstructure Analysis (SEM/EDX)
Scanning electron microscopy (SEM) was performed to inspect the surface morphology of the specimens, which was followed by energy dispersive spectroscopy (EDS) to reveal the presence and composition of various elements within. Small portions of soil specimens were collected from carefully hand-broken samples after UCS and then dried in the oven at 105 °C for 24 h prior to testing.
3. Results and Discussion
3.1. Unconfined Compressive Strength (UCS) Test
3.1.1. Effects of M-RHA on UCS
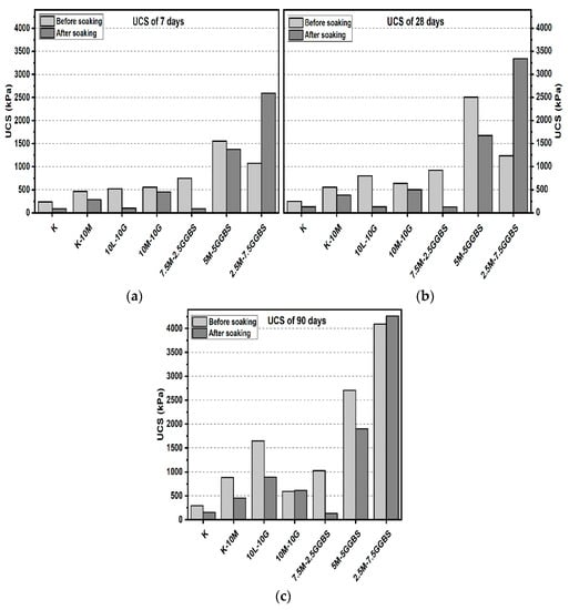
Figure 3 and Figure 4 depict the effects of L and M additions on the UCS values after 7, 28, and 90 days of curing for the gypseous soil samples. The UCS values for M-treated samples increased from 885.33 to 1108.67 kPa when the M content was increased from 10% to 20% without the presence of sulfate at 90 days of curing. Samples treated with L and M (10% and 20%) showed a decrease in UCS values in the presence of sulfate (see Figure 3 and Figure 4). Furthermore, after soaking, the UCS values deteriorated from 885.33 to 635 kPa for M10%, (reducing by 28.27%) and 1108.67 to 1035.33 kPa with 20% M content in the presence of sulfate (reducing by 6.62%). However, this deterioration, as compared to that of the lime stabilizer, was much less. The observed deterioration in the UCS results can be attributed to ettringite production, the growth of which between the particles of the sample soil would lead to the destruction of the soil structure. In addition, the residual sulfate chelates formed calcium in CSH through a decalcification process, which accounted for the lower strengths of the soaked and unsoaked samples. However, the higher strength of the M-treated samples might have been due to the hydration process and formation of pozzolanic products that might have improved the strength of the bonds between the soil particles.


Figure 3.
UCS of soils stabilized with 10% of L, M, and M-RHA before and after soaking in the presence of sulfate: (a) after 7 days of curing, (b) after 28 days of curing, (c) after 90 days of curing.


