Triaxial Compression Performance Research of Steel Slag Concrete on the Unified Strength Theory
Abstract
1. Introduction
2. Materials and Experimental Procedures
2.1. Specimen Production
2.2. Testing Method
3. Test Results and Discussion
3.1. Failure Modes
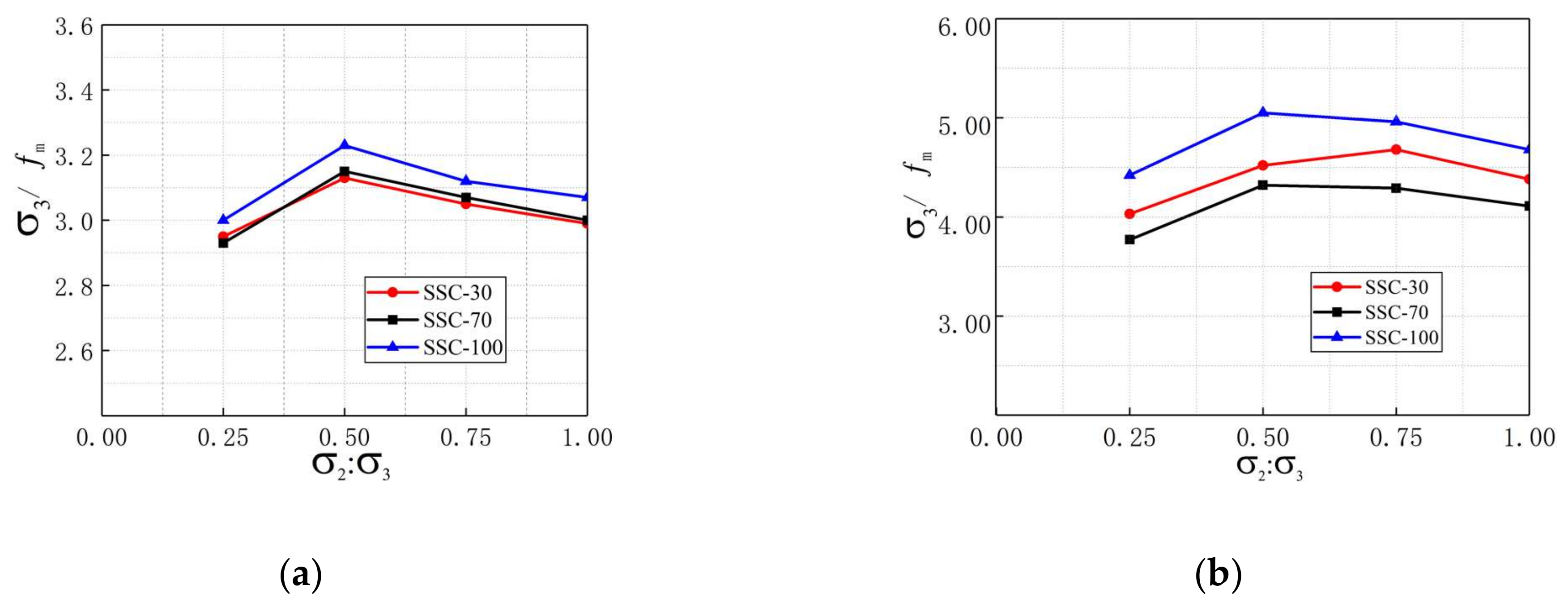
3.2. Triaxial Strength
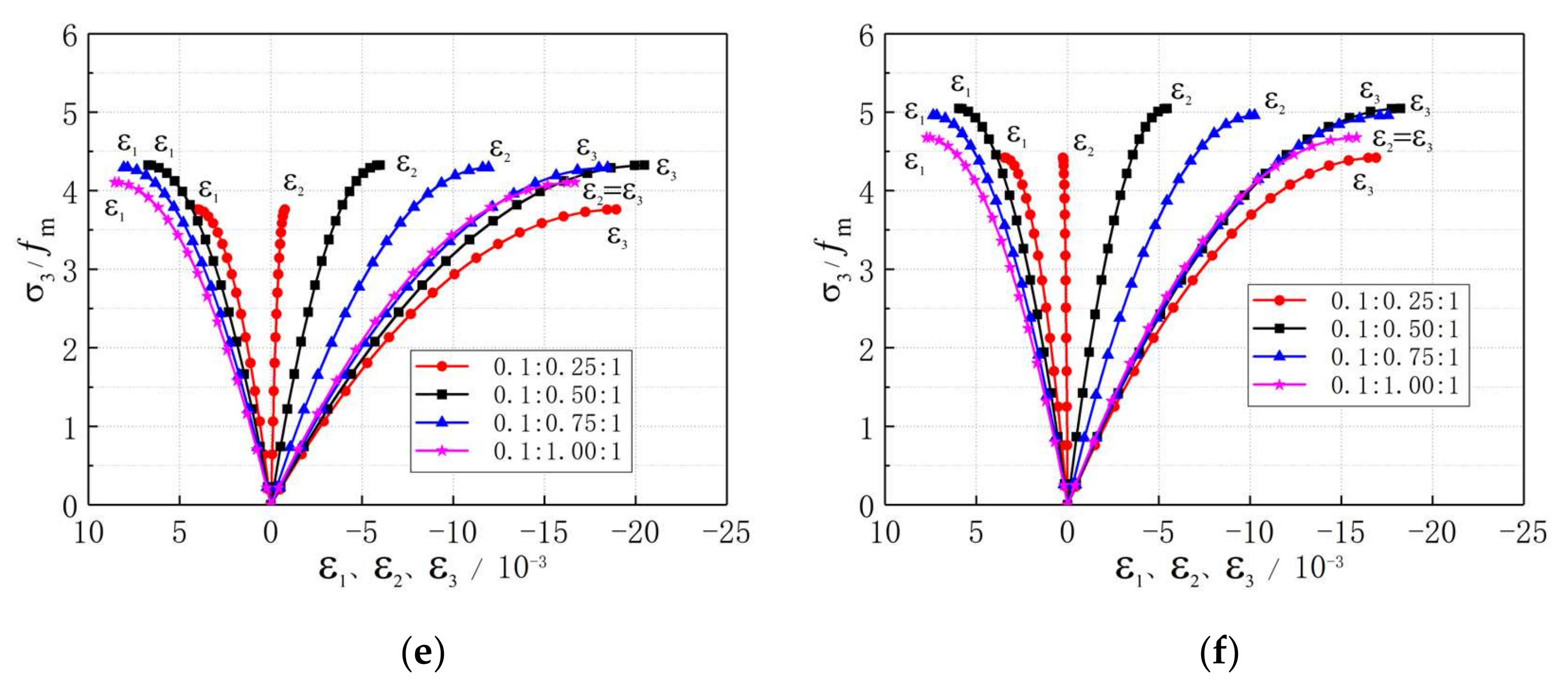
3.3. Deformation Characteristic
3.4. Failure Criterion
4. Conclusions
- The failure modes of SSC are plate-splitting and slant-shear. When the stress ratio = 0.25: 1, the failure mode of SSC is plate-splitting. At other stress ratios, the failure mode is slant-shear.
- Compared with uniaxial compressive strength, the strength of SSC under triaxial compression is greater at the same replacement ratio, and the influence of stress ratio on the triaxial compressive strength is obvious. When the stress ratio is constant, increases first and then decreases with the increase of. When the stress ratio is constant, The value of increases with the increase of stress ratio .
- The triaxial peak strain is larger than the corresponding uniaxial peak strain , and increases first and then decreases as increases. The peak strain increases with the increase of the stress ratio . The value of increases and increases as increases but decreases as increases. , and increased first and then decreased as the replacement ratio increases.
- The unified theory established the failure criterion of SSC under triaxial compression on experimental data. It can accurately predict the envelope of concrete under different Lode angles.
