A Finite Element Study on Compressive Resistance Degradation of Square and Circular Steel Braces under Axial Cyclic Loading
Abstract
:1. Introduction
2. Numerical Study
2.1. Element Type and Meshing
2.2. Loading Protocol and End Conditions
2.3. Material Modelling
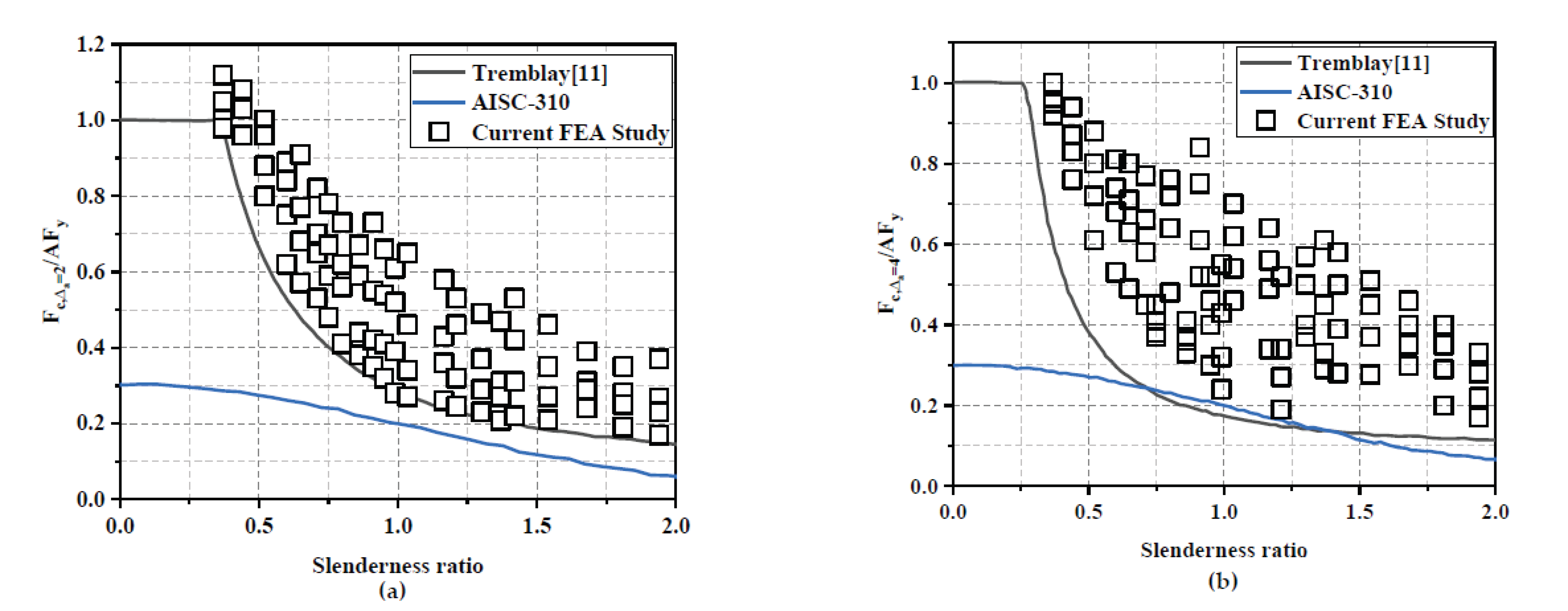
2.4. Validation of FE Models
2.5. Design of Braces for Parametric Study
3. Results
3.1. Axial Load-Displacement Hysteretic Response
3.2. Compressive/Tensile Strength Ratios Per Load Cycle
3.3. Cumulative Energy Dissipation of Braces
4. Discussion
5. Conclusions
- The overall cyclic response of both square and circular braces was comparatively affected by diameter/width-to-thickness ratios and slenderness ratios.
- Both square and circular shaped hollow braces, with smaller slenderness and width/diameter-to-thickness ratios, have better hysteretic performance. However, circular-shaped braces generally showed a superior performance than square-shaped braces.
- For all width/diameter-to-thickness ratios, the ultimate magnitude of energy dissipation reduced with the increase in the slenderness ratio. Thus, braces with smaller slenderness and width/diameter-to-thickness ratios have enhanced energy dissipation abilities.