Figure 4.
UCS of soils stabilized with 10% of L, M, and M-GGBS before and after soaking in the presence of sulfate: (a) after 7 days of curing, (b) after 28 days of curing, (c) after 90 days of curing.
Figure 3 and Figure 4 show the effects of the RHA content on enhancing the USC values for the M-treated samples (soaked and unsoaked) after 7, 28, and 90 days of curing in the presence of sulfate. For example, Figure 4b indicates that the UCS values of the samples treated with 7.5M-12.5RHA increased from 2510 kPa to 2753 kPa when immersed in water after 28 days of curing, where UCS increased by 9.68%. This impact was also observed for 5M-15RHA (increased from 1830 to 2148 kPa), which was improved by 17.37%, and 5M-5RHA (increased from 884 to 929 kPa), which was enhanced by 5.09%. These improvements could be due to pozzolanic product (CSH) formation, which would have improved the USC value for the samples with higher M-RHA content.
3.1.2. Effects of M-GGBS on UCS
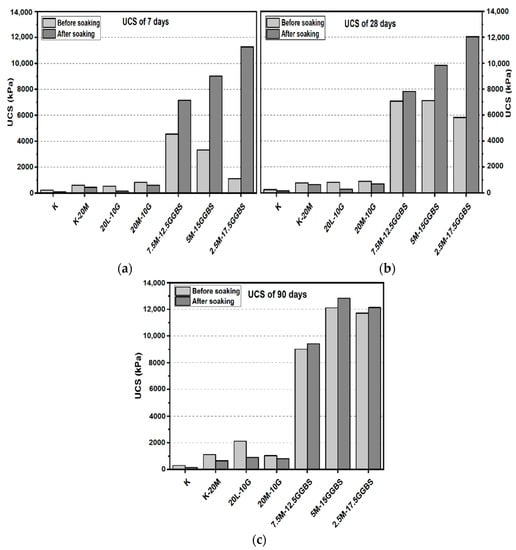
For the M-GGBS stabilizer, all specimens showed enhancement of their UCS values. Figure 5 and Figure 6 presented the maximum UCS of the M-GGBS-stabilized soils at the M:GGBS ratio of 1:3 when a 20% binder was used to stabilize the sulfate-bearing soil: 3327.33, 7125, and 12,115 kPa at 7, 28 and 90 days of curing, respectively. This improvement may have been because of the high content of highly reactive M, and because an excessive residual can negatively impact the strength of stabilized soils. Nevertheless, the UCS values of the stabilized samples before and after soaking indicated enhancement in the mechanical performance of the samples after wetting, except ratios of 3:1 and 1:1 when used to treat gypseous soil samples with 10% M-GGBS-stabilizer (see Figure 5); for example, the samples treated with 5M-5GGBS deteriorated by 13.02%, 33.11% and 29.76% at 7, 28 and 90 days of curing, respectively. The UCS of the treated soil sample with 2.5M:17.5GGBS was 11,275 kPa after soaking, which was significantly higher than that before soaking (914.23%) after 7 days of curing. After soaking, the 5M-15GGBS ratio of 1:3 exhibited an optimum UCS value of 12,831 kPa, which was increased by 5.91% after 90 days of curing. However, the UCS values showed a decline at higher M-GGBS ratios. These findings agree with the report by Li et al. [], where highly reactive M was found to have better activation efficiency with GGBS compared to low-reactive M; therefore, lower M-GGBS ratios are recommended to achieve higher UCS values.

Figure 5.
UCS of soils stabilized with 20% of L, M, and M-RHA before and after soaking in the presence of sulfate: (a) after 7 days of curing, (b) after 28 days of curing, (c) after 90 days of curing.

Figure 6.
UCS of soils stabilized with 20% of L, M, and M-GGBS before and after soaking in the presence of sulfate: (a) after 7 days of curing, (b) after 28 days of curing, (c) after 90 days of curing.
3.1.3. Effects of M-GGBS-RHA on UCS
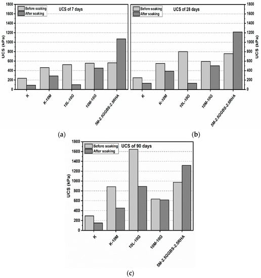
As shown in Figure 7 and Figure 8, all ternary binder compositions improved the UCS values in the stabilized gypseous soil. The highest values of UCS obtained by the M-GGBS-RHA stabilizer ratio of 1:2.5:0.5 were 2050, 5232, and 9142 kPa after 7, 28, and 90 days of curing, respectively. However, the lowest enhancements after 7, 28, and 90 days of curing were 563.67, 758.67, and 975 kPa, respectively, when a stabilizer–binder ratio of 1:0.5:0.5 was used.

Figure 7.
UCS of soils stabilized with 10% of L, M, and M-GGBS-RHA before and after soaking in the presence of sulfate: (a) after 7 days of curing, (b) after 28 days of curing, (c) after 90 days of curing.


Figure 8.
UCS of soils stabilized with 20% of L, M and M-GGBS-RHA before and after soaking in the presence of sulfate: (a) after 7 days of curing, (b) after 28 days of curing, (c) after 90 days of curing.
After soaking, the M-GGBS-RHA ratio of 1:2.5:0.5 produced the highest UCS of 9721 kPa among all the M-GGBS-RHA-stabilized soils, an increase of 6.33%; the UCS decreased with the reduction in the GGBS ratio. This enhancement in the UCS values might have been due to the hydration process following the prolonging of the curing time from 7 days to 90 days; this should ensure proper hydration, improved strength, and resistance against sulfate attacks []. Furthermore, the production of more cementitious gels, such as CSH, CAH, and CSAH, contributed to consumption of the available calcium, leading to the inhibition of ettringite formation [].
3.2. Linear Expansion Test (Swelling) (LP) Test
Figure 9, Figure 10, Figure 11, Figure 12, Figure 13 and Figure 14 illustrate the typical swelling plots for K-M clay and K-L-G and K-M-G clay systems dosed with 10% wt of gypsum and stabilizer with 10% and 20% wt of L and M for observatory periods of 7, 28, and 90 days, respectively. Swelling was observed immediately after soaking the cylinder samples in water, which was sustained throughout monitoring until the cessation of swelling. A higher rate of swelling was observed compared to the reported expansion in lime-stabilized sulfate-bearing soils [,,].

