Stability Study of Erythritol as Phase Change Material for Medium Temperature Thermal Applications
Abstract
1. Introduction
2. Materials and Methods
2.1. Materials
2.2. Sample Preparation
2.3. Thermal Treatment
2.4. Differential Scanning Calorimetry (DSC) Characterization
2.5. Proposed Kinetic Model of Latent Heat Degradation
2.6. Fourier-Transform Infrared Spectroscopy (FTIR) Analysis
3. Results and Discussion
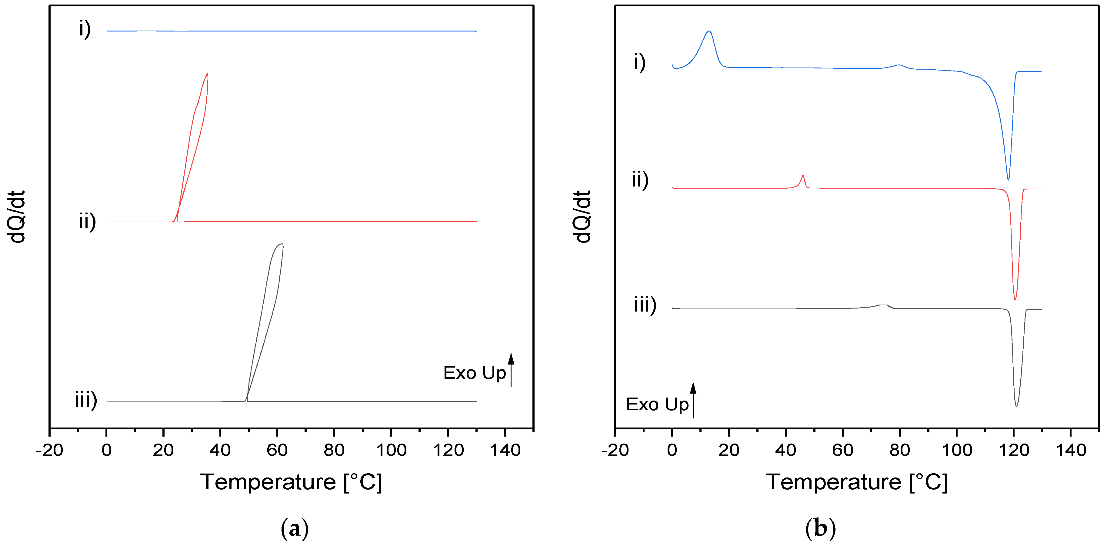
3.1. Mass Loss
3.2. Latent Heat Degradation
3.3. Kinetic Analysis of Latent Heat Degradation
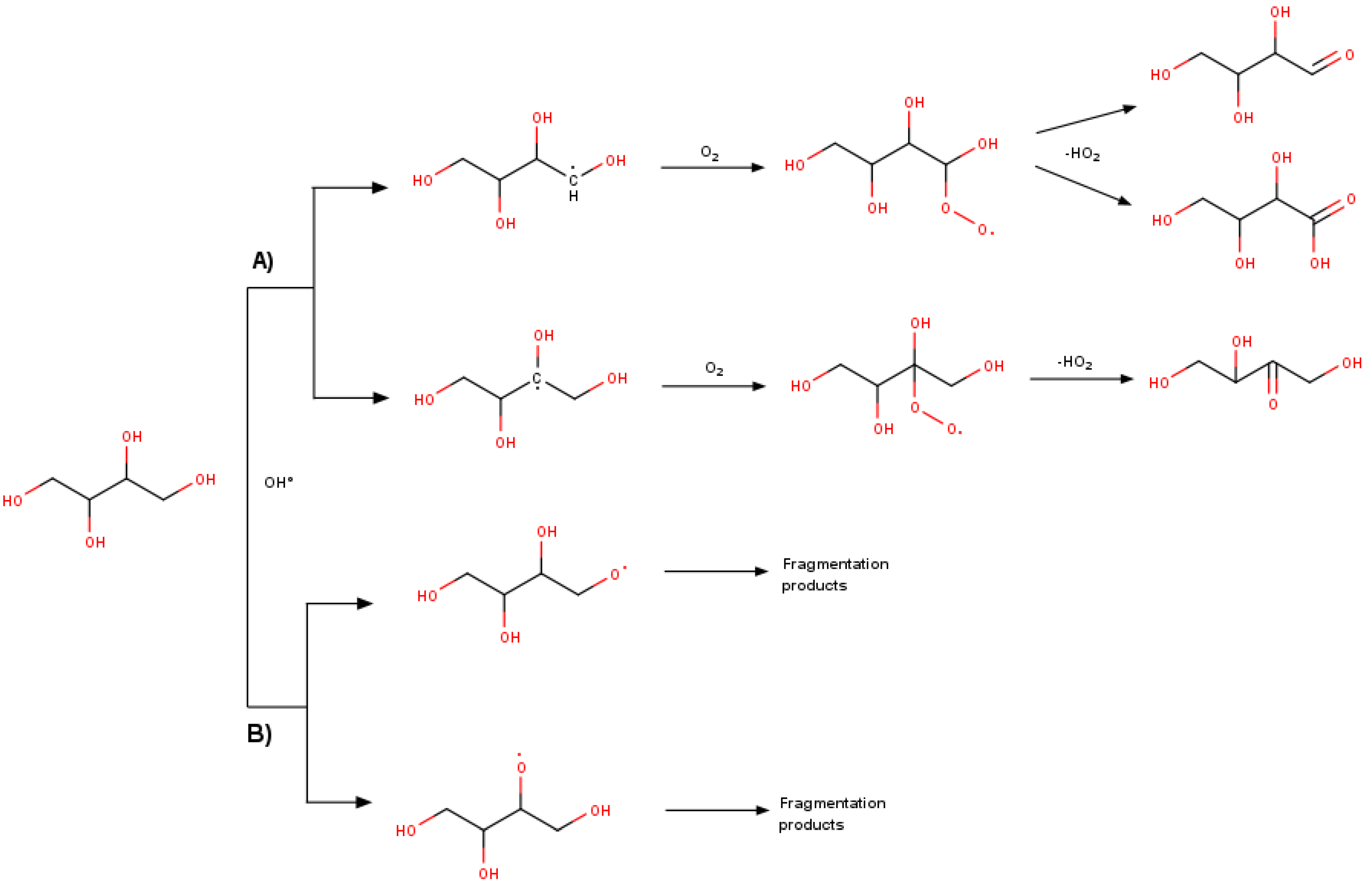
3.4. Chemical Degradation
4. Conclusions
Author Contributions
Funding
Institutional Review Board Statement
Informed Consent Statement
Data Availability Statement
Acknowledgments
Conflicts of Interest
References
- Gude, V.G.; Nirmalakhandan, N.; Deng, S.; Maganti, A. Low temperature desalination using solar collectors augmented by thermal energy storage. Appl. Energy 2012, 91, 466–474. [Google Scholar] [CrossRef]
- Tian, Y.; Zhao, C. A review of solar collectors and thermal energy storage in solar thermal applications. Appl. Energy 2013, 104, 538–553. [Google Scholar] [CrossRef]
- N’Tsoukpoe, K.E.; Liu, H.; Le Pierrès, N.; Luo, L. A review on long-term sorption solar energy storage. Renew. Sustain. Energy Rev. 2009, 13, 2385–2396. [Google Scholar] [CrossRef]
- IEA IRENA. Thermal Energy Storage: Technology Brief E17. 2013. Available online: https://www.irena.org/DocumentDownloads/Publications/IRENA-ETSAP 20Tech 20Brief 20E17 20Thermal 20Energy 20Storage.pdf (accessed on 14 September 2018).