Author Contributions
Funding
Data Availability Statement
Acknowledgments
Conflicts of Interest
References
- Rondi, L.; Bregoli, G.; Sorlini, S.; Cominoli, L.; Collivignarelli, C.; Plizzari, G. Concrete with EAF steel slag as aggregate: A comprehensive technical and environmental characterization. Compos. Part B Eng. 2016, 90, 195–202. [Google Scholar] [CrossRef]
- Yi, H.; Xu, G.P.; Chen, H.G.; Wang, J.S.; Wan, Y.F.; Chen, H. An overview of utilization of steel slag. Procedia Environ. Sci. 2012, 16, 791–801. [Google Scholar] [CrossRef]
- Zhao, J.H.; Yan, P.Y.; Wang, D.M. Research on mineral characteristics of converter steel slag and its comprehensive utilization of internal and external recycle. J. Clean. Prod. 2017, 156, 50–61. [Google Scholar] [CrossRef]
- Guo, Y.C.; Xie, J.H.; Zheng, W.Y.; Li, J.L. Effects of steel slag as fine aggregate on static and impact behaviours of concrete. Constr. Build. Mater. 2018, 192, 194–201. [Google Scholar] [CrossRef]
- Anastasiou, E.; Filikas, K.G.; Stefanidou, M. Utilization of fine recycled aggregates in concrete with fly ash and steel slag. Constr. Build. Mater. 2014, 50, 154–161. [Google Scholar] [CrossRef]
- Qasrawi, H.; Shalabi, F.; Asi, I. Use of low CaO unprocessed steel slag in concrete as fine aggregate. Constr. Build. Mater. 2009, 23, 1118–1125. [Google Scholar] [CrossRef]
- Maslehuddin, M.; Sharif, A.M.; Shameem, M.; Ibrahim, M.; Barry, M.S. Comparison of properties of steel slag and crushed limestone aggregate concretes. Constr. Build. Mater. 2003, 17, 105–112. [Google Scholar] [CrossRef]
- Guo, Y.C.; Xie, J.H.; Zhao, J.B.; Zuo, K.X. Utilization of unprocessed steel slag as fine aggregate in normal-and high-strength concrete. Constr. Build. Mater. 2019, 204, 41–49. [Google Scholar] [CrossRef]
- Ashadi, H.W.; Aprilando, B.A.; Astutiningsih, S. Effects of steel slag substitution in geopolymer concrete on compressive strength and corrosion rate of steel reinforcement in seawater and an acid rain environment. Int. J. Technol. 2015, 6, 227–235. [Google Scholar] [CrossRef]
- Arabani, M.; Azarhoosh, A.R. The effect of recycled concrete aggregate and steel slag on the dynamic properties of asphalt mixtures. Constr. Build. Mater. 2012, 35, 1–7. [Google Scholar] [CrossRef]
- Yu, F.; Cao, Y.; Fang, Y.; Zhang, Y.; Niu, K. Mechanical behavior of self-stressing Steel Slag Aggregate Concrete Filled Steel Tubular short columns with different loading modes. Structures 2020, 26, 947–957. [Google Scholar] [CrossRef]
- Devi, V.S. Durability properties of multiple blended concrete. Constr. Build. Mater. 2018, 179, 649–660. [Google Scholar] [CrossRef]