Figure 9.
Vertical swelling strain of soils stabilized with 10% of L, M, M-RHA, and M-GGBS after 7 days of curing: (a) results presented as a line curve, (b) results presented as columns.

Figure 10.
Vertical swelling strain of soils stabilized with 10% of L, M, M-RHA, and M-GGBS after 28 days of curing: (a) results presented as a line curve, (b) results presented as columns.

Figure 11.
Vertical swelling strain of soils stabilized with 10% of L, M, M-RHA, and M-GGBS after 90 days of curing: (a) results presented as a line curve, (b) results presented as columns.

Figure 12.
Vertical swelling strain of soils stabilized with 20% of L, M, M-RHA, and M-GGBS after 7 days of curing: (a) results presented as a line curve, (b) results presented as columns.

Figure 13.
Vertical swelling strain of soils stabilized with 20% of L, M, M-RHA, and M-GGBS after 28 days of curing: (a) results presented as a line curve, (b) results presented as columns.

Figure 14.
Vertical swelling strain of soils stabilized with 20% of L, M, M-RHA, and M-GGBS after 90 days of curing: (a) results presented as a line curve, (b) results presented as columns.
Figure 9 and Figure 12 show the highest degree of swelling obtained with a calcium-based stabilizer (10% wt): which was 25.226% with 10% lime after 7 days curing; meanwhile, the lowest swelling was observed with 20% lime: 18.313% after seven days of curing. Nevertheless, the comparison of the swelling values of the treated soils between the calcium-based stabilizer and non-calcium-based stabilizer clearly showed that the non-calcium-based stabilizer (M) had a significant effect on restricting the swelling values. For example, when 10% and 20% M were used, the swelling values were 0.18% and 0.466%; hence, the swelling was restricted to 99.28% and 97.45%. This result was due to the absence of calcium in non-calcium-based stabilizer (M), which led to the suppression of ettringite formation.
3.2.1. Effects of M-RHA on Swelling
Utilizing the M-RHA stabilizer resulted in a restriction in the volume change (swelling) for all gypseous soil specimens, as presented in Figure 9, Figure 10, Figure 11, Figure 12, Figure 13 and Figure 14. The lowest minimum values of swelling, achieved with a 5M-5RHA ratio of 1:1, were 0.047%, 0.04%, and 0.01% after 7, 28, and 90 days of curing, respectively, with the swelling inhibited 99.81%, 99.78%, and 99.67%, respectively. Furthermore, the 20% M-RHA-stabilizer led to a low volumetric change after 90 days of curing at 0.011%, 0.026%, and 0.026%, with the swelling suppressed to 99.5%, 98.82%, and 98.82%, respectively. This reduction in swelling can be attributed to the restriction of ettringite formation and the production of more CSH compounds in the absence of calcium.
3.2.2. Effects of M-GGBS on Swelling
Figure 9, Figure 10, Figure 11, Figure 12, Figure 13 and Figure 14 present the vertical volume change (swelling) of gypseous soil treated with the M-GGBS stabilizer. The maximum vertical volume change was 7.293%, obtained after applying a 7.5M-2.5GGBS ratio of 3:1 over 7 days of curing. However, all other specimens exhibited low swelling. For example, the swelling of soil samples stabilized with 5M-15GGBS and 2.5M-17.5GGBS was 0.001% and 0.005% after 90 days of curing, with swelling magnitude almost wholly suppressed to 99.95% and 99.77%. The reduction in the swelling values was because of the use of GGBS, which exhibited superior sulfate resistance along with its denser structure and lower presence of calcium ions [,].
3.2.3. Effects of M-GGBS-RHA on Swelling
Figure 15, Figure 16 and Figure 17 reveal that the use of the M-GGBS-RHA stabilizer (10 and 20 wt. %) modified the behavior of the volumetric change and resulted in a significant decrease in the swelling magnitude of the gypseous soil. After 28 days of observation, the swelling magnitudes for 5M-2.5GGBS-2.5RHA, 5M-5GGBS-10RHA, 5M-10GGBS-5RHA, and 5M-12.5GGBS-2.5RHA were 0.04%, 0.089%, 0.044%, and 0.001%, respectively, with swelling values suppressed to 99.78%, 98.98%, 99.5%, and 99.98% respectively. Nevertheless, the longer curing period (90 days) produced further declines in the swelling rate, thereby achieving minimum swellings of 0.01%, 0.058%, 0.017%, and 0.001%, where the swelling was roughly inhibited to 99.67%, 97.38%, 99.23%, and 99.95% respectively.

Figure 15.
Vertical swelling strain of soils stabilized with 10% and 20% of L, M, and M-GGBS-RHA after 7 days of curing: (a) results presented as a line curve, (b) results presented as columns.