- Garg, H.; Mullick, S.C.; Bhargava, A.K. Sensible heat storage. In Solar Thermal Energy Storage; Garg, H.P., Mullick, S.C., Bhargava, A.K., Eds.; Springer: Dordrecht, The Netherlands, 1985; pp. 82–153. [Google Scholar]
- Mehling, H.; Cabeza, L.F. Heat and Cold Storage with PCM: An Up to Date Introduction into Basics and Applications; Springer: Berlin/Heidelberg, Germany, 2008. [Google Scholar]
- Kuznik, F.; David, D.; Johannes, K.; Roux, J.-J. A review on phase change materials integrated in building walls. Renew. Sustain. Energy Rev. 2011, 15, 379–391. [Google Scholar] [CrossRef]
- Ismail, K.; Henríquez, J.R. Thermally effective windows with moving phase change material curtains. Appl. Therm. Eng. 2001, 21, 1909–1923. [Google Scholar] [CrossRef]
- Weinläder, H.; Beck, A.; Fricke, J. PCM-facade-panel for daylighting and room heating. Sol. Energy 2005, 78, 177–186. [Google Scholar] [CrossRef]
- Boussaba, L.; Foufa, A.; Makhlouf, S.; Lefebvre, G.; Royon, L. Elaboration and properties of a composite bio-based PCM for an application in building envelopes. Constr. Build. Mater. 2018, 185, 156–165. [Google Scholar] [CrossRef]
- del Barrio, E.P.; Godin, A.; Duquesne, M.; Daranlot, J.; Jolly, J.; Alshaer, W.; Kouadio, T.; Sommier, A. Characterization of different sugar alcohols as phase change materials for thermal energy storage applications. Sol. Energy Mater. Sol. Cells 2017, 159, 560–569. [Google Scholar] [CrossRef]
- Zhang, H.; Duquesne, M.; Godin, A.; Niedermaier, S.; Del Barrio, E.P.; Nedea, S.V.; Rindt, C.C. Experimental and in silico characterization of xylitol as seasonal heat storage material. Fluid Phase Equilib. 2017, 436, 55–68. [Google Scholar] [CrossRef]
- Gunasekara, S.N.; Pan, R.; Chiu, J.N.; Martin, V. Polyols as phase change materials for surplus thermal energy storage. Appl. Energy 2016, 162, 1439–1452. [Google Scholar] [CrossRef]
- Kaizawa, A.; Maruoka, N.; Kawai, A.; Kamano, H.; Jozuka, T.; Senda, T.; Akiyama, T. Thermophysical and heat transfer properties of phase change material candidate for waste heat transportation system. Heat Mass Transf. 2008, 44, 763–769. [Google Scholar] [CrossRef]
- Kakiuchi, H.; Yamazaki, M.; Yabe, M.; Chihara, S.; Terunuma, Y.; Sakata, Y.; Usami, T. A study of erythritol as phase change material. In Proceedings of the 2nd Workshop IEA Annex 10, Phase Change Materials and Chemical Reactions for Thermal Energy Storage, Sofia, Bulgaria, 11–13 April 1998. [Google Scholar]
- Nomura, T.; Tsubota, M.; Oya, T.; Okinaka, N.; Akiyama, T. Heat release performance of direct-contact heat exchanger with erythritol as phase change material. Appl. Therm. Eng. 2013, 61, 28–35. [Google Scholar] [CrossRef]
- Zhang, H.; van Wissen, R.M.J.; Nedea, S.V.; Rindt, C.C.M. Characterization of sugar alcohols as seasonal heat storage media—experimental and theoretical investigations. In Proceedings of the Advances in Thermal Energy Storage, EUROTHERM 99, Lleida, Spain, 28–30 May 2014. [Google Scholar]
- Jesus, A.J.L.; Nunes, S.C.; Silva, M.R.; Beja, A.M.; Redinha, J. Erythritol: Crystal growth from the melt. Int. J. Pharm. 2010, 388, 129–135. [Google Scholar] [CrossRef] [PubMed]
- Diarce, G.; Gandarias, I.; Campos-Celador, Á.; García-Romero, A.; Griesser, U. Eutectic mixtures of sugar alcohols for thermal energy storage in the 50–90 °C temperature range. Sol. Energy Mater. Sol. Cells 2015, 134, 215–226. [Google Scholar] [CrossRef]
- Guo, S.; Liu, Q.; Zhao, J.; Jin, G.; Wang, X.; Lang, Z.; He, W.; Gong, Z. Evaluation and comparison of erythritol-based composites with addition of expanded graphite and carbon nanotubes. Appl. Energy 2017, 205, 703–709. [Google Scholar] [CrossRef]
- Agyenim, F.; Eames, P.; Smyth, M. Experimental study on the melting and solidification behaviour of a medium temperature phase change storage material (Erythritol) system augmented with fins to power a LiBr/H2O absorption cooling system. Renew. Energy 2011, 36, 108–117. [Google Scholar] [CrossRef]
- Kaizawa, A.; Kamano, H.; Kawai, A.; Jozuka, T.; Senda, T.; Maruoka, N.; Akiyama, T. Thermal and flow behaviors in heat transportation container using phase change material. Energy Convers. Manag. 2008, 49, 698–706. [Google Scholar] [CrossRef]
- BASF. Industrial Coatings: Technical Data Sheet. Irganox 1010. 2015. Available online: https://worldaccount.basf.com/wa/NAFTA~en_US/Catalog/Additives/info/BASF/PRD/30546637 (accessed on 18 March 2019).
