Time Saving Students’ Formative Assessment: Algorithm to Balance Number of Tasks and Result Reliability
Abstract
:Featured Application
Abstract
1. Introduction
2. Need of New Formative Assessment Algorithms
3. Materials and Methods
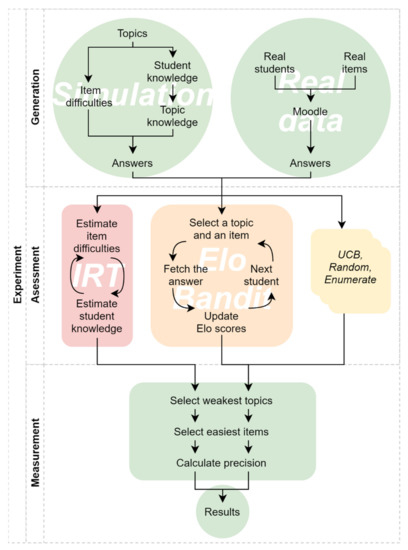
3.1. Research Methadology
3.2. Formative Assessment Algorithms
3.2.1. Elo-Bandit Algorithm
| Algorithm 1. The proposed Elo-bandit algorithm for test item selection. |
| 1. // Find unused items i for each topic T with non-zero item-topic weights 2. For each topic do 3. For each item do 4. If wit ≠ 0 and i ∉ Us then 5. t ∪ { i } 6. // Calculate lower confidence bound of estimated Elo bt 7. For each t ≠ Ø do 8. |
| 9. Choose a topic with the smallest bt value 10. Choose the item with the smallest Elo from Tc, 11. Add the item to the list of seen items by the student, Us ∪ { ic } 12. Calculate the probability of correct answer, 13. // Update item and student knowledge Elo estimates based on the answer 14. For each topic do 15. 16. |
3.2.2. Other Formative Assessment Algorithms
3.3. Data Preparation for Algorithm Validation
3.3.1. Simulated Students’ Data
3.3.2. Real Students’ Data
3.4. Validation Measurements and Metrics
4. Results
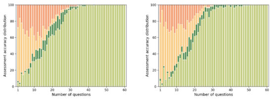
4.1. LTT Item Precision Simulation
4.2. CTT Topic Precision Empirical Data
4.3. LTT Item Prescision Emprical Data
5. Discussion
6. Conclusions and Future Work
Author Contributions
Funding
Institutional Review Board Statement
Informed Consent Statement
Data Availability Statement
Conflicts of Interest
References
- Black, P.; Wiliam, D. Assessment and Classroom Learning. Assess. Educ. Princ. Policy Pract. 1998, 5, 7–74. [Google Scholar] [CrossRef]
- Dunn, K.E.; Mulvenon, S.W. A Critical Review of Research on Formative Assessments: The Limited Scientific Evidence of the Impact of Formative Assessments in Education. Pract. Assess. Res. Eval. 2009, 14, 7. [Google Scholar]
- Guskey, T. Formative Classroom Assessment and Benjamin S. Bloom: Theory, Research, and Implications. In Proceedings of the Annual Meeting of the American Educational Research Association, Montreal, QC, Canada, 11–15 April 2005. [Google Scholar]
- Leenknecht, M.; Wijnia, L.; Köhlen, M.; Fryer, L.; Rikers, R.; Loyens, S. Formative assessment as practice: The role of students’ motivation. Assess. Eval. High. Educ. 2021, 46, 236–255. [Google Scholar] [CrossRef]
- Scriven, M. The methodology of evaluation. In Social Science Education Consortium; Purdue University: West Lafayette, IN, USA, 1967. [Google Scholar]
- Sadler, D.R. Formative Assessment: Revisiting the territory. Assess. Educ. Princ. Policy Pract. 2007, 5, 77–84. [Google Scholar] [CrossRef]
- Moss, C.M.; Brookhart, S.M. Advancing Formative Assessment in Every Classroom: A Guide for Instructional Leaders; ASCD: Alexandria, VA, USA, 2019; ISBN 1416626727. [Google Scholar]
- Tomasik, M.J.; Berger, S.; Moser, U. On the development of a computer-based tool for formative student assessment: Epistemological, methodological, and practical issues. Front. Psychol. 2018, 9, 2245. [Google Scholar] [CrossRef] [Green Version]
- Group, A.R. Assessment for Learning: Beyond the Black Box; Qualifications and Curriculum Authority: Coventry, UK, 1999; ISBN 0856030422. [Google Scholar]
- Sadley, D.R. Formative assessment and the design of instructional systems. Instr. Sci. 1989, 18, 119–144. [Google Scholar] [CrossRef]
- McLaughlin, T.; Yan, Z. Diverse delivery methods and strong psychological benefits: A review of online formative assessment. J. Comput. Assist. Learn. 2017, 33, 562–574. [Google Scholar] [CrossRef]