- The compressive-tensile resistances significantly degraded with increasing cycles after the occurrence of the global buckling of the braces. The global buckling of slender specimens occurred earlier and compressive-tensile resistances were reduced more promptly compared to stocky members. Finally, the conclusion can be drawn that the width/diameter-to-thickness ratios have a paramount influence on the compressive-tensile resistance degradation of steel braces under axial cyclic loading. By comparison, the slenderness ratio was found to be less significant.
Author Contributions
Funding
Institutional Review Board Statement
Informed Consent Statement
Data Availability Statement
Conflicts of Interest
References
- Sheehan, T.; Chan, T.M. Response of hollow and concrete-filled CHS braces under cyclic loading. Structures and Buildings. Proc. Inst. Civ. Eng. 2014, 167, 140–152. [Google Scholar]
- Gao, X.; Li, Y.; Li, J.; Xu, J. Effect of steel braces buckling on inelastic torsion and design prevention of steel braced concrete frame structure. In Structures; Elsevier: Amsterdam, The Netherlands, 2020; Volume 28, pp. 1687–1700. [Google Scholar] [CrossRef]
- Sabelli, R. Research on Improving the Design and Analysis of Earthquake-Resistant Steel-Braced Frames; EERI: Oakland, CA, USA, 2001; 142p. [Google Scholar]
- Uriz, P. Toward Earthquake-Resistant Design of Concentrically Braced Steel-Frame Structures; Pacific Earthquake Engi-neering Research Center: Berkeley, CA, USA, 2008. [Google Scholar]
- Roeder, C.W.; Lumpkin, E.J.; Lehman, D.E. A balanced design procedure for special concentrically braced frame connections. J. Constr. Steel Res. 2011, 67, 1760–1772. [Google Scholar] [CrossRef]
- Palmer, K.D.; Roeder, C.W.; Lehman, D.E.; Okazaki, T.; Shield, C.K.; Powell, J. Concentric X-braced frames with HSS bracing. Int. J. Steel Struct. 2012, 12, 443–459. [Google Scholar] [CrossRef]
- Yoo, J.H. Effect of Mid-span Gusset Plates on the Behavior of Multi-Story X-Braced Frames. J. Korean Soc. Steel Constr. 2013, 25, 179–186. [Google Scholar] [CrossRef]
- Chen, C.H.; Lai, J.W.; Mahin, S. Seismic performance assessment of concentrically braced steel frame buildings. In Proceedings of the 14th World Conference on Earthquake Engineering, Beijing, China, 12–17 October 2008. [Google Scholar]
- Sen, A.D.; Sloat, D.; Pan, L.; Roeder, C.W.; Lehman, D.E.; Berman, J.W. Evaluation of the seismic performance of two-story concentrically braced frames with weak beams. In Proceedings of the 5th International Conference on Advances in Experimental Structural Engineering, Taipei, Taiwan, 8–9 November 2013. [Google Scholar]
- Costonzo, S.; D’Aniello, M.; Landolfo, R.; Martino, A.D. The influence of the beam flexural stiffness in the seismic response of inverted-V concentric braced frame. In Proceedings of the EUROSTEEL, Naples, Italy, 10–12 September 2014. [Google Scholar]
- Tremblay, R. Inelastic seismic response of steel bracing members. J. Constr. Steel Res. 2002, 58, 665–701. [Google Scholar] [CrossRef]
- Shaback, B.; Brown, T. Behaviour of square hollow structural steel braces with end connections under reversed cyclic axial loading. Can. J. Civ. Eng. 2003, 30, 745–753. [Google Scholar] [CrossRef] [Green Version]
- Tremblay, R.; Haddad, M.; Martinez, G.; Richard, J.; Moffatt, K. Inelastic cyclic testing of large size steel bracing members. In Proceedings of the 14th World Conference on Earthquake Engineering, Beijing, China, 12–17 October 2008; pp. 12–17. [Google Scholar]
- Roufegarinejad, A.; Tremblay, R. Finite element modeling of the inelastic cyclic response and fracture life of square tubular steel bracing members subjected to seismic inelastic loading. Behav. Steel Struct. Seism. Areas 2012, 97–103. [Google Scholar]
- Nip, K.; Gardner, L.; Elghazouli, A. Cyclic testing and numerical modelling of carbon steel and stainless steel tubular bracing members. Eng. Struct. 2010, 32, 424–441. [Google Scholar] [CrossRef] [Green Version]
- Kumar, P.A.; Sahoo, D.R. Fracture ductility of hollow circular and square steel braces under cyclic loading. Thin Walled Struct. 2018, 130, 347–361. [Google Scholar] [CrossRef]
- ABAQUS/Standard Version 6.10, User’s Manual; Hibbit, Karlsson and Sorensen Inc.: Providence, RI, USA, 2011.
