Hybrid Model Predictive Control of Semiactive Suspension in Electric Vehicle with Hub-Motor
Abstract
1. Introduction
2. Electromechanical Coupling Model
2.1. BLDC Motor Model
2.2. Quarter Vehicle Model
2.3. Road Excitation
3. Hybrid Model Predictive Controller Design
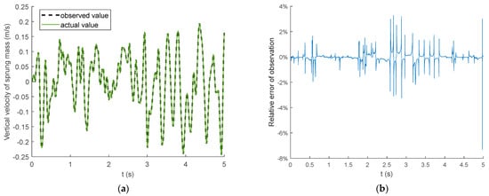
4. HM-EV Semiactive Suspension Kalman Filter Design
5. Simulation Results
6. Conclusions and Discussion
Author Contributions
Funding
Institutional Review Board Statement
Informed Consent Statement
Data Availability Statement
Conflicts of Interest
References
- Chen, Q.; Liao, C.; Ouyang, A.; Li, X.; Xiao, Q. Research and development of in-wheel motor driving technology for electric vehicles. Int. J. Electr. Hybrid Veh. 2016, 8, 242–253. [Google Scholar] [CrossRef]
- Gunji, D.; Imura, T.; Umemoto, H. Fundamental Research on Control Method for Power Conversion Circuit of Wireless In-Wheel Motor Using Magnetic Resonance Coupling. Electr. Eng. Jpn. 2016, 195, 26–38. [Google Scholar] [CrossRef]
- Hori, Y. Future Vehicle Driven by Electricity and Control—Research on Four-Wheel-Motored “UOT Electric March II”. IEEE Trans. Ind. Electron. 2004, 51, 954–962. [Google Scholar] [CrossRef]
- Kim, D.; Shin, K.; Kim, Y.; Cheon, J. Integrated Design of In-Wheel Motor System on Rear Wheels for Small Electric Vehicle. World Electr. Veh. J. 2010, 4, 597–602. [Google Scholar] [CrossRef]
- Li, Y.; Adeleke, O.P.; Xu, X. Methods and applications of energy saving control of in-wheel motor drive system in electric vehicles: A comprehensive review. J. Renew. Sustain. Energy 2019, 11, 062701. [Google Scholar] [CrossRef]
- Zhai, L.; Sun, T.; Wang, J. Electronic Stability Control Based on Motor Driving and Braking Torque Distribution for a Four In-Wheel Motor Drive Electric Vehicle. IEEE Trans. Veh. Technol. 2016, 65, 4726–4739. [Google Scholar] [CrossRef]
- Nagaya, G.; Wakao, Y.; Abe, A. Development of an in-wheel drive with advanced dynamic-damper mechanism. JSAE Rev. 2003, 24, 477–481. [Google Scholar] [CrossRef]
- Li, J.; Cho, Y. Dynamic reduction of unbalanced magnetic force and vibration in switched reluctance motor by the parallel paths in windings. Math. Comput. Simul. 2010, 81, 407–419. [Google Scholar] [CrossRef]
- Li, J.; Liu, Z.J.; Nay, L. Effect of Radial Magnetic Forces in Permanent Magnet Motors with Rotor Eccentricity. IEEE Trans. Magn. 2007, 43, 2525–2527. [Google Scholar] [CrossRef]
- Mao, Y.; Zuo, S.; Wu, X.; Duan, X. High frequency vibration characteristics of electric wheel system under in-wheel motor torque ripple. J. Sound Vib. 2017, 400, 442–456. [Google Scholar] [CrossRef]
- Luo, Y.; Tan, D. Study on the Dynamics of the In-Wheel Motor System. IEEE Trans. Veh. Technol. 2012, 61, 3510–3518. [Google Scholar]
- Qin, Y.; He, C.; Shao, X.; Du, H.; Xiang, C.; Dong, M. Vibration mitigation for in-wheel switched reluctance motor driven electric vehicle with dynamic vibration absorbing structures. J. Sound Vib. 2018, 419, 249–267. [Google Scholar] [CrossRef]
- Liu, M.; Gu, F.; Huang, J.; Wang, C.; Cao, M. Integration Design and Optimization Control of a Dynamic Vibration Absorber for Electric Wheels with In-Wheel Motor. Energies 2017, 10, 2069. [Google Scholar] [CrossRef]
- Shao, X.; Naghdy, F.; Du, H. Reliable fuzzy H ∞ control for active suspension of in-wheel motor driven electric vehicles with dynamic damping. Mech. Syst. Signal Process. 2017, 87, 365–383. [Google Scholar] [CrossRef]
- He, R.; Wang, J. Vertical vibration control of an in-wheel motor-driven electric vehicle using an in-wheel active vibration system. Asian J. Control 2018, 22, 1–18. [Google Scholar] [CrossRef]
