A Displacement Measuring Interferometer Based on a Frequency-Locked Laser Diode with High Modulation Frequency
Abstract
1. Introduction
2. Methodology
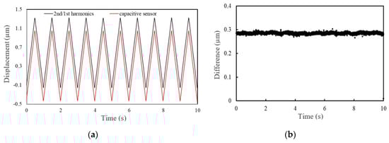
3. Experiments and Results
Frequency Stabilized for LD at 1 MHz Modulation Frequency
4. Conclusions
Author Contributions
Funding
Conflicts of Interest
References
- Pogačnik, A.; Požar, T.; Kalin, M.; Možina, J. A homodyne quadrature laser interferometer for micro-asperity deformation analysis. Sensors 2013, 13, 703–720. [Google Scholar] [CrossRef] [PubMed]
- Cui, J.; He, Z.; Jiu, Y.; Tan, J.; Sun, T. Homodyne laser interferometer involving minimal quadrature phase error to obtain subnanometer nonlinearity. Appl. Opt. 2016, 55, 7086–7092. [Google Scholar] [CrossRef] [PubMed]
- Köchert, P.; Flügge, J.; Weichert, C.; Köning, R.; Manske, E. Phase measurement of various commercial heterodyne He–Ne-laser interferometers with stability in the picometer regime. Meas. Sci. Technol. 2012, 23, 074005. [Google Scholar] [CrossRef]
- Yan, H.; Duan, H.Z.; Li, L.T.; Liang, Y.R.; Luo, J.; Yeh, H.C. A dual-heterodyne laser interferometer for simultaneous measurement of linear and angular displacements. Rev. Sci. Instrum. 2015, 86, 123102. [Google Scholar] [CrossRef] [PubMed]
- Brand, U. Frequency stabilization of a He–Ne laser at 543.5 nm wavelength using frequency-modulation spectroscopy. Opt. Commun. 1993, 100, 361–373. [Google Scholar] [CrossRef]
- Nomura, J.; Yoshii, K.; Hisai, Y.; Hong, F.L. Precision spectroscopy and frequency stabilization using coin-sized laser modules. J. Opt. Soc. Am. B 2019, 36, 631–637. [Google Scholar] [CrossRef]
- Ikeda, K.; Okubo, S.; Wada, M.; Kashiwagi, K.; Yoshii, K.; Inaba, H.; Hong, F.L. Iodine-stabilized laser at telecom wavelength using dual-pitch periodically poled lithium niobate waveguide. Opt. Express 2020, 8, 2166–2178. [Google Scholar] [CrossRef]
- Lawall, L.; Kessler, E. Michelson interferometry with 10 pm accuracy. Rev. Sci. Instrum. 2000, 71, 2669–2676. [Google Scholar] [CrossRef]
- Pisani, M. Multiple reflection Michelson interferometer with picometer resolution. Opt. Express 2008, 16, 21558–21563. [Google Scholar] [CrossRef]
- Zhang, E.; Chen, B.; Zheng, H.; Teng, X. Laser heterodyne interference signal processing method based on phase shift of reference signal. Opt. Express 2018, 26, 8656–8668. [Google Scholar] [CrossRef]
- Demarest, F.C. High-resolution, high-speed, low data age uncertainty, heterodyne displacement measuring interferometer electronics. Meas. Sci. Technol. 1998, 9, 1024. [Google Scholar]
- Nguyen, T.D.; Duong, Q.A.; Higuchi, M.; Vu, T.T.; Wei, D.; Aketagawa, M. 19-picometer mechanical step displacement measurement using heterodyne interferometer with phase-locked loop and piezoelectric driving flexure-stage. Sens. Actuators A Phys. 2020, 304, 111880. [Google Scholar] [CrossRef]
- Vu, T.T.; Maeda, Y.; Aketagawa, M. Sinusoidal frequency modulation on laser diode for frequency stabilization and displacement measurement. Measurement 2016, 94, 927–933. [Google Scholar] [CrossRef]
- Vu, T.T.; Higuchi, M.; Aketagawa, M. Accurate displacement-measuring interferometer with wide range using an I2 frequency-stabilized laser diode based on sinusoidal frequency modulation. Meas. Sci. Technol. 2016, 27, 105201. [Google Scholar] [CrossRef]
- Zhang, X.; Tao, Z.; Zhu, C.; Hong, Y.; Zhuang, W.; Chen, J. An all-optical locking of a semiconductor laser to the atomic resonance line with 1 MHz accuracy. Opt. Express. 2013, 21, 28010–28018. [Google Scholar] [CrossRef]
- Cheng, W.Y.; Shy, J.T.; Lin, T. A compact iodine-stabilized HeNe laser and crossover resonances at 543 nm. Optics communications. Opt. Commun. 1998, 156, 170–177. [Google Scholar] [CrossRef]
