Analysis of the Vibration Characteristics of Ballastless Track on Bridges Using an Energy Method
Abstract
1. Introduction
2. Methods
2.1. Vehicle Model
2.2. Track–Bridge Model
2.3. Wheel/Rail Interaction Model
2.3.1. Wheel/Rail Contact Geometry
- (1)
- The wheels and rails are all considered rigid bodies.
- (2)
- The wheel/rail profiles are all discretized by means of cubic interpolation.
2.3.2. Wheel/Rail Contact Force
2.4. Vibration Coupling Equation
2.5. Model Verification
2.6. Description of Power Flow Theory
2.7. Evaluation Methodology
3. Results and Discussion
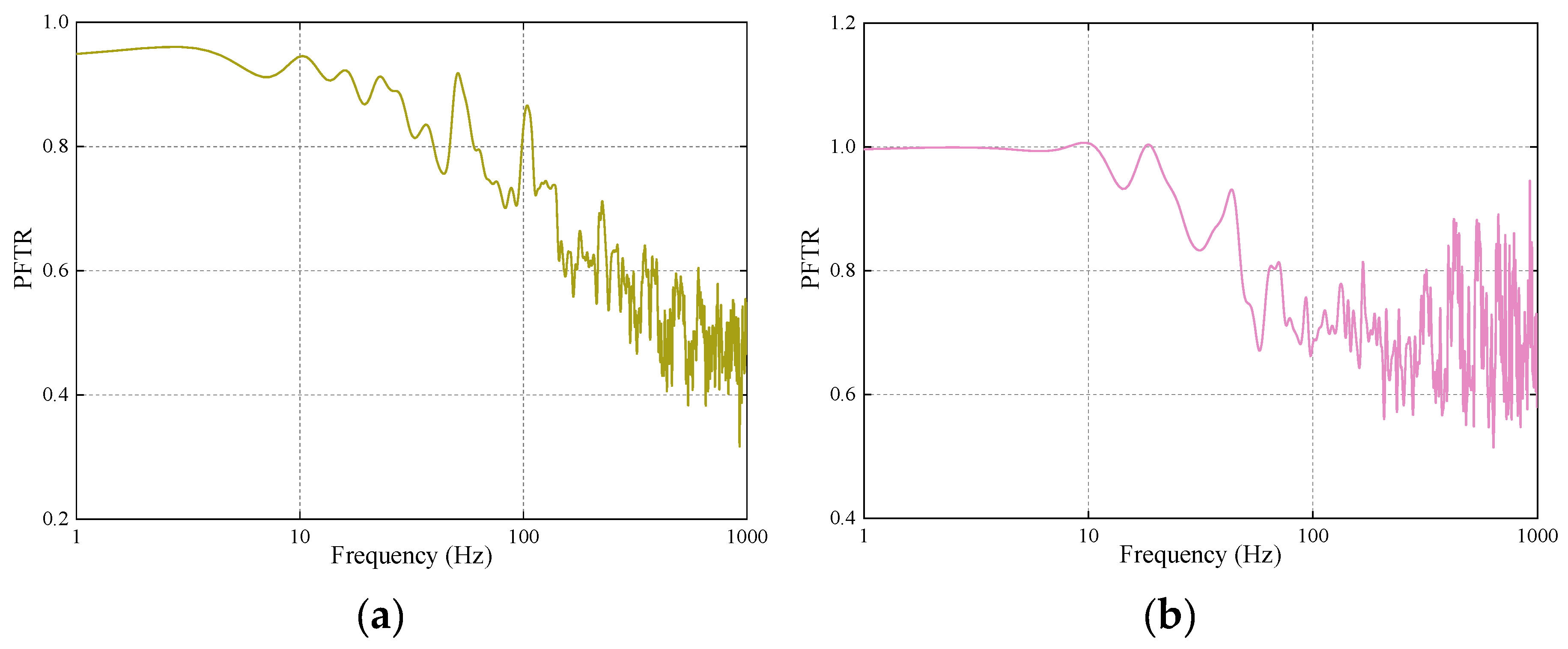