- Netinger, I.; Varevac, D.; Bjegovic, D.; Moric, D. Effect of high temperature on properties of steel slag aggregate concrete. Fire Saf. J. 2013, 59, 1–7. [Google Scholar] [CrossRef]
- Peng, Y.Z.; Hu, S.G.; Ding, Q.J. High performance cementing materials from industrial slags—A review. J. Wuhan Univ. Technol. 2010, 25, 349–354. [Google Scholar] [CrossRef]
- Shi, C.J.; Qian, J.S. High performance cementing materials from industrial slags—A review. Resour. Conserv. Recy 2000, 29, 195–207. [Google Scholar] [CrossRef]
- Roslan, N.H.; Ismail, M.; Abdul-Majid, Z.; Ghoreishiamiri, S.; Muhammad, B. Performance of steel slag and steel sludge in concrete. Constr. Build. Mater. 2016, 104, 16–24. [Google Scholar] [CrossRef]
- Manso, J.M.; Polanco, J.A.; Losanez, M.; Gonzalez, J.J. Durability of concrete made with EAF slag as aggregate. Cement Concrete Compos. 2006, 28, 528–534. [Google Scholar] [CrossRef]
- Ren, Y.; Yu, Z.P.; Huang, Q.; Ren, Z. Constitutive model and failure criterions for lightweight aggregate concrete: A true triaxial experimental test. Constr. Build. Mater. 2018, 171, 759–769. [Google Scholar] [CrossRef]
- Deng, Z.H.; Wang, Y.M.; Sheng, J.; Hu, X. Strength and deformation of recycled aggregate concrete under triaxial compression. Constr. Build. Mater. 2017, 156, 1043–1052. [Google Scholar] [CrossRef]
- Chi, Y.; Xu, L.; Mei, G.; Hu, N.; Su, J. A unified failure envelope for hybrid fibre reinforced concrete subjected to true triaxial compression. Compos. Struct. 2014, 109, 31–40. [Google Scholar] [CrossRef]
- Shi, L.L.; Wang, L.C.; Song, Y.P.; Shen, L. Dynamic properties of large aggregate concrete under triaxial loading. Mag. Concrete Res. 2015, 67, 282–293. [Google Scholar] [CrossRef]
- Rong, C.; Shi, Q.X.; Zhang, T.; Zhao, H.C. New failure criterion models for concrete under multiaxial stress in compression. Constr. Build. Mater. 2018, 161, 432–441. [Google Scholar] [CrossRef]
- Zhou, J.J.; Pan, J.L.; Leung, C.K.Y.; Li, Z.J. Experimental study on mechanical behavior of high performance concrete under multi-axial compressive stress. Sci. China Technol. Sci. 2014, 57, 2514–2522. [Google Scholar] [CrossRef]
- Deng, Z.H.; Sheng, J.; Wang, Y.M. Strength and constitutive model of recycled concrete under biaxial compression. KSCE J. Civ. Eng. 2019, 23, 699–710. [Google Scholar] [CrossRef]
- Deng, Z.H.; Huang, H.Q.; Ye, B.L.; Xiang, P.; Li, C.Q. Mechanical Performance of RAC under True-Triaxial Compression after High Temperatures. J. Mater. Civ. Eng. 2020, 32, 0420194. [Google Scholar] [CrossRef]
- He, Z.J.; Zhang, J.X. Strength characteristics and failure criterion of plain recycled aggregate concrete under triaxial stress states. Constr. Build. Mater. 2014, 54, 354–362. [Google Scholar] [CrossRef]