- ECCS 1986. Recommended Testing Procedure for Assessing the Behaviour of Structural Steel Elements under Cyclic Loads; European Convention for Constructional Steelwork: Brussels, Belgium, 1986. [Google Scholar]
- Chaboche, J. Time-independent constitutive theories for cyclic plasticity. Int. J. Plast. 1986, 2, 149–188. [Google Scholar] [CrossRef]
- Nip, K.; Gardner, L.; Davies, C.; Elghazouli, A. Extremely low cycle fatigue tests on structural carbon steel and stainless steel. J. Constr. Steel Res. 2010, 66, 96–110. [Google Scholar] [CrossRef]
- ANSI/AISC 341-16. Seismic Provisions for Structural Steel Buildings; American Institute of Steel Construction (AISC): Chicago, IL, USA, 2016. [Google Scholar]
- Ministry of Housing and Urban-Rural Development of the People’s Republic of China (MOHURD). Code for Seismic Design of Buildings; GB 50011-2010; Ministry of Housing and Urban-Rural Development of the People’s Republic of China (MO-HURD): Beijing, China, 2010. [Google Scholar]
- ANSI-A; AISC 341-10. Seismic Provisions for Structural Steel Buildings; American Institute of Steel Construction: Chicago, IL, USA, 2010. [Google Scholar]














| Type of Material | Hot-Rolled Carbon Steel |
|---|---|
| Young’s Modulus, E (kN/mm2) | 215 |
| Density, ρ (kg/m3) | 7850 |
| Poison’s ratio, υ | 0.3 |
| Minimum specified tensile yield strength, fy (N/mm2) | 355 |
| Measured tensile strength/0.2% proof stress, , meas (N/mm2) | 465 |
| Ultimate tensile strength, fu (N/mm2) | 540 |
| Yield stress at zero equivalent plastic strain, σ|o (N/mm2) | 465 |
| Kinematic hardening constant, Ckin (N/mm2) | 23,554 |
| Kinematic hardening rate, γ | 139 |
| Isotropic hardening constant, Q∞ (N/mm2) | 55 |
| Isotropic hardening rate, biso | 2.38 |
| B (mm) | t (mm) | B/t | SR | D (mm) | t (mm) | D/t | SR |
|---|---|---|---|---|---|---|---|
| 187 | 16.5 | 8 | 50 | 227 | 29 | 8 | 50 |
| 182 | 12.5 | 12 | 220 | 19.2 | 12 | ||
| 179 | 9.5 | 16 | 215 | 13.9 | 16 | ||
| 177 | 7.7 | 20 | 212 | 11 | 20 | ||
| 161 | 15 | 8 | 60 | 191 | 25.5 | 8 | 60 |
| 157 | 11 | 12 | 182 | 16 | 12 | ||
| 154 | 8.5 | 16 | 178 | 11.3 | 16 | ||
| 152 | 6.8 | 20 | 176 | 9 | 20 | ||
| 135 | 12 | 8 | 70 | 164.5 | 23 | 8 | 70 |
| 133 | 9 | 12 | 156 | 14 | 12 | ||
| 128 | 6.5 | 16 | 152 | 9.8 | 16 | ||
| 127 | 5.5 | 20 | 148 | 7.6 | 20 | ||
| 119 | 10.8 | 8 | 80 | 143 | 19.2 | 8 | 80 |
| 115 | 7.6 | 12 | 136 | 12.3 | 12 | ||
| 113.5 | 6 | 16 | 133 | 8.5 | 16 | ||
| 111 | 4.75 | 20 | 131 | 6.8 | 20 | ||