3.1. Vertical Transfer Characteristics of Vibration Energy
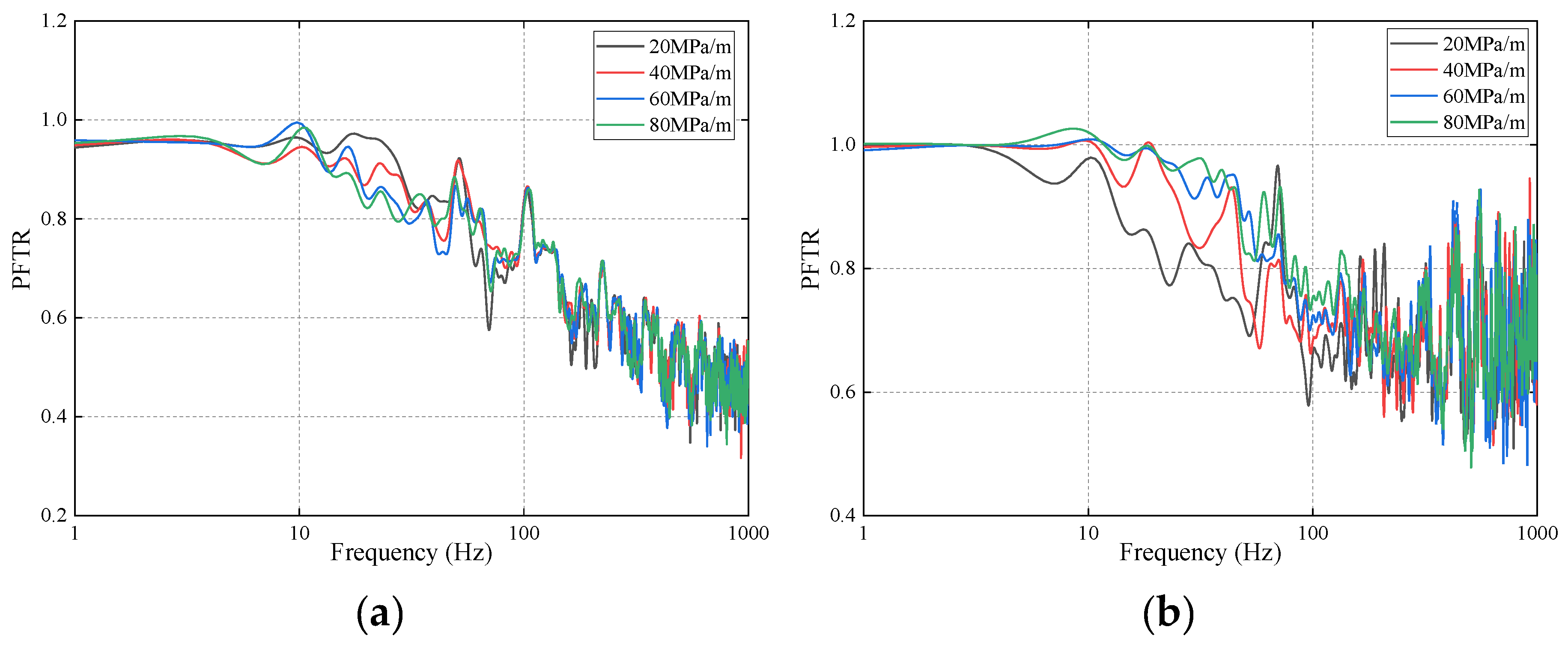
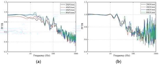
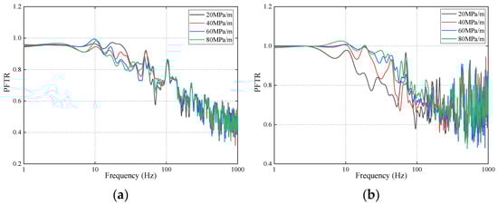
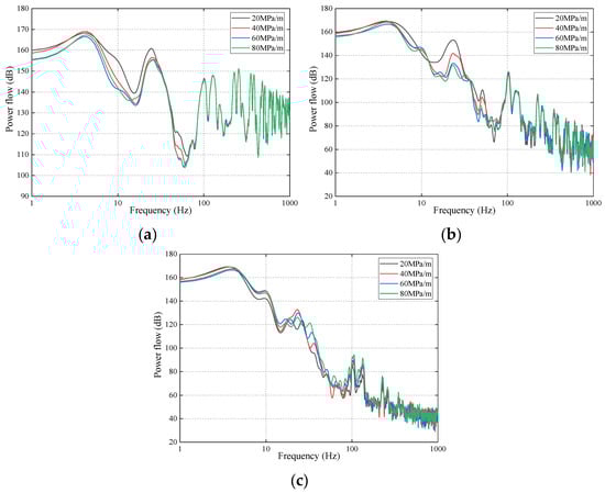
3.2. Influence of the Slab Mat Layer’s Stiffness
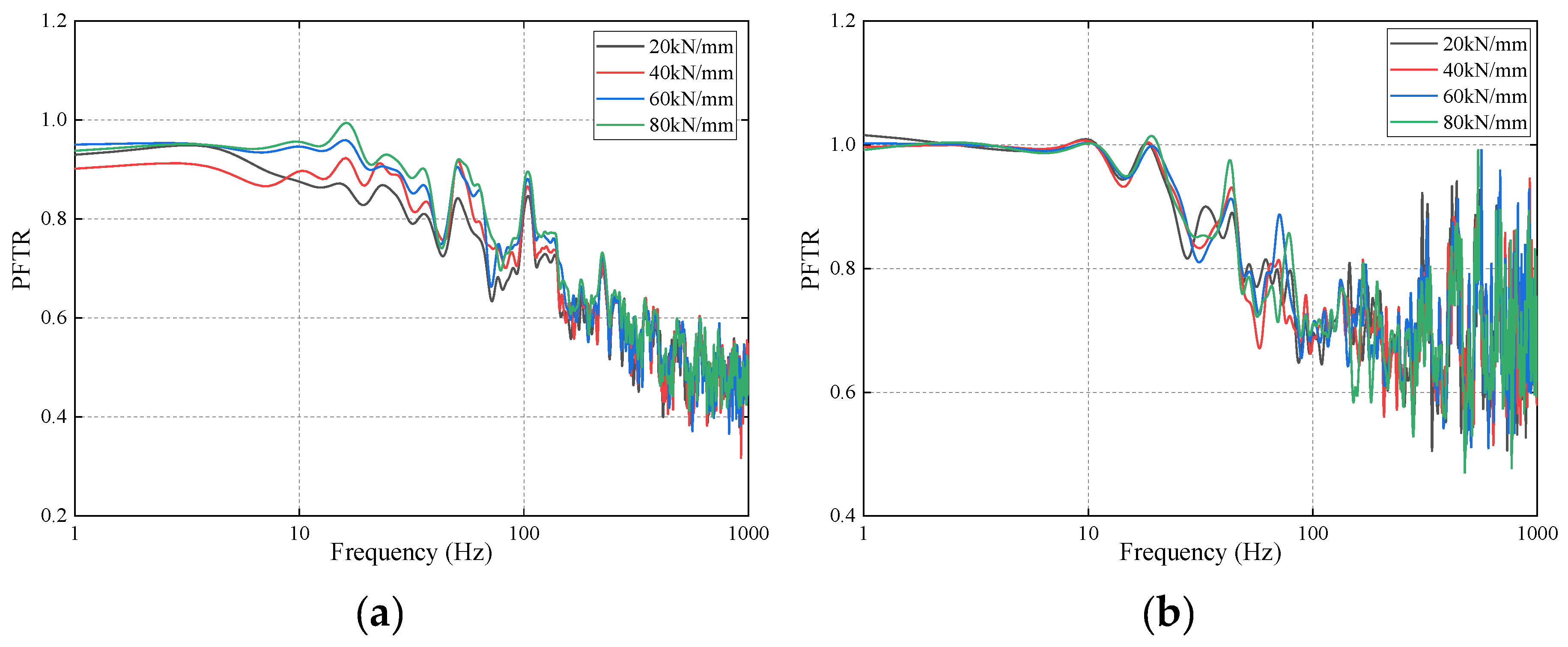
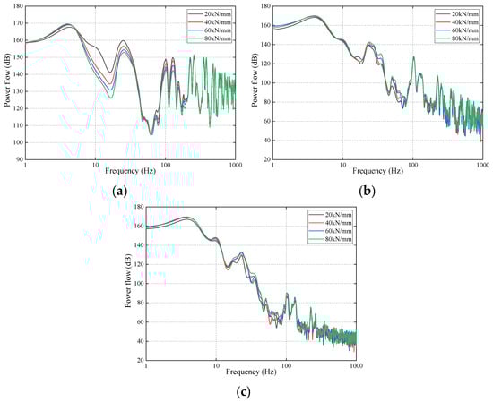
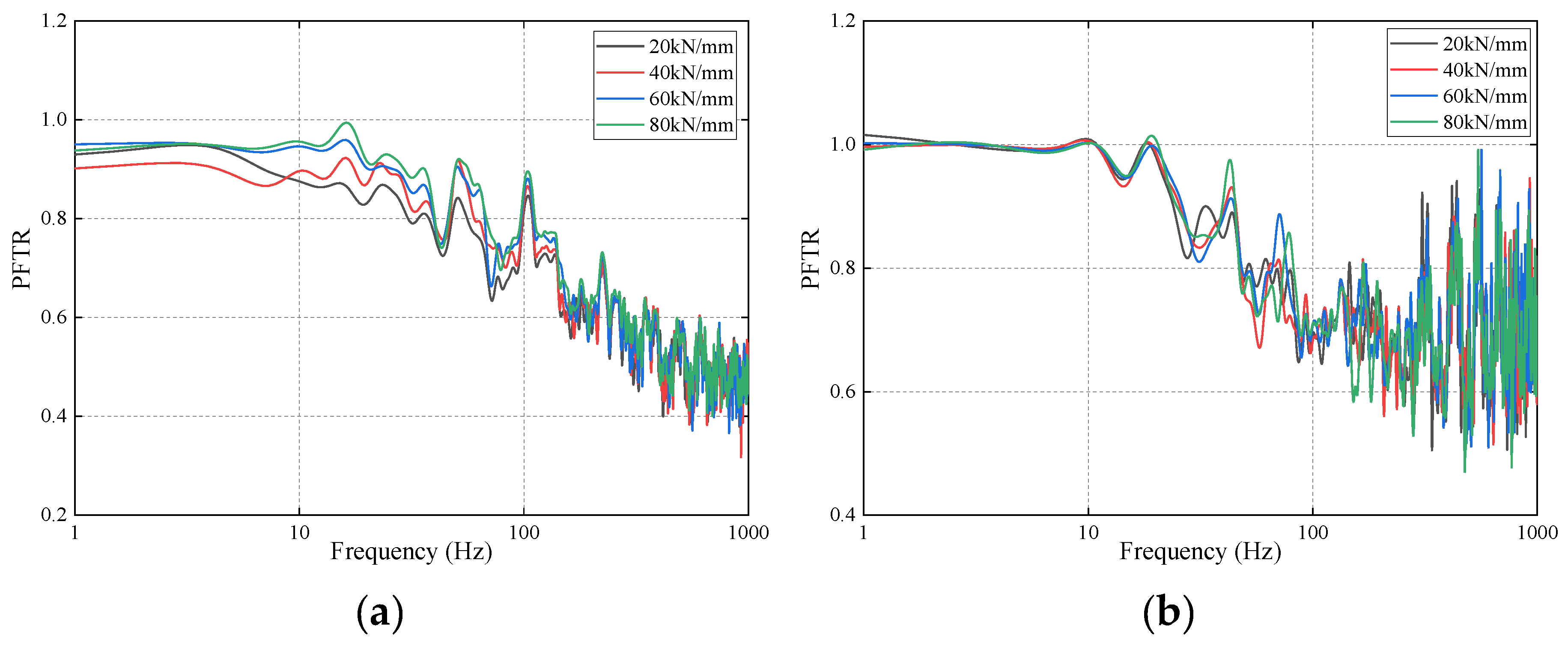
3.3. Influence of the Fasteners’ Stiffness
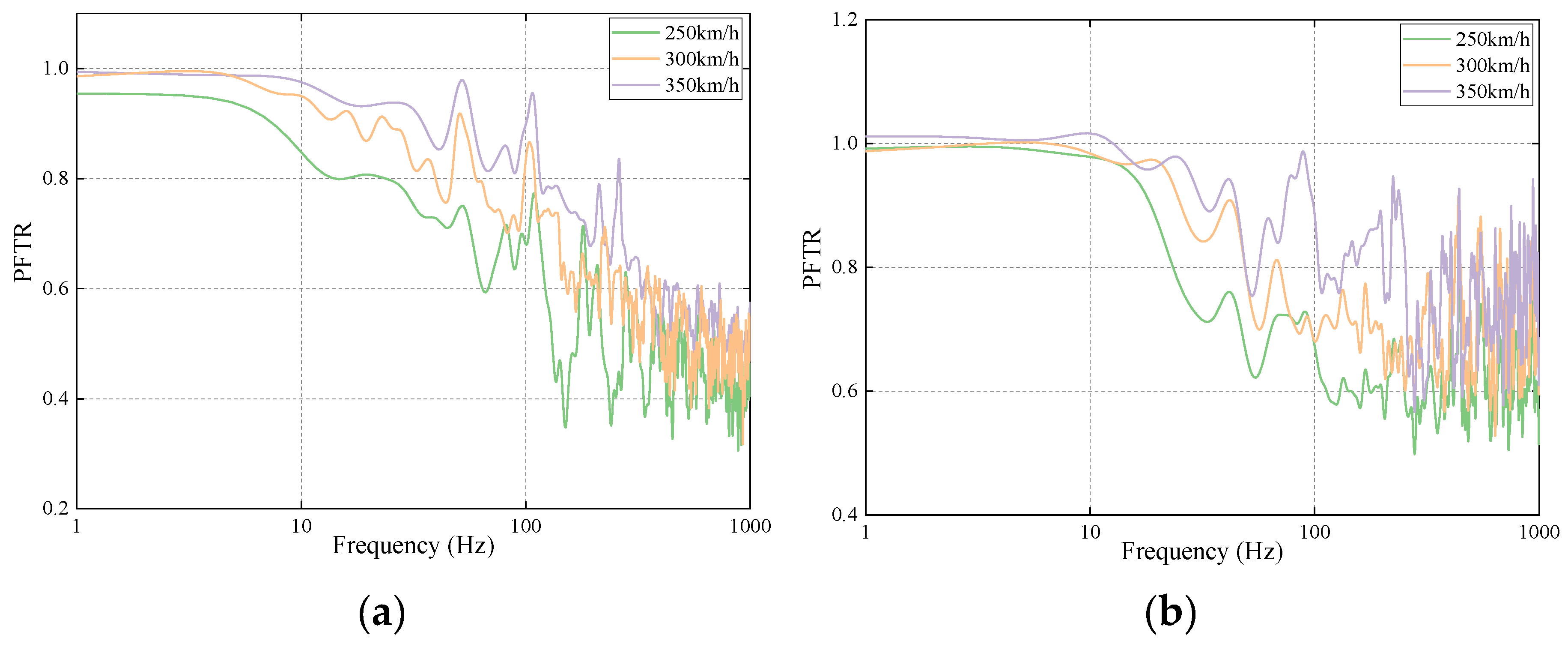
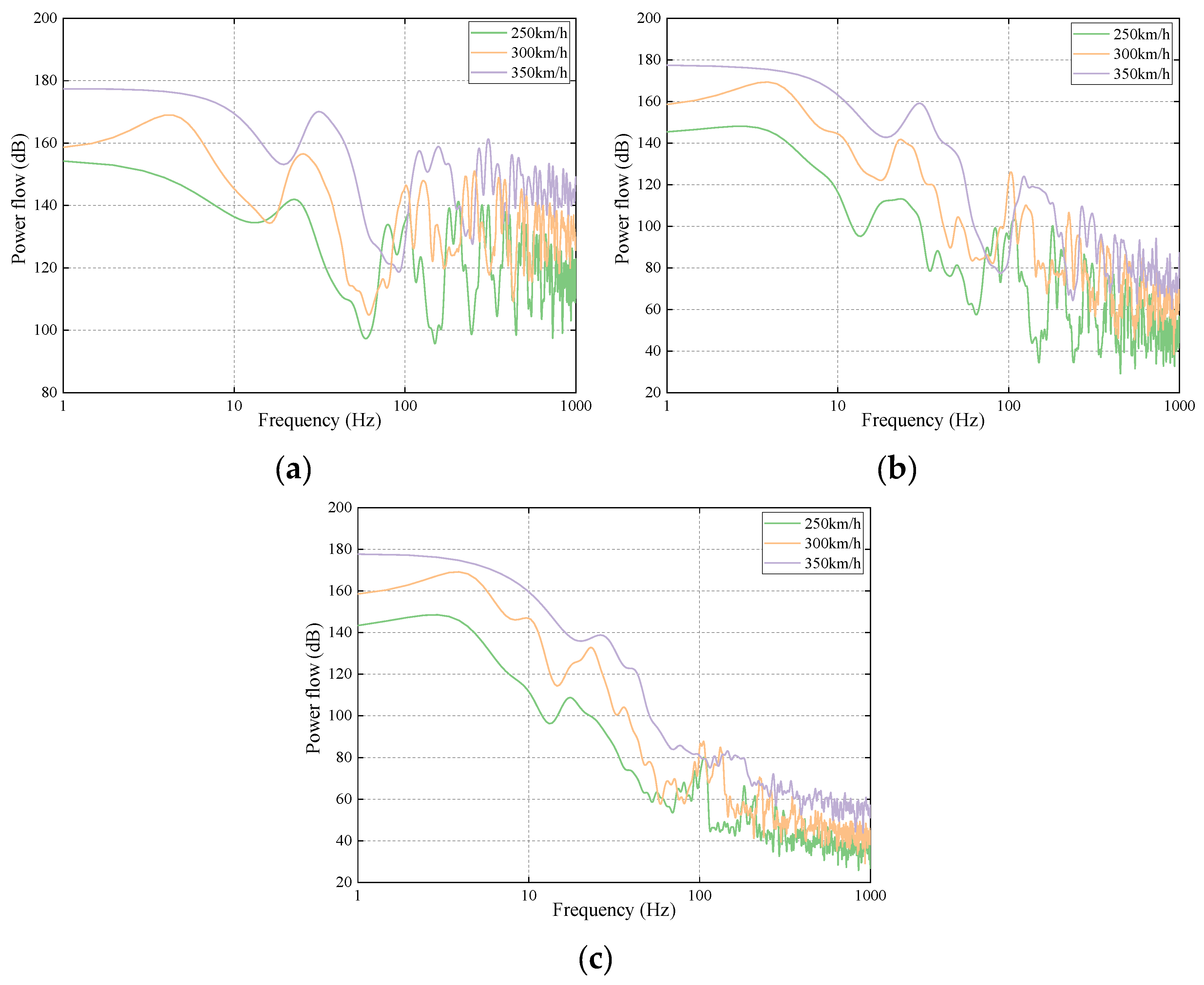
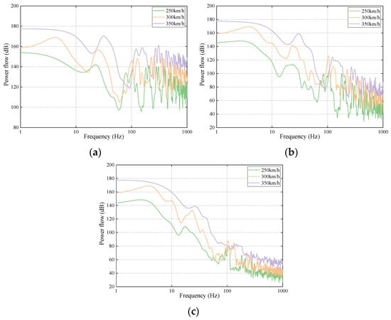
3.4. Influence of the Running Speed
4. Conclusions
- (1)