- Zaharescu, T.; Giurginca, M.; Jipa, S. Radiochemical oxidation of ethylene–propylene elastomers in the presence of some phenolic antioxidants. Polym. Degrad. Stab. 1999, 63, 245–251. [Google Scholar] [CrossRef]
- Gensler, R.; Plummer, C.; Kausch, H.-H.; Krämer, E.; Pauquet, J.-R.; Zweifel, H. Thermo-oxidative degradation of isotactic polypropylene at high temperatures: Phenolic antioxidants versus HAS. Polym. Degrad. Stab. 2000, 67, 195–208. [Google Scholar] [CrossRef]
- Sagara, A.; Nomura, T.; Tsubota, M.; Okinaka, N.; Akiyama, T. Improvement in thermal endurance of D-mannitol as phase-change material by impregnation into nanosized pores. Mater. Chem. Phys. 2014, 146, 253–260. [Google Scholar] [CrossRef]
- Vyazovkin, S.; Sbirrazzuoli, N. Kinetic methods to study isothermal and nonisothermal epoxy-anhydride cure. Macromol. Chem. Phys. 1999, 200, 2294–2303. [Google Scholar] [CrossRef]
- Vyazovkin, S.; Wight, C.A. Model-free and model-fitting approaches to kinetic analysis of isothermal and nonisothermal data. Thermochim. Acta 1999, 340, 53–68. [Google Scholar] [CrossRef]
- Halikia, I.; Zoumpoulakis, L.; Christodoulou, E.; Prattis, D. Kinetic study of the thermal decomposition of calcium. Eur. J. Miner. Process. Environ. Prot. 2001, 1, 89–102. [Google Scholar]
- Neumann, H.; Niedermaier, S.; Gschwander, S.; Schossig, P. Cycling stability of d-mannitol when used as phase change material for thermal storage applications. Thermochim. Acta 2018, 660, 134–143. [Google Scholar] [CrossRef]
- Solé, A.; Neumann, H.; Niedermaier, S.; Martorell, I.; Schossig, P.; Cabeza, L.F. Stability of sugar alcohols as PCM for thermal energy storage. Sol. Energy Mater. Sol. Cells 2014, 126, 125–134. [Google Scholar] [CrossRef]
- Feng, H.; Liu, X.; He, S.; Wu, K.; Zhang, J. Studies on solid-solid phase transitions of polyols by infrared spectroscopy. Thermochim. Acta 2000, 348, 175–179. [Google Scholar] [CrossRef]
- Wu, N.; Li, X.; Liu, S.; Zhang, M.; Ouyang, S. Effect of hydrogen bonding on the surface tension properties of binary mixture (acetone-water) by Raman spectroscopy. Appl. Sci. 2019, 9, 1235. [Google Scholar] [CrossRef]
- Inagaki, T.; Ishida, T. Computational design of non-natural sugar alcohols to increase thermal storage density: Beyond existing organic phase change materials. J. Am. Chem. Soc. 2016, 138, 11810–11819. [Google Scholar] [CrossRef]
- Matuszek, K.; Vijayaraghavan, R.; Kar, M.; Macfarlane, D.R. Role of hydrogen bonding in phase change materials. Cryst. Growth Des. 2019, 20, 1285–1291. [Google Scholar] [CrossRef]
- Nomura, T.; Zhu, C.; Sagara, A.; Okinaka, N.; Akiyama, T. Estimation of thermal endurance of multicomponent sugar alcohols as phase change materials. Appl. Therm. Eng. 2015, 75, 481–486. [Google Scholar] [CrossRef]
- Bayón, R.; Rojas, E. Feasibility study of D-mannitol as phase change material for thermal storage. AIMS Energy 2017, 5, 404–424. [Google Scholar] [CrossRef]
- Nakano, K.; Masuda, Y.; Daiguji, H. Crystallization and melting behavior of erythritol in and around two-dimensional hexagonal mesoporous silica. J. Phys. Chem. C 2015, 119, 4769–4777. [Google Scholar] [CrossRef]
- Dougherty, R.C. Temperature and pressure dependence of hydrogen bond strength: A perturbation molecular orbital approach. J. Chem. Phys. 1998, 109, 7372–7378. [Google Scholar] [CrossRef]
- Burgoa, A.; Hernandez, R.; Vilas, J.L. New ways to improve the damping properties in high-performance thermoplastic vulcanizates. Polym. Int. 2020, 69, 467–475. [Google Scholar] [CrossRef]
