Low Power Cusped Field Thruster Developed for the Space-Borne Gravitational Wave Detection Mission in China
Abstract
1. Introduction
2. Brief Development of Cusped Field Thruster
3. Low Power Cusped Field Thruster Development at HIT
3.1. Configuration and Physical Mechanism Studies on Low Power Cusped Field Thruster
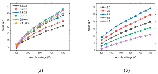
3.2. Cusped Field Thruster Downscaling in HIT
3.3. The Microwave Discharge Cusped Field Thruster
4. Conclusions
- A higher downstream magnet ratio leads to flatter exit magnetic separatrix and extension of the ionization region, and, as a result, more focused plume and better performance.
- A higher magnetic field intensity gives rise to more effective confinement of electrons, and a reduction of propellent utilization due to ionization region narrowness.
- The main potential drop locates near the channel exit in a cusped field thruster, which makes the exit magnetic separatrix a determinant factor of plume divergence. Thus, plume divergence reduction is achieved through optimization on it.
- The variable cross-section is applied to change the mass flow flux distribution in the channel, and a spacer with appropriate location contributes to better total performance by enhancing the ionization in the dominant region.
- Two electron conduction routes are found in the cusped field thruster. The competition between the two electron routes, as well as the two ionization regions, is the intrinsic reason for the mode transition phenomenon.
- Size effects are significant in cusped field thrusters, but diameter reduction is still necessary for downscaling because of the significant mass flow flux difference.
- An equilibrium on energy efficiency and propellant utilization should be considered to find out the optimal channel length for a cusped field thruster.
- The equilibrium on electron temperature and electron loss should also be considered to find out the wall material with an appropriate SEE coefficient.
- Expanding cross-section configuration contributes to a wider operation range and better mode stability.
- The DC discharge cusped field thruster is unlikely to meet the ultimate requirements of GW detection mission.
Author Contributions
Funding
Conflicts of Interest
References
- Kwee, P.; Bogan, C.; Danzmann, K.; Frede, M.; Kim, H.; King, P.; Pöld, J.; Puncken, O.; Savage, R.L.; Seifert, F.; et al. Stabilized high-power laser system for the gravitational wave detector advanced LIGO. Opt. Express 2012, 20, 10617–10634. [Google Scholar] [CrossRef] [PubMed]
- Debra, D.B.; Conklin, J.W. Measurement of drag and its cancellation. Class. Quantum Gravity 2011, 28. [Google Scholar] [CrossRef]
- De Rosa, R.; Di Fiore, L.; Garufi, F.; Grado, A.; La Rana, A.; Milano, L. An optical readout system for the drag free control of the LISA spacecraft. Astropart. Phys. 2011, 34, 394–400. [Google Scholar] [CrossRef]
- Acernese, F.; De Rosa, R.; Giordano, G.; Romano, R.; Vilasi, S.; Barone, F. Low frequency—High sensitivity horizontal inertial sensor based on folded pendulum. J. Phys. Conf. Ser. 2012, 363. [Google Scholar] [CrossRef]