- Marzano, R.; Pickering, D.; Pollock, J. Classroom Instruction That Works: Research-Based Strategies for Increasing Student Achievement; Pearson Education Ltd.: Harlow, Essex, UK, 2004; ISBN 987-0131195035. [Google Scholar]
- Shute, V.J. Focus on formative feedback. Rev. Educ. Res. 2008, 78, 153–189. [Google Scholar] [CrossRef]
- Bennett, R.E. Formative assessment: A critical review. Assess. Educ. Princ. Policy Pract. 2011, 18, 5–25. [Google Scholar] [CrossRef]
- Ozan, C.; Kıncal, R.Y. The effects of formative assessment on academic achievement, attitudes toward the lesson, and self-regulation skills. Educ. Sci. Theory Pract. 2018, 18, 85–118. [Google Scholar] [CrossRef] [Green Version]
- Hattie, J.; Timperley, H. The Power of Feedback. Rev. Educ. Res. 2007, 77, 81–112. [Google Scholar] [CrossRef]
- Gareis, C.R. Reclaiming an important teacher competency: The lost art of formative assessment. J. Pers. Eval. Educ. 2007, 20, 17–20. [Google Scholar] [CrossRef]
- Guskey, T.R.; Bailey, J.M. Developing Grading and Reporting Systems for Student Learning; Corwin Press: Thousand Oaks, CA, USA, 2001; ISBN 080396854X. [Google Scholar]
- Nicol, D.; Macfarlane-Dick, D. Rethinking Formative Assessment in HE: A Theoretical Model and Seven Principles of Good Feedback Practice; The Higher Education Academy: York, UK, 2006. [Google Scholar]
- Choi, Y.; McClenen, C. Development of adaptive formative assessment system using computerized adaptive testing and dynamic bayesian networks. Appl. Sci. 2020, 10, 8196. [Google Scholar] [CrossRef]
- Novick, M.R. The axioms and principal results of classical test theory. J. Math. Psychol. 1966, 3, 1–18. [Google Scholar] [CrossRef]
- Hambleton, R.K.; Swaminathan, H.; Cook, L.L.; Eignor, D.R.; Gifford, J.A. Developments in Latent Trait Theory: Models, Technical Issues, and Applications. Rev. Educ. Res. 1978, 48, 467–510. [Google Scholar] [CrossRef]
- Meiser, T.; Plieninger, H.; Henninger, M. IRTree models with ordinal and multidimensional decision nodes for response styles and trait-based rating responses. Br. J. Math. Stat. Psychol. 2019, 72, 501–516. [Google Scholar] [CrossRef] [PubMed]
- Reckase, M.D. The past and future of multidimensional item response theory. Appl. Psychol. Meas. 1997, 21, 25–36. [Google Scholar] [CrossRef]
- Kolen, M.J. Comparison of traditional and item response theory methods for equating tests. J. Educ. Meas. 1981, 18, 1–11. [Google Scholar] [CrossRef]
- Lord, F.M. Applications of Item Response Theory to Practical Testing Problems; Routledge: London, UK, 1980; ISBN 1136557245. [Google Scholar]
- Jia, J.; Le, H. The design and implementation of a computerized adaptive testing system for school mathematics based on item response theory. In International Conference on Technology in Education; Springer: Singapore, 2020. [Google Scholar]
- Wang, W.; Song, L.; Wang, T.; Gao, P.; Xiong, J. A Note on the Relationship of the Shannon Entropy Procedure and the Jensen–Shannon Divergence in Cognitive Diagnostic Computerized Adaptive Testing. SAGE Open 2020, 10. [Google Scholar] [CrossRef]
- McDonald, A.S. The impact of individual differences on the equivalence of computer-based and paper-and-pencil educational assessments. Comput. Educ. 2002, 39, 299–312. [Google Scholar] [CrossRef]
- Syeda, Z.F.; Shahzadi, U.; Ali, G. Rasch Calibration of Achievement Test: An Application of Item Response Theory. SJESR 2020, 3, 426–432. [Google Scholar] [CrossRef]
- Edelen, M.O.; Reeve, B.B. Applying item response theory (IRT) modeling to questionnaire development, evaluation, and refinement. Qual. Life Res. 2007, 16, 5–18. [Google Scholar] [CrossRef] [PubMed]