Figure 16.
Vertical swelling strain of soils stabilized with 10% and 20% of L, M, and M-GGBS-RHA after 28 days of curing: (a) results presented as a line curve, (b) results presented as columns.

Figure 17.
Vertical swelling strain of soils stabilized with 10% and 20% of L, M, and M-GGBS-RHA after 90 days of curing: (a) results presented as a line curve, (b) results presented as columns.
Results from the linear expansion test indicated that swelling behavior disappeared in the high-sulfate soil, which was treated with the M-GGBS-RHA-stabilizer. The volume changes of the treated soils were less than those of the lime-treated soils, indicating that the swelling characteristics were enhanced in the treated high-sulfate soils.
These results indicate that the M-GGBS-RHA-stabilized soil resisted sulfate attacks better than the lime-stabilized soil. Moreover, the results showed that the swelling of the lime-stabilized soil was higher than that of the M-GGBS-RHA-stabilized soil with an increase in the soaking time. The phenomenon can be explained by two factors: (1) a larger amount of calcium in the lime-stabilized soil contributed to ettringite formation in the presence of sulfate and (2) the consumption of calcium by sulfate, which led to a reduction in the formation of cementitious material such as CSH, CAH, and CSAH. Adeleke et al. [] reported that there are various levels of risk in relation to swelling, as shown in Table 6. The risk level was “very strong” in comparison with the maximum expansions of 25.226% and 18.313% obtained in the current study from the mixing of K-10L-10G and K-20L-10G, respectively.

Table 6.
Risk levels for swelling of clay soil.
3.3. Flexural Strength Flexural (FS)
Flexural load curves for the kaolin clay and sulfate-bearing soil along with the calcium-based stabilizer (L) and non-calcium-based stabilizer (M) with the inclusion of RHA, GGBS, and GGBS-RHA ratios of 10% and 20% after curing for 7 and 28 days, are shown in Figure 18 and Figure 19. The kaolin clay curve exhibited a flexural strength of 121.44 kPa after curing for 28 days. In contrast, the curves produced by the M stabilizer mixtures showed a slight improvement with and without the presence of sulfate, which is a direct measure of the flexural strength of the specimens. When compared to specimens treated with the L stabilizer, the flexural strength was less with the presence of sulfate. Furthermore, using 10% and 20% of the M-RHA, M-GGBS, and M-GGBS-RHA stabilizers resulted in a significant increase in the peak flexural load. This effect was especially relevant regarding the 20% M-GGBS content. The flexural strength of the M-GGBS mixture with 10% and 20% content reached 1270.37 and 1922.55 kPa after curing for 28 days, respectively, gaining values 303.4% and 302.9% higher than those of the L stabilizer (314.89 and 477.11 kPa) using 10% and 20% mixtures, respectively, after 28 days of curing.

Figure 18.
Flexural load curves of test gypseous soils treated with 10% mixture content after 7 and 28 days of curing.

Figure 19.
Flexural load curves of test gypseous soils treated with 20% mixture content after 7 and 28 days of curing.
3.4. SEM and EDX Analysis
The SEM images of the gypseous soil–lime mixture after 90 days of curing showed that a significant amount of crystalline mineral needles (ettringite) had formed, as shown in Figure 20a and Figure 21a. This resulted in a decrease in strength, a high capacity for swelling, and the destruction of the soil specimen’s structure. The improvement in the gypseous soil samples was determined by measuring the Si/Al ratio (%) utilizing EDX to explain the strength development. Generally, an increase in the Si/Al ratio refers to the forming of a high number of Si–O–Si bonds. Consequently, the mechanical strength of the soil sample structural matrix was enhanced []. The Si/Al ratio in the (10% and 20%) L-G specimens obtained from the EDX pattern ranged from 1.06 to 1.12, which was low due to the ettringite formation and high porosity in the microstructure of the samples. The EDX pattern of the gypseous soil–lime mixture and its elemental composition is represented in Figure 20b and Figure 21b.

Figure 20.
SEM photo and EDX spectrograph of stabilized gypseous soils after 90 days of curing: (a) SEM photo of 10L:10G and (b) EDX spectrograph of 10L:10G.

Figure 21.
SEM photo and EDX spectrograph of stabilized gypseous soils after 90 days of curing: (a) SEM photo of 20L:10G and (b) EDX spectrograph of 20L:10G.
Figure 22a and Figure 23a show SEM observation images of the sulfate soil–M-G mixture, revealing spherical and irregular particles of magnesium silicate hydrate (MCH). The EDX information showed a slight increase in the Si/Al ratio (1.1 and 1.14) for M-G-stabilizer specimens with 10% and 20% when compared to the L-G specimens (1.06 and 1.12), which was probably due to the absence of ettringite and the formation of MSH product. Figure 22b and Figure 23b, respectively, present the EDS spectrum and elemental composition of the gypseous soil–M-G mixture.