- Cui, K.; Liu, H.; Jiang, W.; Yu, D. Effects of Thrust Noise and Measurement Noise on Drag-Free and Attitude Control System. Microgravity Sci. Technol. 2020, 32, 189–202. [Google Scholar] [CrossRef]
- Cui, K.; Liu, H.; Jiang, W.J.; Sun, Q.Q.; Hu, P.; Yu, D.R. Effects of cusped field thruster on the performance of drag-free control system. Acta Astronaut. 2018, 144, 193–200. [Google Scholar] [CrossRef]
- Hild, S.; Abernathy, M.; Acernese, F.; Amaro-Seoane, P.; Andersson, N.; Arun, K.; Barone, F.; Barr, B.; Barsuglia, M.; Beker, M.; et al. Sensitivity studies for third-generation gravitational wave observatories. Class. Quantum Gravity 2011, 28. [Google Scholar] [CrossRef]
- Ziemer, J.K.; Merkowitz, S.M. Microthrust propulsion for the LISA mission. In Proceedings of the 40th AIAA/ASME/SAE/ASEE Joint Propulsion Conference and Exhibit, Fort Lauderdale, FL, USA, 11–14 July 2004; pp. 1–9. [Google Scholar] [CrossRef]
- Baker, J.; Barausse, E.; Bender, P.; Bortoluzzi, D.; Camp, J. Laser Interferometer Space Antenna (LISA). Van Nostrand’s Sci. Encycl. 2007. [Google Scholar] [CrossRef]
- LISA Simulation Working Group. LISA Science Study Team LISA Science Requirements Document; European Space Researchand Technology Centre: Noordwijk, The Netherlands, 2018; pp. 1–46. [Google Scholar]
- Mueller, J. Thruster options for microspacecraft: A review and evaluation of existing hardware and emerging technologies. In Proceedings of the 33rd Joint Propulsion Conference and Exhibit, Seattle, WA, USA, 6–9 July 1997. [Google Scholar] [CrossRef]
- Huberman, M.N.; Beynon, J.C.; Cohen, E.; Goldin, D.S.; Kidd, P.W.; Zafran, S. Present status of colloid microthruster technology. J. Spacecr. Rocket. 1968, 5, 1319–1324. [Google Scholar] [CrossRef]
- Ciaralli, S.; Coletti, M.; Gabriel, S.B. Performance and lifetime testing of a pulsed plasma thruster for Cubesat applications. Aerosp. Sci. Technol. 2015, 47, 291–298. [Google Scholar] [CrossRef]
- Lange, B. The drag-free satellite. AIAA J. 1964, 2, 1590–1606. [Google Scholar] [CrossRef]
- Folkner, W.M.; Bender, P.L.; Stebbins, R.T. LISA Mission Concept Study; Jet Propulsion Laboratory: Pasadena, CA, USA, 1998. [Google Scholar]
- Luo, J.; Chen, L.; Duan, H.; Gong, Y. TianQin: A space-borne gravitational wave detector. Class. Quantum Gravity 2016, 33, 035010. [Google Scholar] [CrossRef]
- Luo, Z.; Guo, Z.K.; Jin, G.; Wu, Y.; Hu, W. A brief analysis to Taiji: Science and technology. Results Phys. 2020, 16, 1–8. [Google Scholar] [CrossRef]
- Armano, M.; Audley, H.; Baird, J.; Binetruy, P.; Born, M.; Bortoluzzi, D.; Castelli, E.; Cavalleri, A.; Cesarini, A.; Cruise, A.M.; et al. LISA Pathfinder micronewton cold gas thrusters: In-flight characterization. Phys. Rev. D 2019, 99, 122003. [Google Scholar] [CrossRef]
- Ziemer, J.K.; Randolph, T.M.; Franklin, G.W.; Hruby, V.; Spence, D.; Demmons, N.; Roy, T.; Ehrbar, E.; Zwahlen, J.; Martin, R.; et al. Colloid micro-newton thrusters for the space technology 7 mission. IEEE Aerosp. Conf. Proc. 2010. [Google Scholar] [CrossRef]