- Yu, M.H. Unified Strength Theory its Applications; Springer: Berlin, Germany, 2004; pp. 237–291. [Google Scholar]
- The Profession Standard of China. Specification for Mix Proportion Design of Ordinary Concrete (JGJ 55-2011); China Architecture & Building Press: Beijing, China, 2011. [Google Scholar]








| Classification | Gradation (mm) | Bulk Density (kg/m3) | Apparent Density (kg/m3) | Crush Index (%) | Water Absorption (%) |
|---|---|---|---|---|---|
| SSA | 5–20 | 2280 | 3230 | 6.10 | 1.36 |
| NCA | 5–20 | 1480 | 2760 | 10.40 | 0.65 |
| No. | W/C 1 | Water | Cement | Sand | SSA2 | NCA3 |
|---|---|---|---|---|---|---|
| SSC-30 | 0.56 | 200 | 357 | 777 | 350 | 816 |
| SSC-70 | 0.56 | 200 | 357 | 777 | 816 | 350 |
| SSC-100 | 0.56 | 200 | 357 | 777 | 1166 | 0 |
| No | Stress Ratio | |||||||
|---|---|---|---|---|---|---|---|---|
| SSC-30 | 0.00: 0.00:1 | 0.00 | 0.00 | −38.32 | 1.00 | - | - | −2.11 |
| 0.00:1.00:1 | 0.00 | −50.86 | −50.86 | 1.33 | - | −2.27 | −2.27 | |
| 0.05:0.25:1 | −5.66 | −28.29 | −113.17 | 2.95 | 4.02 | −2.12 | −10.87 | |
| 0.05:0.50:1 | −6.00 | −60.04 | −120.07 | 3.13 | 7.92 | −4.14 | −12.04 | |
| 0.05:0.75:1 | −5.84 | −87.59 | −116.79 | 3.05 | 10.74 | −8.31 | −11.14 | |
| 0.05:1.00:1 | −5.73 | −114.53 | −114.53 | 2.99 | 14.32 | −10.36 | −10.36 | |
| 0.1:0.25:1 | −15.44 | −38.61 | −154.42 | 4.03 | 3.61 | −0.64 | −17.50 | |
| 0.1:0.50:1 | −17.33 | −86.67 | −173.33 | 4.52 | 6.12 | −5.75 | −18.48 | |
| 0.1:0.75:1 | −17.91 | −134.36 | −179.14 | 4.68 | 7.61 | −10.96 | −17.69 | |
| 0.1:1.00:1 | −16.78 | −167.75 | −167.75 | 4.38 | 8.15 | −15.92 | −15.92 | |
| SSC-70 | 0.00:0.00:1 | 0.00 | 0.00 | −43.86 | 1.00 | - | - | −2.29 |
| 0.00:1.00:1 | 0.00 | −58.83 | −58.83 | 1.34 | - | −2.42 | −2.42 | |
| 0.05:0.25:1 | −6.43 | −32.13 | −128.53 | 2.93 | 4.58 | −2.59 | −11.68 | |
| 0.05:0.50:1 | −6.91 | −69.09 | −138.17 | 3.15 | 8.12 | −4.91 | −12.34 | |
| 0.05:0.75:1 | −6.72 | −100.83 | −134.44 | 3.07 | 11.03 | −8.62 | −11.56 | |
| 0.05:1.00:1 | −6.58 | −131.61 | −131.61 | 3.00 | 15.14 | −10.92 | −10.92 | |
| 0.1:0.25:1 | −16.51 | −41.29 | −165.14 | 3.77 | 4.03 | −0.78 | −18.95 | |
| 0.1:0.50:1 | −18.97 | −94.85 | −189.69 | 4.32 | 6.73 | −5.98 | −20.49 | |
| 0.1:0.75:1 | −18.84 | −141.29 | −188.38 | 4.29 | 8.07 | −11.94 | −18.47 | |
| 0.1:1.00:1 | −18.01 | −180.12 | −180.12 | 4.11 | 8.56 | −16.68 | −16.68 | |
| SSC-100 | 0.00: 0.00:1 | 0.00 | 0.00 | −36.17 | 1.00 | − | − | −1.92 |
| 0.00:1.00:1 | 0.00 | −54.04 | −54.04 | 1.49 | − | −2.07 | −2.07 | |
| 0.05:0.25:1 | −5.43 | −27.15 | −108.59 | 3.00 | 3.71 | −1.87 | −10.11 | |
| 0.05:0.50:1 | −5.85 | −58.49 | −116.95 | 3.23 | 7.32 | −3.64 | −10.98 | |
| 0.05:0.75:1 | −5.64 | −84.63 | −112.84 | 3.12 | 9.92 | −7.56 | −10.32 | |