| 105.5 | 9.5 | 8 | 90 | 127 | 17.8 | 8 | 90 |
| 102 | 6.8 | 12 | 121.5 | 11 | 12 | ||
| 100 | 5.2 | 16 | 118 | 7.8 | 16 | ||
| 99 | 4.2 | 20 | 115.7 | 6 | 20 | ||
| 95 | 8.6 | 8 | 100 | 114.5 | 16 | 8 | 100 |
| 92.3 | 6.16 | 12 | 109 | 9.7 | 12 | ||
| 90 | 4.6 | 16 | 106 | 6.8 | 16 | ||
| 89 | 3.8 | 20 | 105.2 | 5.5 | 20 | ||
| 86.5 | 8 | 8 | 110 | 103 | 14 | 8 | 110 |
| 84 | 5.6 | 12 | 98.6 | 8.5 | 12 | ||
| 82.8 | 4.4 | 16 | 96.5 | 6.3 | 16 | ||
| 81.2 | 3.5 | 20 | 95.5 | 5 | 20 | ||
| 79.6 | 7.3 | 8 | 120 | 94 | 12.5 | 8 | 120 |
| 76.5 | 5.2 | 12 | 90.1 | 7.8 | 12 | ||
| 76 | 4 | 16 | 88.8 | 5.9 | 16 | ||
| 74.9 | 3.2 | 20 | 87.1 | 4.5 | 20 | ||
| 73 | 6.8 | 8 | 130 | 86.6 | 11.6 | 8 | 130 |
| 71 | 4.8 | 12 | 83 | 7.4 | 12 | ||
| 70 | 3.7 | 16 | 81 | 5.2 | 16 | ||
| 69 | 3.1 | 20 | 80.7 | 4.2 | 20 | ||
| 68 | 6.3 | 8 | 140 | 80 | 10.3 | 8 | 140 |
| 66.2 | 4.5 | 12 | 77.5 | 6.9 | 12 | ||
| 65 | 3.4 | 16 | 76 | 5 | 16 | ||
| 64.1 | 2.8 | 20 | 74 | 3.8 | 20 | ||
| 63.1 | 5.5 | 8 | 150 | 73.5 | 8.9 | 8 | 150 |
| 62 | 4.2 | 12 | 72 | 6.4 | 12 | ||
| 61 | 3.3 | 16 | 70.6 | 4.6 | 16 | ||
| 60 | 2.6 | 20 | 69 | 3.5 | 20 |
Publisher’s Note: MDPI stays neutral with regard to jurisdictional claims in published maps and institutional affiliations. |
© 2021 by the authors. Licensee MDPI, Basel, Switzerland. This article is an open access article distributed under the terms and conditions of the Creative Commons Attribution (CC BY) license (https://creativecommons.org/licenses/by/4.0/).
Share and Cite
Hussain, H.; Gao, X.; Shi, A. A Finite Element Study on Compressive Resistance Degradation of Square and Circular Steel Braces under Axial Cyclic Loading. Appl. Sci. 2021, 11, 6094. https://doi.org/10.3390/app11136094
Hussain H, Gao X, Shi A. A Finite Element Study on Compressive Resistance Degradation of Square and Circular Steel Braces under Axial Cyclic Loading. Applied Sciences. 2021; 11(13):6094. https://doi.org/10.3390/app11136094
Chicago/Turabian StyleHussain, Hubdar, Xiangyu Gao, and Anqi Shi. 2021. "A Finite Element Study on Compressive Resistance Degradation of Square and Circular Steel Braces under Axial Cyclic Loading" Applied Sciences 11, no. 13: 6094. https://doi.org/10.3390/app11136094
APA StyleHussain, H., Gao, X., & Shi, A. (2021). A Finite Element Study on Compressive Resistance Degradation of Square and Circular Steel Braces under Axial Cyclic Loading. Applied Sciences, 11(13), 6094. https://doi.org/10.3390/app11136094