- Armano, M.; Benedetti, M.; Bogenstahl, J.; Bortoluzzi, D.; Bosetti, P.; Brandt, N.; Cavalleri, A.; Ciani, G.; Cristofolini, I.; Cruise, A.M.; et al. LISA Pathfinder: The experiment and the route to LISA. Class. Quantum Gravity 2009, 26. [Google Scholar] [CrossRef]
- Armano, M.; Audley, H.; Baird, J.; Binetruy, P.; Born, M.; Bortoluzzi, D.; Castelli, E.; Cavalleri, A.; Cesarini, A.; Cruise, A.M.; et al. LISA Pathfinder platform stability and drag-free performance. Phys. Rev. D 2019, 99, 082001. [Google Scholar] [CrossRef]
- Ziemer, J.; Gamero-Castaño, M.; Hruby, V.; Spence, D.; Demmons, N.; McCormick, R.; Roy, T.; Gasdaska, C.; Young, J.; Connolly, B. Colloid Micro-Newton Thruster Development for the ST7-DRS and LISA Missions. In Proceedings of the 41st AIAA/ASME/SAE/ASEE Joint Propulsion Conference & Exhibit, Tucson, AZ, USA, 10–13 July 2005; pp. 1–9. [Google Scholar] [CrossRef]
- Abgaryan, V.K.; Kruglov, K.I. Thermal model of RF ion thrusters and ion sources. J. Surf. Investig. 2015, 9, 1137–1143. [Google Scholar] [CrossRef]
- Hey, F.G. Micro Newton Thruster Development; Springer: Wiesbaden, Germany, 2018; ISBN 9783658212087. [Google Scholar]
- Danzmann, K. Laser Interferometer Space Antenna—A Proposal in Response to the ESA Call for L3 Mission Concepts; European Space Agency: Paris, France, 2017; pp. 1–41. [Google Scholar]
- Brandt, T.; Kiel, C.; Trottenberg, T.; Groll, R.; Jansen, F.; Kersten, H.; Braxmaier, C. Simulation of a down-scaled HEMP-Thruster. In Proceedings of the 5th German-Russian Conference on Electric Propulsion and Their Application, Dresden, Deutschland, 7–12 September 2015. [Google Scholar]
- Kornfeld, G.; Harmann, H.-P.; Koch, N. Status and Limited Life Test Results of the Cylindrical HEMP 3050 Thruster. In Proceedings of the 41st AIAA/ASME/SAE/ASEE Joint Propulsion Conference & Exhibit, Tucson, Arizona, 10–13 July 2005. [Google Scholar] [CrossRef]
- Kornfeld, G.; Koch, N.; Harmann, H.P. Physics and Evolution of HEMP-Thrusters. In Proceedings of the 30th International Electric Propulsion Conference, Florence, Italy, 17–20 September 2007. [Google Scholar]
- Matyash, K.; Schneider, R.; Mutzke, A.; Kalentev, O.; Taccogna, F.; Koch, N.; Schirra, M. Kinetic simulations of SPT and HEMP thrusters including the near-field plume region. IEEE Trans. Plasma Sci. 2010, 38, 2274–2280. [Google Scholar] [CrossRef][Green Version]
- Kornfeld, G.; Koch, N.; Coustou, G. First Test Results of the Hemp Thruster Concept. In Proceedings of the 28th International Electric Propulsion Conference, Toulouse, France, 17–21 March 2003; pp. 1–10. [Google Scholar]
- Yongjie, D.; Hong, L.; Liqiu, W.; Yanlin, H.; Yan, S.; Hui, L.; Zhongxi, N.; Wei, M.; Daren, Y. Overview of Hall Electric Propulsion in China. IEEE Trans. Plasma Sci. 2018, 46, 263–282. [Google Scholar] [CrossRef]
- Koch, N. Der HEMP Thruster—Vorstellung Eines Neuartigen, Höchst Leistungsfähigen Elektrischen Triebwerks Für Satelliten und Interplanetare Sonden. 2003, pp. 1–34. Available online: https://www.dlr.de/rd/Portaldata/28/Resources/dokumente/RK/kornfeld-hemp_thruster.pdf (accessed on 21 May 2021).