- Li, Z.; Zheng, L.; Ren, Y.; Li, Y.; Xiong, Z. Multi-objective optimization of active suspension system in electric vehicle with In-Wheel-Motor against the negative electromechanical coupling effects. Mech. Syst. Signal Process. 2019, 116, 545–565. [Google Scholar] [CrossRef]
- Wu, H.; Zheng, L.; Li, Y. Coupling effects in hub motor and optimization for active suspension system to improve the vehicle and the motor performance. J. Sound Vib. 2020, 482, 115426. [Google Scholar] [CrossRef]
- Shao, X.; Naghdy, F.; Du, H.; Qin, Y. Coupling effect between road excitation and an in-wheel switched reluctance motor on vehicle ride comfort and active suspension control. J. Sound Vib. 2019, 443, 684–702. [Google Scholar] [CrossRef]
- Liu, M.; Zhang, Y.; Huang, J.; Zhang, C. Optimization control for dynamic vibration absorbers and active suspensions of in-wheel-motor-driven electric vehicles. Proc. Inst. Mech. Eng. Part D J. Automob. 2020, 234. [Google Scholar] [CrossRef]
- Xu, B.; Xiang, C.; Qin, Y.; Ding, P.; Dong, M. Semi-Active Vibration Control for in-Wheel Switched Reluctance Motor Driven Electric Vehicle With Dynamic Vibration Absorbing Structures: Concept and Validation. IEEE Access 2018, 6, 60274–60285. [Google Scholar] [CrossRef]
- Anaya-Martinez, M.; Lozoya-Santos, J.-D.-J.; Félix-Herrán, L.; Tudon-Martinez, J.-C.; Ramirez-Mendoza, R.-A.; Morales-Menendez, R. Control of Automotive Semi-Active MR Suspensions for In-Wheel Electric Vehicles. Appl. Sci. 2020, 10, 4522. [Google Scholar] [CrossRef]
- Shao, J. An Improved Microcontroller-Based Sensorless Brushless DC (BLDC) Motor Drive for Automotive Applications. IEEE Trans. Ind. Appl. 2006, 42, 1216–1221. [Google Scholar] [CrossRef]
- Zarko, D.; Ban, D.; Lipo, T.A. Analytical calculation of magnetic field distribution in the slotted air gap of a surface permanent-magnet motor using complex relative air-gap permeance. IEEE Trans. Magn. 2006, 42, 1828–1837. [Google Scholar] [CrossRef]
- Cao, D.; Song, X.; Ahmadian, M. Editors’ perspectives: Road vehicle suspension design, dynamics, and control. Veh. Syst. Dyn. 2011, 49, 3–28. [Google Scholar] [CrossRef]
- Quaglia, G.; Sorli, M. Air Suspension Dimensionless Analysis and Design Procedure. Veh. Syst. Dyn. 2001, 35, 443–475. [Google Scholar] [CrossRef]
- Zhu, H.; Yang, Y.; Zhang, Y. Modeling and optimization for pneumatically pitch-interconnected suspensions of a vehicle. J. Sound Vib. 2018, 432, 290–309. [Google Scholar] [CrossRef]
- Ma, X.; Wong, P.K.; Zhao, J.; Zhong, J.; Ying, H.; Xu, X. Design and Testing of a Nonlinear Model Predictive Controller for Ride Height Control of Automotive Semi-Active Air Suspension Systems. IEEE Access 2018, 6, 63777–63793. [Google Scholar] [CrossRef]
- Qin, Y.; Zhao, F.; Wang, Z.; Gu, L.; Dong. Comprehensive Analysis for Influence of Controllable Damper Time Delay on Semi-Active Suspension Control Strategies. ASME. J. Vib. Acoust. 2017, 139, 031006. [Google Scholar] [CrossRef]
- Song, X.B.; Ahmadian, M.; Southward, S.C. Modeling Magnetorheological Dampers with Application of Nonparametric Approach. J. Intell. Mater. Syst. Struct. 2005, 16, 421–432. [Google Scholar] [CrossRef]
- Japanese Automotive Standard C602:2001. Automotive Parts-Telescopic Shock Absorbers for Suspension Systems; Japanese Industrial Standards Committee: Tokyo, Japan, 2001. [Google Scholar]
- Wang, H.; Shi, X.M. The Time Domain Simulation of Non-Stationary Road Roughness. Appl. Mech. Mater. 2013, 423–426, 1238–1242. [Google Scholar] [CrossRef]