| 0.05:1.00:1 | −5.55 | −111.07 | −111.07 | 3.07 | 13.17 | −9.76 | −9.76 | |
| 0.1:0.25:1 | −15.99 | −39.98 | −159.92 | 4.42 | 3.44 | 0.25 | −16.92 | |
| 0.1:0.50:1 | −18.26 | −91.28 | −182.55 | 5.05 | 5.96 | −5.45 | −18.24 | |
| 0.1:0.75:1 | −17.94 | −134.56 | −179.41 | 4.96 | 7.36 | −10.25 | −17.58 | |
| 0.1:1.00:1 | −16.92 | −169.15 | −169.15 | 4.68 | 7.73 | −15.83 | −15.83 |
| No | ||||||
|---|---|---|---|---|---|---|
| SSC-30 | 0.119101 | −0.647975 | −0.0121243 | 0.19794 | −1.07837 | −0.0121243 |
| SSC-70 | 0.119322 | −0.651706 | −0.0139721 | 0.197478 | −1.08024 | −0.0139721 |
| SSC-100 | 0.119839 | −0.660695 | −0.0133628 | 0.196045 | −1.08237 | −0.0133628 |
| Stress Ratio | SSC-30 | SSC-70 | SSC-100 | ||||||
|---|---|---|---|---|---|---|---|---|---|
| (%) | (%) | (%) | |||||||
| 0.05:0.25:1 | 2.09 | 2.16 | 3.32% | 2.08 | 2.14 | 3.27% | 2.13 | 2.22 | 4.27% |
| 0.05:0.50:1 | 2.11 | 2.11 | 0.35% | 2.12 | 2.12 | 0.02% | 2.17 | 2.20 | 1.20% |
| 0.05:0.75:1 | 2.12 | 2.10 | 1.17% | 2.13 | 2.10 | 1.58% | 2.17 | 2.17 | 0.18% |
| 0.05:1.00:1 | 2.32 | 2.26 | 2.53% | 2.33 | 2.26 | 3.00% | 2.38 | 2.34 | 1.57% |
| 0.1:0.25:1 | 2.75 | 3.09 | 12.34% | 2.57 | 2.26 | 12.07% | 3.01 | 3.38 | 12.14% |
| 0.1:0.50:1 | 2.88 | 3.06 | 6.16% | 2.76 | 2.93 | 6.08% | 3.22 | 3.40 | 5.62% |
| 0.1:0.75:1 | 3.07 | 3.13 | 2.06% | 2.82 | 2.89 | 2.43% | 3.26 | 3.33 | 2.17% |
| 0.1:1.00:1 | 3.22 | 3.22 | 0.00% | 3.02 | 3.02 | 0.00% | 3.44 | 3.44 | 0.00% |
Publisher’s Note: MDPI stays neutral with regard to jurisdictional claims in published maps and institutional affiliations. |
© 2020 by the authors. Licensee MDPI, Basel, Switzerland. This article is an open access article distributed under the terms and conditions of the Creative Commons Attribution (CC BY) license (http://creativecommons.org/licenses/by/4.0/).
Share and Cite
Deng, Z.; Zhou, J.; Chen, B.; Wen, X.; Liu, B. Triaxial Compression Performance Research of Steel Slag Concrete on the Unified Strength Theory. Appl. Sci. 2021, 11, 128. https://doi.org/10.3390/app11010128
Deng Z, Zhou J, Chen B, Wen X, Liu B. Triaxial Compression Performance Research of Steel Slag Concrete on the Unified Strength Theory. Applied Sciences. 2021; 11(1):128. https://doi.org/10.3390/app11010128
Chicago/Turabian StyleDeng, Zhiheng, Jingkai Zhou, Beiquan Chen, Xiaoyan Wen, and Bing Liu. 2021. "Triaxial Compression Performance Research of Steel Slag Concrete on the Unified Strength Theory" Applied Sciences 11, no. 1: 128. https://doi.org/10.3390/app11010128
APA StyleDeng, Z., Zhou, J., Chen, B., Wen, X., & Liu, B. (2021). Triaxial Compression Performance Research of Steel Slag Concrete on the Unified Strength Theory. Applied Sciences, 11(1), 128. https://doi.org/10.3390/app11010128