- Koch, N.; Harmann, H.-P.; Kornfeld, G. First Test Results of the 1 to 15 kW Coaxial HEMP 30250 Thruster. In Proceedings of the 41st AIAA/ASME/SAE/ASEE Joint Propulsion Conference & Exhibit, Tucson, Arizona, 10–13 July 2005; pp. 1–5. [Google Scholar] [CrossRef]
- Genovese, A.; Lazurenko, A.; Koch, N.; Weis, S.; Schirra, M.; van Reijen, B.; Haderspeck, J.; Holtmann, P. Endurance Testing of HEMPT-based Ion Propulsion Modules for SmallGEO. In Proceedings of the 32nd International Electric Propulsion Conference, Wiesbaden, Germany, 1–15 September 2011; pp. 1–9. [Google Scholar]
- Kornfeld, G.; Koch, N.; Harmann, H.-P.; Micheli, P.; Meusemann, H.; Gengembre, E. High Power HEMP-Thruster Module, Status and Results of a DLR and ESA Development Program. In Proceedings of the 42nd AIAA/ASME/SAE/ASEE Joint Propulsion Conference & Exhibit, Sacramento, CA, USA, 9–12 July 2006; pp. 1–9. [Google Scholar] [CrossRef]
- Gildea, S.R.; Batishchev, O.; Martínez-Sánchez, M. Fully kinetic modeling of divergent cusped-field thrusters. In Proceedings of the 45th AIAA/ASME/SAE/ASEE Joint Propulsion Conference & Exhibit, Denver, CO, USA, 2–5 August 2009. [Google Scholar] [CrossRef]
- Courtney, D.G.; Lozano, P.; Martínez-Sánchez, M. Continued investigation of diverging cusped field thruster. In Proceedings of the 44th AIAA/ASME/SAE/ASEE Joint Propulsion Conference & Exhibit, Hartford, CT, USA, 21–23 July 2008. [Google Scholar] [CrossRef]
- Gildea, S.R.; Matlock, T.S.; Martínez-Sánchez, M.; Hargus, W.A. Erosion measurements in a low-power cusped-field plasma thruster. J. Propuls. Power 2013, 29, 906–918. [Google Scholar] [CrossRef]
- MacDonald, N.A.; Young, C.V.; Cappelli, M.A.; Hargus, W.A. Ion velocity and plasma potential measurements of a cylindrical cusped field thruster. J. Appl. Phys. 2012, 111. [Google Scholar] [CrossRef]
- MacDonald, N.A.; Cappelli, M.A.; Gildea, S.R.; Martínez-Sánchez, M.; Hargus, W.A. Laser-induced fluorescence velocity measurements of a diverging cusped-field thruster. J. Phys. D. Appl. Phys. 2011, 44. [Google Scholar] [CrossRef]
- Macdonald, N.A.; Cappelli, M.A.; Hargus, W.A. Time-synchronized continuous wave laser-induced fluorescence axial velocity measurements in a diverging cusped field thruster. J. Phys. D. Appl. Phys. 2014, 47. [Google Scholar] [CrossRef]
- Sun, G.; Yu, D.; Chen, P. Research of a Cusped Field Thruster Using Different Wall Materials. 2015. Available online: https://xueshu.baidu.com/usercenter/paper/show?paperid=cb43c6a047bd9c8ce31e86a82c56534d (accessed on 21 May 2021).
- Cui, K.; Liu, H.; Jiang, W.; Yu, D. Thrust noise cause analysis and suppression of a cusped field thruster. Acta Astronaut. 2021, 179, 322–329. [Google Scholar] [CrossRef]
- Canuto, E.; Molano, A.; Massotti, L. Drag-free control of the GOCE satellite: Noise and observer design. IEEE Trans. Control Syst. Technol. 2010, 18, 501–509. [Google Scholar] [CrossRef]
- Ma, C.; Liu, H.; Hu, Y.; Yu, D.; Chen, P.; Sun, G.; Zhao, Y. Experimental study on a variable magnet length cusped field thruster. Vacuum 2015, 115, 101–107. [Google Scholar] [CrossRef]