Figure 22.
SEM photo and EDX spectrograph of stabilized gypseous soils after 90 days of curing: (a) SEM photo of 10M:10G and (b) EDX spectrograph of 10M:10G.

Figure 23.
SEM photo and EDX spectrograph of stabilized gypseous soils after 90 days of curing: (a) SEM photo of 20M:10G and (b) EDX spectrograph of 20M:10G.
Figure 24a, Figure 25a and Figure 26a show the SEM observation images of M-GGBS, M-RHA, and M-GGBS-RHA, respectively. In terms of particle shape and surface features, M-GGBS was quite different from M-RHA and M-GGBS-RHA. M-RHA and M-GGBS-RHA particles were spherical, as shown in Figure 25a and Figure 26a. The particles had shiny surfaces without any dust covering them. The M-GGBS particles were rather angular, irregular in shape, and the presence of plate-shaped particles was evident (Figure 24a), which had rough, gritty surface textures. Figure 24a, Figure 25a and Figure 26a show the surface morphologies of the soil–M-GGBS, –M-RHA, and –M-GGBS-RHA specimens after 90 days of curing. As indicated, no ettringite formation was observed. This proves that the addition of M with GGBS and RHA as a stabilizing agent contributed to the formation of CSH gel to a significant degree. The presence of some crystalline structures, such as MSH (magnesium silicate hydrate), was also observed. The pozzolanic activity occurring between M, GGBA, and RHA as a stabilizer and clay was attributed to the formation of CSH gel. Based on the results derived from the EDX spectrum, the highest Si/Al ratios (1.23, 1.59, and 1.41) were observed in the 7.5M-12.5RHA, 5M-15GGBS, and 5M-12.5GGBS-2.5RHA samples, respectively. This improvement was due to GGBS and RHA dissolving in an alkaline activator to generate extra soluble alumina and silica, which increased the Si/Al ratio of the specimen, leading to the complete activation of the particles and producing calcium–alumino–silicate hydrate (CASH) in the matrix. Figure 24b, Figure 25b and Figure 26b show the EDS spectrum and elemental composition of the gypseous soil–M-GGBS, –M-RHA, and –M-GGBS-RHA mixtures, respectively.

Figure 24.
SEM photo and EDX spectrograph of stabilized gypseous soils after 90 days of curing: (a) SEM photo of 5M:15GGBS and (b) EDX spectrograph of 5M:15GGBS.

Figure 25.
SEM photo and EDX spectrograph of stabilized gypseous soils after 90 days of curing: (a) SEM photo of 7.5M:12.5RHA and (b) EDX spectrograph of 7.5M:12.5RHA.