- Zhang, L.; Chen, D.; Fan, X.; Cai, Z.; Zhu, M. Effect of hindered phenol crystallization on properties of organic hybrid damping materials. Materials 2019, 12, 1008. [Google Scholar] [CrossRef] [PubMed]
- Kessler, S.H.; Smith, J.D.; Che, D.L.; Worsnop, D.R.; Wilson, K.R.; Kroll, J.H. Chemical sinks of organic aerosol: Kinetics and products of the heterogeneous oxidation of erythritol and levoglucosan. Environ. Sci. Technol. 2010, 44, 7005–7010. [Google Scholar] [CrossRef] [PubMed]
- George, I.J.; Abbatt, J.P.D. Heterogeneous oxidation of atmospheric aerosol particles by gas-phase radicals. Nat. Chem. 2010, 2, 713–722. [Google Scholar] [CrossRef] [PubMed]
- Kroll, J.H.; Lim, C.; Kessler, S.H.; Wilson, K.R. Heterogeneous oxidation of atmospheric organic aerosol: Kinetics of changes to the amount and oxidation state of particle-phase organic carbon. J. Phys. Chem. A 2015, 119, 10767–10783. [Google Scholar] [CrossRef]
- den Hartog, G.J.; Boots, A.W.; Adam-Perrot, A.; Brouns, F.; Verkooijen, I.W.; Weseler, A.R.; Haenen, G.R.; Bast, A. Erythritol is a sweet antioxidant. Nutrients 2010, 26, 449–458. [Google Scholar] [CrossRef] [PubMed]
- Gijsman, P. Polymer stabilization. In Handbook of Environmental Degradation of Materials, 3rd ed.; Kutz, M., Ed.; William Andrew: Oxford, UK, 2018; pp. 369–395. [Google Scholar]
- Frankel, E.N. (Ed.) Chapter 9—Antioxidants. In Lipid Oxidation, 2nd ed.; Oily Press Lipid Library Series; Woodhead Publishing: Cambridge, UK, 2012; pp. 209–258. [Google Scholar]
- Ghosh, S.; Sudha, M.L. A review on polyols: New frontiers for health-based bakery products. Int. J. Food Sci. Nutr. 2011, 63, 372–379. [Google Scholar] [CrossRef]
- Grembecka, M. Sugar alcohols as sugar substitutes in food industry. In Sweeteners: Pharmacology, Biotechnology, and Applications; Mérillon, J.-M., Ramawat, K.G., Eds.; Springer International Publishing: Cham, Switzerland, 2018; pp. 547–573. [Google Scholar]
- Hartel, R.W.; von Elbe, J.H.; Hofberger, R. Chemistry of bulk sweeteners. In Confectionery Science and Technology; Springer Science and Business Media LLC: Berlin, Germany, 2017; pp. 3–37. [Google Scholar]
- Rodríguez-García, M.-M.; Bayón, R.; Rojas, E. Stability of D-mannitol upon melting/freezing cycles under controlled inert atmosphere. Energy Procedia 2016, 91, 218–225. [Google Scholar] [CrossRef]
- Karis, T.E.; Miller, J.L.; Hunziker, H.E.; de Vries, M.S.; Hopper, D.A.; Nagaraj, H.S. Oxidation chemistry of a pentaerythritol tetraester oil. Tribol. Trans. 1999, 42, 431–442. [Google Scholar] [CrossRef]
- Schiller, M. PVC Stabilizers. In PVC Additives: Performance, Chemistry, Developments and Sustainability; Hanser: Munich, Germany, 2015; pp. 1–114. [Google Scholar]
- Wang, Y.; Steinhoff, B.; Brinkmann, C.; Alig, I. In-line monitoring of the thermal degradation of poly(l-lactic acid) during melt extrusion by UV–vis spectroscopy. Polymer 2008, 49, 1257–1265. [Google Scholar] [CrossRef]
- Pauwels, D.; Hereijgers, J.; Verhulst, K.; de Wael, K.; Breugelmans, T. Investigation of the electrosynthetic pathway of the aldol condensation of acetone. Chem. Eng. J. 2016, 289, 554–561. [Google Scholar] [CrossRef]
- Zeitsch, K.J. (Ed.) The discoloration of furfural. In The Chemistry and Technology of Furfural and Its Many By-Products; Elsevier: Amsterdam, The Netherlands, 2000; pp. 28–33. [Google Scholar]
- Ott, L.; Lehr, V.; Urfels, S.; Bicker, M.; Vogel, H. Influence of salts on the dehydration of several biomass-derived polyols in sub- and supercritical water. J. Supercrit. Fluids 2006, 38, 80–93. [Google Scholar] [CrossRef]