- Talvitie, H.; Merimaa, M.; Ikonen, E. Frequency stabilization of a diode laser to Doppler-free spectrum of molecular iodine at 633 nm. Opt. Commun. 1998, 152, 182–188. [Google Scholar] [CrossRef]
- Fang, H.M.; Wang, S.C.; Shy, J.T. Frequency stabilization of an external cavity diode laser to molecular iodine at 657.483 nm. Appl. Opt. 2006, 45, 3173–3176. [Google Scholar] [CrossRef]
- Cheng, W.Y.; Shy, J.T. Wavelength standard at 543 nm and the corresponding 127 I2 hyperfine transitions. JOSA B 2001, 18, 363–369. [Google Scholar] [CrossRef]
- Sathian, J.; Jaatinen, E. Intensity dependent residual amplitude modulation in electro-optic phase modulators. Appl. Opt. 2012, 51, 3684–3691. [Google Scholar] [CrossRef] [PubMed]
- Bi, J.; Zhi, Y.; Li, L.; Chen, L. Suppressing residual amplitude modulation to the 10− 7 level in optical phase modulation. Appl. Opt. 2019, 58, 690–694. [Google Scholar] [CrossRef] [PubMed]
- Liu, F.; Wang, C.; Li, L.; Chen, L. Long-term and wideband laser intensity stabilization with an electro-optic amplitude modulator. Opt. Laser Technol. 2013, 45, 775–781. [Google Scholar] [CrossRef]
- Duong, Q.A.; Nguyen, T.D.; Vu, T.T.; Higuchi, M.; Wei, D.; Aketagawa, M. Suppression of residual amplitude modulation appeared in commercial electro-optic modulator to improve iodine-frequency-stabilized laser diode using frequency modulation spectroscopy. J. Eur. Opt. Soc. Rapid. Publ. 2018, 14, 25. [Google Scholar] [CrossRef]
- Xia, W.; Liu, Q.; Hao, H.; Guo, D.; Wang, M.; Chen, X. Sinusoidal phase-modulating self-mixing interferometer with nanometer resolution and improved measurement velocity range. Appl. Opt. 2015, 54, 7820–7827. [Google Scholar] [CrossRef] [PubMed]
- Lazar, J.; Hrabina, J.; Jedlička, P.; Číp, O. Absolute frequency shifts of iodine cells for laser stabilization. Metrologia 2009, 46, 450. [Google Scholar] [CrossRef]










| Laser source | 6304 |
| Wavelength | 632–634 nm |
| Modulation frequency for LD | 1 MHz |
| Modulation amplitude for LD | 25 MHz |
| Temperature of cold finger | 15 ± 0.1 °C |
| Temperature; pressure; humidity | 20 ± 0.1 °C; 1013 ± 0.02 kPa; 33 ± 0.01 RH |
| New System | Old System | |
|---|---|---|
| Operating frequency of PZT (Hz) | 1 | 1 |
| Amplitude of PZT stage (μm) | 1.5 | 1.5 |
| Modulation frequency for LD (kHz) | 1000 | 300 |
| Cut-off frequency of low pass filters (kHz) | 900 | 100 |
| Measuring time (s) | 10 s | 10 s |
© 2020 by the authors. Licensee MDPI, Basel, Switzerland. This article is an open access article distributed under the terms and conditions of the Creative Commons Attribution (CC BY) license (http://creativecommons.org/licenses/by/4.0/).
Share and Cite
Vu, T.T.; Hoang, H.H.; Vu, T.T.; Bui, N.T. A Displacement Measuring Interferometer Based on a Frequency-Locked Laser Diode with High Modulation Frequency. Appl. Sci. 2020, 10, 2693. https://doi.org/10.3390/app10082693
Vu TT, Hoang HH, Vu TT, Bui NT. A Displacement Measuring Interferometer Based on a Frequency-Locked Laser Diode with High Modulation Frequency. Applied Sciences. 2020; 10(8):2693. https://doi.org/10.3390/app10082693
Chicago/Turabian StyleVu, Thanh Tung, Hong Hai Hoang, Toan Thang Vu, and Ngoc Tam Bui. 2020. "A Displacement Measuring Interferometer Based on a Frequency-Locked Laser Diode with High Modulation Frequency" Applied Sciences 10, no. 8: 2693. https://doi.org/10.3390/app10082693
APA StyleVu, T. T., Hoang, H. H., Vu, T. T., & Bui, N. T. (2020). A Displacement Measuring Interferometer Based on a Frequency-Locked Laser Diode with High Modulation Frequency. Applied Sciences, 10(8), 2693. https://doi.org/10.3390/app10082693