- Liu, H.; Chen, P.B.; Sun, Q.Q.; Hu, P.; Meng, Y.C.; Mao, W.; Yu, D.R. Design of a cusped field thruster for drag-free flight. Acta Astronaut. 2016, 126, 35–39. [Google Scholar] [CrossRef]
- Revell, K.D. City Planning, State-Building, and the Changing Scope of the Police Power; Cambridge University Press: Cambridge, UK, 2016; Volume 13, pp. 50–145. [Google Scholar]
- Canuto, E.; Bona, B.; Calafiore, G.; Indri, M. Drag free control for the European satellite GOCE. Part I: Modelling. Proc. IEEE Conf. Decis. Control 2002, 2, 1269–1274. [Google Scholar] [CrossRef]
- Keller, A. Feasibility of a Down-Scaled HEMP Thruster. Ph.D. Thesis, Justus-Liebig-University Gießen, Gießen, Germany, 2013. [Google Scholar]
- Braxmaier, C.; Tajmar, M.; Sell, A.; Eckert, K.; Weise, D.; Saks, N.; Johann, U. HEMPT Downscaling, Way Forward to the First EM for CubeSat Applications. In Proceedings of the the 35th International Electric Propulsion Conference, Atlanta, GA, USA, 8–12 October 2017; pp. 1–9. [Google Scholar]
- Keller, A. Feasibility of a down-scaled HEMP-Thruster. IEPC-2011-138. In Proceedings of the 32nd International Electric Propulsion Conference, Wiesbaden, Germany, 11–15 September 2011; pp. 1–6. [Google Scholar]
- Brandt, T.; Braxmaier, C.; Jansen, F.; Trottenberg, T.; Kersten, H.; Hey, F.G.; Johann, U.; Groll, R. Simulation for an improvement of a down-scaled HEMP thruster. In Proceedings of the 34th International Electric Propulsion Conference, Kobe, Japan, 7–10 July 2015; pp. 6–10. [Google Scholar]
- Liu, H.; Sun, G.; Zhao, Y.; Chen, P.; Ma, C.; Wu, H.; Yu, D. Plume control of a cusped field thruster. IEEE Trans. Plasma Sci. 2015, 43, 127–129. [Google Scholar] [CrossRef]
- Hu, P.; Liu, H.; Gao, Y.; Mao, W.; Yu, D. An experimental study of the effect of magnet length on the performance of a multi-cusped field thruster. J. Phys. D. Appl. Phys. 2016, 49. [Google Scholar] [CrossRef]
- Zhao, Y.; Liu, H.; Yu, D.; Ma, C. Particle-in-Cell Simulations for a variable magnet length Cusped-Field thruster. IEPC-2013-171. In Proceedings of the 33rd International Electric Propulsion Conference, Washington, DC, USA, 6–10 October 2013; pp. 1–5. [Google Scholar]
- Hu, P.; Liu, H.; Gao, Y.; Yu, D. Effects of magnetic field strength in the discharge channel on the performance of a multi-cusped field thruster. AIP Adv. 2016, 6. [Google Scholar] [CrossRef]
- Zhao, Y.J.; Liu, H.; Yu, D.R.; Hu, P.; Wu, H. Particle-in-cell simulations for the effect of magnetic field strength on a cusped field thruster. J. Phys. D. Appl. Phys. 2014, 47. [Google Scholar] [CrossRef]
- Hey, F.G.; Brandt, T.; Kornfeld, G.; Braxmaier, C.; Tajmar, M.; Johann, U. Downscaling a HEMPT to micro-Newton Thrust levels: Current status and latest results. In Proceedings of the 34th International Electric Propulsion Conference, Hyogo-Kobe, Japan, 4–10 July 2015; pp. 4–8. [Google Scholar]
- Fisch, N.J.; Raitses, Y.; Fruchtman, A. Ion acceleration in supersonically rotating magnetized-electron plasma. Plasma Phys. Control. Fusion 2011, 53. [Google Scholar] [CrossRef]
- Liu, H.; Chen, P.; Mao, W.; Yu, D.; Wang, C. Effect of the variable cross-section channel on performance of a cusped field thruster at low power. J. Phys. D. Appl. Phys. 2015, 48, 1–8. [Google Scholar] [CrossRef]