- Mai, V.N.; Yoon, D.S.; Choi, S.B.; Kim, G.W. Explicit model predictive control of semi-active suspension systems with magneto-rheological dampers subject to input constraints. J. Intell. Mater. Syst. Struct. 2020, 31, 1157–1170. [Google Scholar] [CrossRef]
- Antsaklis, P.J.; Stiver, J.A.; Lemmon, M. Hybrid system modeling and autonomous control systems. Lect. Notes Comput. Sci. 1993, 736, 366–392. [Google Scholar]
- Bemporad, A.; Morari, M. Control of systems integrating logic, dynamics, and constraints. Automatica 1999, 35, 407–427. [Google Scholar] [CrossRef]
- Lehel, H.C.; Kvasnica, M.; Béla, L. Analysis of the explicit model predictive control for semi-active suspension. Electr. Eng. 2010, 54, 41–58. [Google Scholar]























| 4002.72 | −2002.45 | ||
| −1567.91 | 801.58 | ||
| 3.41 | 9.48 | ||
| 1.31 | 3.38 | ||
| Parameters | Value | Parameters | Value |
|---|---|---|---|
| Sprung mass, ms (kg) | 335 | Stator and residual unsprung mass, mus (kg) | 57.5 |
| Rotor, rim and tire mass, mur (kg) | 66.5 | Tire rolling radius, Rt (m) | 0.256 |
| Bearing stiffness, kb (N/m) | 5 × 106 | Tire stiffness, kt (N/m) | 2.5 × 105 |
| Initial air spring sectional area, A0 (m2) | 0.009 | Maximum damping coefficient, cmax (Ns/m) | 9000 |
| Initial relative air spring pressure, P0 (pa) | 4.6478 × 105 | Minimum Damping coefficient, cmin (Ns/m) | 1000 |
| Atmospheric pressure, Pa (pa) | 1 × 105 | Air polytropic exponent, κ (-) | 1.4 |
| Initial air spring volume, V0 (m3) | 0.0024 |
| Road Excitation | Performance Index | Passive | COC | HMPC |
|---|---|---|---|---|
| 20 m/s C-class | Vertical acceleration of sprung mass | 1.3325 | 1.2261 (7.36%) | 0.9927 (%) |
| Motor eccentricity | ||||
| Tire dynamic load | 689 | 630 ( | 607 ( | |
| 20 m/s B-class | Vertical acceleration of sprung mass | 0.6618 | 0.6086 ( 8.03%) | 0.4909 ( |
| Motor eccentricity | 5.6844 | 5.2015 (8.49%) | 4.3713 ( | |
| Tire dynamic load | 344 | 315 (8.43%) | 305 ( |
| Road Excitation | Performance Index | Passive | COC | HMPC |
|---|---|---|---|---|
| a = 0.1 m | Vertical acceleration of sprung mass | 13.4729 | 10.7764 (20.01%) | 8.9044 () |
| Motor eccentricity | ||||
| Tire dynamic load | 6119.2 | 4685.1 ( | 3611.4 ( | |
| a = 0.02 m | Vertical acceleration of sprung mass | 2.6946 | 2.1553 ( 20.01%) | 1.8280 ( |
| Motor eccentricity | 2.0913 | 1.6034 (23.33%) | 1.2476 ( | |
| Tire dynamic load | 1223 | 937 (23.39%) | 736 ( |
Publisher’s Note: MDPI stays neutral with regard to jurisdictional claims in published maps and institutional affiliations. |
© 2021 by the authors. Licensee MDPI, Basel, Switzerland. This article is an open access article distributed under the terms and conditions of the Creative Commons Attribution (CC BY) license (http://creativecommons.org/licenses/by/4.0/).
Share and Cite
Jiang, H.; Wang, C.; Li, Z.; Liu, C. Hybrid Model Predictive Control of Semiactive Suspension in Electric Vehicle with Hub-Motor. Appl. Sci. 2021, 11, 382. https://doi.org/10.3390/app11010382
Jiang H, Wang C, Li Z, Liu C. Hybrid Model Predictive Control of Semiactive Suspension in Electric Vehicle with Hub-Motor. Applied Sciences. 2021; 11(1):382. https://doi.org/10.3390/app11010382
Chicago/Turabian StyleJiang, Hong, Chengchong Wang, Zhongxing Li, and Chenlai Liu. 2021. "Hybrid Model Predictive Control of Semiactive Suspension in Electric Vehicle with Hub-Motor" Applied Sciences 11, no. 1: 382. https://doi.org/10.3390/app11010382
APA StyleJiang, H., Wang, C., Li, Z., & Liu, C. (2021). Hybrid Model Predictive Control of Semiactive Suspension in Electric Vehicle with Hub-Motor. Applied Sciences, 11(1), 382. https://doi.org/10.3390/app11010382