- Elo, A.E. The Rating Of Chess Players, Past & Present; Ishi Press: San Jose, CA, USA, 2008; ISBN 978-0923891275. [Google Scholar]
- Pelánek, R. Applications of the Elo rating system in adaptive educational systems. Comput. Educ. 2016, 98, 169–179. [Google Scholar] [CrossRef]
- Abdi, S.; Khosravi, H.; Sadiq, S. Modelling learners in adaptive educational systems: A multivariate glicko-based approach. In Proceedings of the Lak21: 11th International Learning Analytics and Knowledge Conference, Virtual. Irvine, CA, USA, 12–16 April 2021. [Google Scholar] [CrossRef]
- Mangaroska, K.; Vesin, B.; Giannakos, M. Elo-rating method: Towards adaptive assessment in e-learning. In Proceedings of the IEEE 19th International Conference on Advanced Learning Technologies, ICALT 2019, Maceio, Brazil, 15–18 July 2019. [Google Scholar]
- Abdi, S.; Khosravi, H.; Sadiq, S.; Gasevic, D. A multivariate elo-based learner model for adaptive educational systems. arXiv 2019, arXiv:1910.12581. [Google Scholar]
- Doebler, P.; Alavash, M.; Giessing, C. Adaptive experiments with a multivariate Elo-type algorithm. Behav. Res. Methods 2015, 47, 384–394. [Google Scholar] [CrossRef] [PubMed]
- Desmarais, M.C.; Baker, R.S.J.D. A review of recent advances in learner and skill modeling in intelligent learning environments. User Model. User Adapt. Interact. 2012, 22, 9–38. [Google Scholar] [CrossRef] [Green Version]
- Pavlik, P.I.; Cen, H.; Koedinger, K.R. Performance factors analysis—A new alternative to knowledge tracing. In Proceedings of the 14th International Conference on Artificial Intelligence in Education, Brighton, UK, 6–10 July 2009. [Google Scholar]
- Liu, M.; Kitto, K.; Shum, S.B. Combining factor analysis with writing analytics for the formative assessment of written reflection. Comput. Hum. Behav. 2021, 120, 106733. [Google Scholar] [CrossRef]
- Corbett, A.T.; Anderson, J.R. Knowledge tracing: Modeling the acquisition of procedural knowledge. User Model. User Adapt. Interact. 1994, 4, 253–278. [Google Scholar] [CrossRef]
- Wu, J.; Huang, Z.; Liu, Q.; Lian, D.; Wang, H.; Chen, E.; Ma, H.; Wang, S. Federated Deep Knowledge Tracing. In Proceedings of the 14th ACM International Conference on Web Search and Data Mining, WSDM 21, Virtual event. Israel, 8–12 March 2021. [Google Scholar]
- Zhou, Y.; Li, X.; Cao, Y.; Zhao, X.; Ye, Q.; Lv, J. LANA: Towards Personalized Deep Knowledge Tracing Through Distinguishable Interactive Sequences. arXiv 2021, arXiv:2105.06266. [Google Scholar]
- Liu, Y.; Mandel, T.; Brunskill, E.; Popovi, Z. Trading Off Scientific Knowledge and User Learning with Multi-Armed Bandits. In Proceedings of the 7th International Conference on Educational Data Mining EDM14, London, UK, 4–7 July 2014. [Google Scholar]
- Melesko, J.; Novickij, V. Computer adaptive testing using upper-confidence bound algorithm for formative assessment. Appl. Sci. 2019, 9, 4303. [Google Scholar] [CrossRef] [Green Version]
- Lin, F. Adaptive quiz generation using Thompson sampling. In Proceedings of the Third Workshop Eliciting Adaptive Sequences for Learning (WASL 2020), Cyberspace. 6 July 2020. [Google Scholar]
- Lai, T.; Robbins, H. Asymptotically efficient adaptive allocation rules. Adv. Appl. Math. 1985, 6, 4–22. [Google Scholar] [CrossRef] [Green Version]
- Agrawal, R. Sample mean based index policies by O(log n) regret for the multi-armed bandit problem. Adv. Appl. Probab. 1995, 27, 1054–1078. [Google Scholar] [CrossRef]
- Vermorel, J.; Mohri, M. Multi-armed bandit algorithms and empirical evaluation. In Proceedings of the 16th European Conference on Machine Learning, ECML 2015, Porto, Portugal, 3–7 October 2005. [Google Scholar]