- Brandt, T.; Trottenberg, T.; Groll, R.; Jansen, F.; Hey, F.G.; Johann, U.; Kersten, H.; Braxmaier, C. Simulations on the influence of the spatial distribution of source electrons on the plasma in a cusped-field thruster. Eur. Phys. J. D 2015, 69. [Google Scholar] [CrossRef]
- Hu, P.; Mao, W.; Hu, Y.; Wu, P.; Shen, Y. Experimental study on two kinds of electron conduction routes in a multi-cusped field thruster. Plasma Res. Express 2019, 1, 025006. [Google Scholar] [CrossRef]
- Hu, P.; Liu, H.; Gao, Y.; Yu, D. Study on the structure and transition of the hollow plume in a multi-cusped field thruster. Phys. Plasmas 2016, 23. [Google Scholar] [CrossRef]
- Yu, D.; Hu, P.; Liu, H.; Shen, Y. Experimental study on the ionization regions in a multi-cusped field thruster. Plasma Sources Sci. Technol. 2018, 27. [Google Scholar] [CrossRef]
- Luo, J.; Bai, Y.Z.; Cai, L.; Cao, B.; Chen, W.M.; Chen, Y.; Cheng, D.C.; Ding, Y.W.; Duan, H.Z.; Gou, X.; et al. The first round result from the TianQin-1 satellite. Class. Quantum Gravity 2020, 37, 185013. [Google Scholar] [CrossRef]
- Conversano, R.W.; Goebel, D.M.; Hofer, R.R.; Mikellides, I.G.; Wirz, R.E. Performance analysis of a low-power magnetically shielded hall thruster: Experiments. J. Propuls. Power 2017, 33, 975–983. [Google Scholar] [CrossRef]
- Randolph, T.M.; von Jaskowsky, W.F.; Kelly, A.J.; Jahn, R.G. Measurement of ionization levels in the interelectrode region of an MPD thruster. In Proceedings of the AIAA/ASME/SAE/ASEE 28th Joint Propulsion Conference and Exhibit, Nashville, TN, USA, 6–8 July 1992. [Google Scholar] [CrossRef]
- Liu, H.; Zeng, M.; Yu, D.; Huang, H. Study of channel length effect on low power HEMP Thruster. Vacuum 2019, 163, 328–337. [Google Scholar] [CrossRef]
- Tondu, T.; Belhaj, M.; Inguimbert, V. Electron-emission yield under electron impact of ceramics used as channel materials in Hall-effect thrusters. J. Appl. Phys. 2011, 110, 1–5. [Google Scholar] [CrossRef]
- Raitses, Y.; Smirnov, A.; Staack, D.; Fisch, N.J. Measurements of secondary electron emission effects in the Hall thruster discharge. Phys. Plasmas 2006, 13, 1–4. [Google Scholar] [CrossRef]
- Zeng, M.; Liu, H.; Qiao, L.; Wang, F.; Huang, H.; Yu, D. Experimental investigation of dielectric wall material effects on low-power HEMP thruster. AIP Adv. 2020, 10. [Google Scholar] [CrossRef]
- Liu, H.; Zeng, M.; Jiang, W.; Yang, C.; Ning, Z.; Yu, D. Experimental investigation of the effects of variable expanding channel on the performance of a low-power cusped field thruster. AIP Adv. 2018, 8, 1–11. [Google Scholar] [CrossRef]
- Keller, A.; Köhler, P.; Hey, F.G.; Berger, M.; Braxmaier, C.; Feili, D.; Weise, D.; Johann, U. Parametric study of HEMP-thruster downscaling to μn thrust levels. IEEE Trans. Plasma Sci. 2015, 43, 45–53. [Google Scholar] [CrossRef]
- Ganguli, A.; Tarey, R.D.; Narayanan, R.; Verma, A. Evaluation of compact ECR plasma source for thruster applications. Plasma Sources Sci. Technol. 2019, 28. [Google Scholar] [CrossRef]
- Lebedev, Y.A. Microwave discharges at low pressures and peculiarities of the processes in strongly non-uniform plasma. Plasma Sources Sci. Technol. 2015, 24. [Google Scholar] [CrossRef]