Figure 26.
SEM photo and EDX spectrograph of stabilized gypseous soils after 90 days of curing: (a) SEM photo of 5M:12.5GGBS:2.5RHA and (b) EDX spectrograph of 5M-12.5GGBS:2.5RHA.
The increase in UCS value with prolonged curing periods could have been due to cementing gel formation from the interaction of the soil with the nanoparticles, which improved the UCS of the treated samples as a result of the improved soil particle bonding [,].
4. Conclusions
Sulfate-bearing soils cause major issues in pavement and various civil engineering infrastructures due to their causing significant swelling and strength damage. The results of this study portrayed the impacts of (M) as a non-calcium-based stabilizer, rice husk ash, and GGBS as abundant byproducts in treating gypseous soil with a high level of sulfate. Based on the results of the study, the following conclusions were made:
- The minimum swelling values of M-RHA-, M-GGBS-, and M-GGBS-RHA-stabilized gypseous soils with 20% doses (0.011%, 0.001%, and 0.001%) were lower than that of lime-stabilized soil.
- The optimum strength values of M-RHA-, M-GGBS, and M-GGBS-RHA-stabilized soils after soaking with 20% (2.7, 12.8, and 9.7 MPa) were notably higher than that of lime-stabilized soil (0.9 MPa).
- The curing time had a significant impact on the resistance to sulfate attack as a result of the hydration process; an increase in the curing period from 7 to 90 days resulted in adequate hydration and improved strength in the presence of sulfate (gypsum).
- The results of the SEM and EDX showed that no ettringite was formed in the M-RHA-, M-GGBS-, or M-GGBS-RHA-stabilized soils.
- The formation of cementing gels such as MSH, MAH, CSH, and CAH improved the UCS values of the stabilized samples, as these gels occupied the voids and improved the bonding between the soil particles. As a result, the treated soils’ UCS values were improved.
Supplementary Materials
The following are available online at https://www.mdpi.com/article/10.3390/app11146618/s1, Figure S1. Particle size distribution (PSD) of RHA and GGBS used in this study.
Author Contributions
K.I.A.E. and A.M.A.E. designed and performed the experimental program; K.I.A.E. and M.A.M.I. collected and analyzed the experimental data; A.M.A.E. wrote, reviewed, and edited the manuscript; and M.A.M.I. provided supervision of the manuscript writing. All authors have read and agreed to the published version of the manuscript.
Funding
This work was funded by Universiti Sains Malaysia, under grant No. 1001.PAWAM.8014090.
Institutional Review Board Statement
Not applicable.
Informed Consent Statement
Not applicable.
Data Availability Statement
Not applicable.
Acknowledgments
The authors would like to acknowledge the Universiti Sains Malaysia for its financial support.
Conflicts of Interest
No conflict of interest to declare.
References
- Aldaood, A.; Bouasker, M. Mechanical Behavior of Gypseous Soil Treated with Lime. Geotech. Geol. Eng. 2020, 39, 719–733. [Google Scholar] [CrossRef]
- Li, W.; Yi, Y.; Puppala, A.J. Suppressing Ettringite-Induced Swelling of Gypseous Soil by Using Magnesia-Activated Ground Granulated Blast-Furnace Slag. J. Geotech. Geoenviron. Eng. 2020, 146, 06020008. [Google Scholar] [CrossRef]
- Kalipcilar, I.; Mardani-Aghabaglou, A.; Sezer, A.; Altun, S.; Inan Sezer, G. Sustainability of cement-stabilised clay: Sulfate resistance. Proc. Inst. Civ. Eng. Eng. Sustain. 2016, 171, 254–274. [Google Scholar] [CrossRef]
- Adeleke, B.; Kinuthia, J.; Oti, J. Strength and Swell Performance of High-Sulphate Kaolinite Clay Soil. Sustainability 2020, 12, 10164. [Google Scholar] [CrossRef]
- Yao, K.; Wang, W.; Li, N.; Zhang, C.; Wang, L. Investigation on strength and microstructure characteristics of nano-MgO admixed with cemented soft soil. Constr. Build. Mater. 2019, 206, 160–168. [Google Scholar] [CrossRef]
- Seco, A.; del Castillo, J.M.; Espuelas, S.; Marcelino, S.; García, B. Sulphate soil stabilisation with magnesium binders for road subgrade construction. Int. J. Pavement Eng. 2020. [Google Scholar] [CrossRef]
- Raja, P.S.K.; Thyagaraj, T. Effect of compaction time delay on compaction and strength behavior of lime-treated expansive soil contacted with sulfate. Innov. Infrastruct. Solut. 2020, 5, 14. [Google Scholar] [CrossRef]
- Chegenizadeh, A.; Keramatikerman, M.; Miceli, S.; Nikraz, H. Investigation on Recycled Sawdust in Controlling Sulphate Attack in Cemented Clay. Appl. Sci. 2020, 10, 1441. [Google Scholar] [CrossRef] [Green Version]