- Bubeck, S.; Cesa-Bianchi, N. Regret analysis of stochastic and nonstochastic multi-armed bandit problems. Found. Trends Mach. Learn. 2012, 5, 1–122. [Google Scholar] [CrossRef] [Green Version]
- Clement, B.; Roy, D.; Lopes, M.; Oudeyer, P.; Clement, B.; Roy, D.; Lopes, M.; Optimization, P.O.O. Online Optimization and Personalization of Teaching Sequences. In Proceedings of the DI: Digital Intelligence—1st International Conference on Digital Cultures, Nantes, France, 17–19 September 2014. [Google Scholar]
- Lan, A.S.; Baraniuk, R.G. A Contextual Bandits Framework for Personalized Learning Action Selection. In Proceedings of the 9th International Conference on Educational Data Mining EDM16, Raleigh, NC, USA, 29 June–2 July 2016; pp. 424–429. [Google Scholar]
- Panadero, E.; Andrade, H.; Brookhart, S. Fusing self-regulated learning and formative assessment: A roadmap of where we are, how we got here, and where we are going. Aust. Educ. Res. 2018, 45, 13–31. [Google Scholar] [CrossRef]
- Szepesvari, C.; Lattimore, T. Bandit Algorithms; Cambridge University Press: Cambridge, UK, 2020; ISBN 978-1108486828. [Google Scholar]
- Nižnan, J.; Pelánek, R.; Rihák, J. Student Models for Prior Knowledge Estimation. In Proceedings of the 8th International Conference on Educational Data Mining EDM15, Madrid, Spain, 26–29 June 2015. [Google Scholar]
- Kirschner, P.A. Stop propagating the learning styles myth. Comput. Educ. 2017, 106, 166–171. [Google Scholar] [CrossRef]
- Papadatou-Pastou, M.; Gritzali, M.; Barrable, A. The Learning Styles Educational Neuromyth: Lack of Agreement Between Teachers’ Judgments, Self-Assessment, and Students’ Intelligence. Front. Educ. 2018, 3. [Google Scholar] [CrossRef] [Green Version]
- Bratti, M.; Staffolani, S. Student Time Allocation and Educational Production Functions. Ann. Econ. Stat. 2013, 103. [Google Scholar] [CrossRef]
- Pignatiello, G.A.; Martin, R.J.; Hickman, R.L. Decision fatigue: A conceptual analysis. J. Health Psychol. 2020, 25, 123–135. [Google Scholar] [CrossRef]
- Pankiewicz, M.; Bator, M. Elo Rating Algorithm for the Purpose of Measuring Task Difficulty in Online Learning Environments. e-Mentor 2019, 82, 43–51. [Google Scholar] [CrossRef]
- Antal, M. On the use of ELO rating for adaptive assessment. Stud. Inform. 2013, 58, 29–41. [Google Scholar]








Publisher’s Note: MDPI stays neutral with regard to jurisdictional claims in published maps and institutional affiliations. |
© 2021 by the authors. Licensee MDPI, Basel, Switzerland. This article is an open access article distributed under the terms and conditions of the Creative Commons Attribution (CC BY) license (https://creativecommons.org/licenses/by/4.0/).
Share and Cite
Melesko, J.; Ramanauskaite, S. Time Saving Students’ Formative Assessment: Algorithm to Balance Number of Tasks and Result Reliability. Appl. Sci. 2021, 11, 6048. https://doi.org/10.3390/app11136048
Melesko J, Ramanauskaite S. Time Saving Students’ Formative Assessment: Algorithm to Balance Number of Tasks and Result Reliability. Applied Sciences. 2021; 11(13):6048. https://doi.org/10.3390/app11136048
Chicago/Turabian StyleMelesko, Jaroslav, and Simona Ramanauskaite. 2021. "Time Saving Students’ Formative Assessment: Algorithm to Balance Number of Tasks and Result Reliability" Applied Sciences 11, no. 13: 6048. https://doi.org/10.3390/app11136048
APA StyleMelesko, J., & Ramanauskaite, S. (2021). Time Saving Students’ Formative Assessment: Algorithm to Balance Number of Tasks and Result Reliability. Applied Sciences, 11(13), 6048. https://doi.org/10.3390/app11136048