- Yamaguchi, A.; Muramatsu, N.; Mimura, N.; Shirai, M.; Sato, O. Intramolecular dehydration of biomass-derived sugar alcohols in high-temperature water. Phys. Chem. Chem. Phys. 2016, 19, 2714–2722. [Google Scholar] [CrossRef]
- Vilcocq, L.; Cabiac, A.; Especel, C.; Guillon, E.; Duprez, D. Transformation of sorbitol to biofuels by heterogeneous catalysis: Chemical and industrial considerations. Oil Gas Sci. Technol. Rev. IFP Energ. Nouv. 2013, 68, 841–860. [Google Scholar] [CrossRef]
- Kurszewska, M.; Skorupa, E.; Kasprzykowska, R.; Sowiński, P.; Wiśniewski, A. The solvent-free thermal dehydration of tetritols on zeolites. Carbohydr. Res. 2000, 326, 241–249. [Google Scholar] [CrossRef]
- Ott, L. Stoffliche Nutzung von Biomasse mit Hilfe von nah- und überkritischen Wasser: Homogenkatalysierte Dehydratisierung von Polyoen zu Aldehyden. Ph.D. Thesis, Technische Universität Darmstadt, Darmstadt, Germany, 2005. [Google Scholar]
- Coates, J. Interpretation of infrared spectra, a practical approach. In Encyclopedia of Analytical Chemistry: Applications, Theory and Instrumentation; Meyers, R.A., Ed.; John Wiley & Sons Ltd.: Chichester, UK, 2000. [Google Scholar]
- Ratnam, C.T.; Nasir, M.; Baharin, A.; Zaman, K. Electron-beam irradiation of poly(vinyl chloride)/epoxidized natural rubber blend in the presence of Irganox 1010. Polym. Degrad. Stab. 2001, 72, 147–155. [Google Scholar] [CrossRef]











| Atmosphere | Sample | Temperature [°C] | Thermal Treatment Time | Test Duration |
|---|---|---|---|---|
| Air | Erythritol | 121 | 100 h | Short-term-test |
| Erythritol/Antiox | 100 h | Short-term-test | ||
| Erythritol | 131 | 100 h | Short-term-test | |
| Erythritol/Antiox | 100 h | Short-term-test | ||
| Erythritol | 141 | 78 h | Short-term-test | |
| Erythritol/Antiox | 100 h | Short-term-test | ||
| Argon | Erythritol | 121 | 100 h | Short-term-test |
| Erythritol/Antiox | 100 h | Short-term-test | ||
| Erythritol | 131 | 100 h | Short-term-test | |
| Erythritol/Antiox | 100 h | Short-term-test | ||
| Erythritol | 141 | 100 h | Short-term-test | |
| Erythritol/Antiox | 74 h | Short-term-test | ||
| Air | Erythritol/Antiox | 141 | 935 h | Long-term-test |
| Argon | Erythritol | 935 h | Long-term-test |
Publisher’s Note: MDPI stays neutral with regard to jurisdictional claims in published maps and institutional affiliations. |
© 2021 by the authors. Licensee MDPI, Basel, Switzerland. This article is an open access article distributed under the terms and conditions of the Creative Commons Attribution (CC BY) license (https://creativecommons.org/licenses/by/4.0/).
Share and Cite
Alferez Luna, M.P.; Neumann, H.; Gschwander, S. Stability Study of Erythritol as Phase Change Material for Medium Temperature Thermal Applications. Appl. Sci. 2021, 11, 5448. https://doi.org/10.3390/app11125448
Alferez Luna MP, Neumann H, Gschwander S. Stability Study of Erythritol as Phase Change Material for Medium Temperature Thermal Applications. Applied Sciences. 2021; 11(12):5448. https://doi.org/10.3390/app11125448
Chicago/Turabian StyleAlferez Luna, Mayra Paulina, Hannah Neumann, and Stefan Gschwander. 2021. "Stability Study of Erythritol as Phase Change Material for Medium Temperature Thermal Applications" Applied Sciences 11, no. 12: 5448. https://doi.org/10.3390/app11125448
APA StyleAlferez Luna, M. P., Neumann, H., & Gschwander, S. (2021). Stability Study of Erythritol as Phase Change Material for Medium Temperature Thermal Applications. Applied Sciences, 11(12), 5448. https://doi.org/10.3390/app11125448