- Yi, Y.; Liska, M.; Jin, F.; Al-tabbaa, A. Mechanism of reactive magnesia—ground granulated blastfurnace slag (GGBS) soil stabilization. Can. Geotech. J. 2016, 55, 773–782. [Google Scholar] [CrossRef]
- Bazyar, M.H.; Ebrahimi, M.; Lenjani, M.Z.; Makarchian, M. The Effect of Rice Husk Ash on Mechanical Properties of Clayey Soils Stabilized with Lime in the Presence of Sulphate. J. Eng. Geol. 2017, 11, 23–52. [Google Scholar]
- Abdi, M.R.; Askarian, A.; Safdari Seh Gonbad, M. Effects of sodium and calcium sulphates on volume stability and strength of lime-stabilized kaolinite. Bull. Eng. Geol. Environ. 2019, 79, 941–957. [Google Scholar] [CrossRef]
- Eyo, E.U.; Abbey, S.J.; Ngambi, S.; Ganjian, E.; Coakley, E. Incorporation of a nanotechnology-based product in cementitious binders for sustainable mitigation of sulphate-induced heaving of stabilised soils. Eng. Sci. Technol. Int. J. 2020, 24, 436–448. [Google Scholar] [CrossRef]
- Kampala, A.; Jitsangiam, P.; Pimraksa, K.; Chindaprasirt, P. An investigation of sulfate effects on compaction characteristics and strength development of cement-treated sulfate bearing clay subgrade. Road Mater. Pavement Des. 2020. [Google Scholar] [CrossRef]
- Khadka, S.D.; Jayawickrama, P.W.; Senadheera, S.; Segvic, B. Stabilization of highly expansive soils containing sulfate using metakaolin and fly ash based geopolymer modified with lime and gypsum. Transp. Geotech. 2020, 23, 100327. [Google Scholar] [CrossRef]
- Seco, A.; Miqueleiz, L.; Prieto, E.; Marcelino, S.; García, B.; Urmeneta, P. Sulfate soils stabilization with magnesium-based binders. Appl. Clay Sci. 2017, 135, 457–464. [Google Scholar] [CrossRef]
- Celik, E.; Nalbantoglu, Z. Effects of ground granulated blastfurnace slag (GGBS) on the swelling properties of lime-stabilized sulfate-bearing soils. Eng. Geol. 2013, 163, 20–25. [Google Scholar] [CrossRef]
- Pal, S.C.; Mukherjee, A.; Pathak, S.R. Investigation of hydraulic activity of ground granulated blast furnace slag in concrete. Cem. Concr. Res. 2003, 33, 1481–1486. [Google Scholar] [CrossRef]
- McCarthy, M.J.; Csetenyi, L.J.; Sachdeva, A.; Dhir, R.K. Identifying the role of fly ash properties for minimizing sulfate-heave in lime-stabilized soils. Fuel 2012, 92, 27–36. [Google Scholar] [CrossRef]
- Indraratna, B.; Qi, Y.; Tawk, M.; Heitor, A.; Rujikiatkamjorn, C.; Navaratnarajah, S.K. Advances in Ground Improvement Using Waste Materials for Transportation Infrastructure. Proc. Inst. Civ. Eng. Ground Improv. 2020, 1–20. [Google Scholar] [CrossRef]
- Yu, B.W.; Du, Y.J.; Jin, F.; Liu, C.Y. Multiscale study of sodium sulfate soaking durability of low plastic clay stabilized by reactive magnesia-activated ground granulated blast-furnace slag. J. Mater. Civ. Eng. 2016, 28, 04016016. [Google Scholar] [CrossRef]
- Václavík, V.; Dirner, V.; Dvorský, T.; Daxner, J. The use of blast furnace slag. Metalurgija 2012, 51, 461–464. [Google Scholar]
- Jin, F.; Al-Tabbaa, A. Evaluation of novel reactive MgO activated slag binder for the immobilisation of lead and zinc. Chemosphere 2014, 117, 285–294. [Google Scholar] [CrossRef] [Green Version]
- Cai, G.H.; Liu, S.Y.; Zheng, X. Influence of drying-wetting cycles on engineering properties of carbonated silt admixed with reactive MgO. Constr. Build. Mater. 2019, 204, 84–93. [Google Scholar] [CrossRef]
- Yi, Y.; Liska, M.; Al-Tabbaa, A. Initial investigation into the use of GGBS-MgO in soil stabilisation. Grouting Deep Mix. 2012, 2012, 444–453. [Google Scholar]
- YI, Y.; LI, C.; LIU, S.; AL-TABBAA, A. Resistance of MgO–GGBS and CS–GGBS stabilised marine soft clays to sodium sulfate attack. Géotechnique 2014, 64, 673–679. [Google Scholar] [CrossRef]
- Yi, Y.; Liska, M.; Al-Tabbaa, A. Properties of Two Model Soils Stabilized with Different Blends and Contents of GGBS, MgO, Lime, and PC. J. Mater. Civ. Eng. 2014, 26, 267–274. [Google Scholar] [CrossRef]
- Yi, Y.; Gu, L.; Liu, S.; Jin, F. Magnesia reactivity on activating efficacy for ground granulated blastfurnace slag for soft clay stabilisation. Appl. Clay Sci. 2016, 126, 57–62. [Google Scholar] [CrossRef]
- Sarkkinen, M.; Kujala, K.; Gehör, S. Efficiency of MgO activated GGBFS and OPC in the stabilization of highly sulfidic mine tailings. J. Sustain. Min. 2019, 18, 115–126. [Google Scholar] [CrossRef]