- Liu, H.; Zeng, M.; Chen, Z.; Qiao, L.; Huang, H.; Yu, D. Electron cyclotron resonance discharge enhancement in a cusped field thruster. Plasma Sources Sci. Technol. 2020. [Google Scholar] [CrossRef]
- Choi, J.; Iza, F.; Do, H.J.; Lee, J.K.; Cho, M.H. Microwave-excited atmospheric-pressure microplasmas based on a coaxial transmission line resonator. Plasma Sources Sci. Technol. 2009, 18. [Google Scholar] [CrossRef]
- Kottke, N.G.; Vaupel, M.; Tajmar, M.; Konrad, W.; Saks, N.; Hey, F.G. Comparison of the thermionic emission properties of LaB6 and C12A7. In Proceedings of the 36th International Electric Propulsion Conference, Vienna, Austria, 15–20 September 2019; pp. 1–10. [Google Scholar]
























| Thruster Type | Technology Readiness Levels |
|---|---|
| Cold gas thruster | 9 |
| Colloid thruster | 7 (head), 5 (feed system) |
| Radio frequency ion thruster | 4 |
| Cusped field thruster | 3 |
| Year | Prototype | Anode Voltage (V) | Mass Flow Rate (sccm) | Thrust (mN) | Specific Impulse (s) | Total Efficiency (%) |
|---|---|---|---|---|---|---|
| 2002 | DM3a-MS2 | 200~600 | 8 | 5~10 | 500~1200 | 13~20 |
| 2003 | DM6 MS1 | 600~1200 | 20 | 30~45 | 1700~2500 | 27~35 |
| 2004 | DM7 | 600~1200 | 20 | 36~58 | 2000~3000 | 35~44 |
| 2004 | DM8 | 600~1200 | 20 | 33~57 | - | 36~47 |
| 2005 | DM9-2 | 600~1200 | 20 | 50~70 | 2500~3000 | 40~50 |
| 2005 | DM9-1 | 800~1000 | 20 | 15~70 | 2500~3000 | 36~46 |
| Year | Prototype | Anode Voltage (V) | Mass Flow Rate (sccm) | Thrust (mN) | Specific Impulse (s) | Total Efficiency (%) |
|---|---|---|---|---|---|---|
| 2012 | CFT [45] | 100~500 | 20–50 | 20–110 | 500~2300 | 10–35 |
| 2014 | CFT | 100–500 | 10–30 | 10–50 | 500–2200 | 6–35 |
| 2015 | CFT [46] | 300~1000 | 3–11 | 1–20 | 120~1800 | 5–30 |
| 2016 | CFT | 600~1200 | 1–3 | 0.5–7 | 400–2500 | 7–22 |
Publisher’s Note: MDPI stays neutral with regard to jurisdictional claims in published maps and institutional affiliations. |
© 2021 by the authors. Licensee MDPI, Basel, Switzerland. This article is an open access article distributed under the terms and conditions of the Creative Commons Attribution (CC BY) license (https://creativecommons.org/licenses/by/4.0/).
Share and Cite
Liu, H.; Zeng, M.; Niu, X.; Huang, H.; Yu, D. Low Power Cusped Field Thruster Developed for the Space-Borne Gravitational Wave Detection Mission in China. Appl. Sci. 2021, 11, 6549. https://doi.org/10.3390/app11146549
Liu H, Zeng M, Niu X, Huang H, Yu D. Low Power Cusped Field Thruster Developed for the Space-Borne Gravitational Wave Detection Mission in China. Applied Sciences. 2021; 11(14):6549. https://doi.org/10.3390/app11146549
Chicago/Turabian StyleLiu, Hui, Ming Zeng, Xiang Niu, Hongyan Huang, and Daren Yu. 2021. "Low Power Cusped Field Thruster Developed for the Space-Borne Gravitational Wave Detection Mission in China" Applied Sciences 11, no. 14: 6549. https://doi.org/10.3390/app11146549
APA StyleLiu, H., Zeng, M., Niu, X., Huang, H., & Yu, D. (2021). Low Power Cusped Field Thruster Developed for the Space-Borne Gravitational Wave Detection Mission in China. Applied Sciences, 11(14), 6549. https://doi.org/10.3390/app11146549