- Tawk, M.; Qi, Y.; Indraratna, B.; Rujikiatkamjorn, C.; Heitor, A. Behaviour of a Mixture of Coal Wash and Rubber Crumbs under Cyclic Loading. J. Mater. Civ. Eng. 2021, 33, 04021054. [Google Scholar] [CrossRef]
- Nidzam, R.M.; Kinuthia, J.M. Sustainable soil stabilisation with blastfurnace slag—A review. Proc. Inst. Civ. Eng. Constr. Mater. 2010, 163, 157–165. [Google Scholar] [CrossRef]
- Pai, R.R.; Patel, S.; Bakare, M.D. Applicability of Utilizing Stabilized Native Soil as a Subbase Course in Flexible Pavement. Indian Geotech. J. 2020, 50, 289–299. [Google Scholar] [CrossRef]
- Truong, S.B.; Thi, N.N.; Thanh, D.N. An Experimental Study on Unconfined Compressive Strength of Soft Soil-Cement Mixtures with or without GGBFS in the Coastal Area of Vietnam. Adv. Civ. Eng. 2020, 2020, 20–25. [Google Scholar]
- Ghorbani, A.; Salimzadehshooiili, M. Dynamic Characterization of Sand Stabilized with Cement and RHA and Reinforced with Polypropylene Fiber. J. Mater. Civ. Eng. 2019, 31, 1–24. [Google Scholar] [CrossRef]
- British Standards Institution. BS EN ISO 17892-4:2016: GGeotechnical Investigation and Testing. Laboratory Testing of Soil Part. 4: Determination of Particle Size Distribution; BSI Standards Ltd.: London, UK, 2014. [Google Scholar]
- Phanikumar, B.R.; Nagaraju, T.V. Effect of Fly Ash and Rice Husk Ash on Index and Engineering Properties of Expansive Clays. Geotech. Geol. Eng. 2018, 36, 3425–3436. [Google Scholar] [CrossRef]
- Yatawara, M.; Athukorala, S. Potential of replacing clay soil by rice husk ash (RHA) in enhancing the properties of compressed earth blocks (CEBs). Environ. Dev. Sustain. 2020, 23, 3474–3486. [Google Scholar] [CrossRef]
- Nayel, I.H.; Burhan, S.K.; Nasr, M.S. Characterisation of prepared rice husk ash and its effects on strength development in recycled aggregate concrete. In Proceedings of the 2nd International Conference on Engineering Sciences, Kerbala, Iraq, 26–28 March 2018. [Google Scholar]
- He, J.; Li, Z.X.; Wang, X.Q.; Shi, X.K. Durability of Soft Soil Treated with Soda Residue and Ground Granulated Blast Furnace Slag in a Soaking Environment. J. Mater. Civ. Eng. 2020, 32, 06019018. [Google Scholar] [CrossRef]
- Gu, K.; Jin, F.; Al-Tabbaa, A.; Shi, B.; Liu, C.; Gao, L. Incorporation of reactive magnesia and quicklime in sustainable binders for soil stabilisation. Eng. Geol. 2015, 195, 53–62. [Google Scholar] [CrossRef]
- National Academies of Sciences, E.A.M. Recommended Practice for Stabilization of Sulfate-Rich Subgrade Soils; The National Academies Press: Washington, DC, USA, 2009; ISBN 9780309429825. [Google Scholar]
- Puppala, A.J.; Talluri, N.; Chittoori, B.C.S. Calcium-based stabiliser treatment of sulfate-bearing soils. Proc. Inst. Civ. Eng. Ground Improv. 2014, 167, 162–172. [Google Scholar] [CrossRef]
- Talluri, N.; Puppala, A.J.; Congress, S.S.C.; Banerjee, A. Experimental Studies and Modeling of High Sulfate Soil Stabilization. J. Geotech. Geoenviron. Eng. 2020, 146, 1–16, in press. [Google Scholar] [CrossRef]
- British Standards Institution. BS EN 13286-2:2010: Unbound and Hydraulically Bound. Mixtures Part. 2: Test. Methods for Laboratory Reference Density and Water Content—Proctor Compaction; BSI Standards Ltd.: London, UK, 2012. [Google Scholar]
- British Standards Institution. BS EN 13286-49:2004: Unbound and Hydraulically Bound. Mixtures Accelerated Swelling Test. for Soil Treated by Lime and/or Hydraulic Binder; BSI Standards Ltd.: London, UK, 2004. [Google Scholar]
- British Standards Institution. BS EN ISO 17892-7:2018: Geotechnical Investigation and Testing. Laboratory Testing of Soil Part. 7: Unconfined Compression Test. Strength; BSI Standards Ltd.: London, UK, 2018. [Google Scholar]
- Yong, L.L.; Namal Jayasanka Perera, S.; Syamsir, A.; Emmanuel, E.; Paul, S.C.; Anggraini, V. Stabilization of a residual soil using calcium and magnesium hydroxide nanoparticles: A quick precipitation method. Appl. Sci. 2019, 9, 4325. [Google Scholar] [CrossRef] [Green Version]
- Estabragh, A.R.; Jahani, A.; Javadi, A.A.; Babalar, M. Assessment of different agents for stabilisation of a clay soil. Int. J. Pavement Eng. 2020. [Google Scholar] [CrossRef]
Publisher’s Note: MDPI stays neutral with regard to jurisdictional claims in published maps and institutional affiliations. |
© 2021 by the authors. Licensee MDPI, Basel, Switzerland. This article is an open access article distributed under the terms and conditions of the Creative Commons Attribution (CC BY) license (https://creativecommons.org/licenses/by/4.0/).