- The vibration energy declined obviously from top to bottom of the track–bridge system at the frequencies investigated. This is because the energy gradually attenuates from top to bottom in the transfer process. Moreover, the attenuation effects are mainly the result of the elasticity and damping effects of the fasteners and the slab mat layer.
- (2)
- With increasing slab mat layer stiffness, the vibration energy of the rail decreased slightly; on the contrary, that of the slab track and the bridge increased obviously. That is to say, the vibration energy of the rail is less sensitive than that of the slab tack and the bridge to changes in the slab mat layer stiffness. Therefore, the stiffness of the slab mat layer employed ought to be a suitable value; a larger one would cause more environmental vibration, and a smaller one would cause rail defects, even polygonal wheels.
- (3)
- With increasing fastener stiffness, the vibration energy of the entire track–bridge system increased, as the track–bridge system stores more vibration energy under such conditions. It can be inferred that variation in the fasteners’ stiffness plays an important part in the vibration energy of the track–bridge system. To sum up, the stiffness of the fasteners employed ought to be a suitable value as well; larger stiffness would cause an increase in the ambient vibration, while smaller stiffness would affect the running safety of the vehicle.
- (4)
- With increasing running speed, the vibration energy of the track–bridge system increased obviously. That is to say, the running speed is a sensitive index for the vibration energy of the track–bridge system. Therefore, it can be concluded that the running speed plays an important part in the vibration energy of the track–bridge system as well.
Author Contributions
Funding
Acknowledgments
Conflicts of Interest
References
- Liu, L.; Song, R.; Zhou, Y.; Qin, J. Noise and Vibration Mitigation Performance of Damping Pad under CRTS-III Ballastless Track in High Speed Rail Viaduct. KSCE J. Civ. Eng. 2019, 23, 3525–3534. [Google Scholar] [CrossRef]
- Jiang, L.; Feng, Y.; Zhou, W.; He, B. Vibration characteristic analysis of high-speed railway simply supported beam bridge-track structure system. Steel Compos. Struct. 2019, 31, 591–600. [Google Scholar]
- Wang, X.; Zhang, H.; Xie, W. Field test and analysis of the environmental vibration characteristics of building nearby the high speed railway. J. Civ. Archit. Environ. Eng. 2018, 3, 16–22. [Google Scholar]
- Toydemir, B.; Kocak, A.; Sevim, B.; Zengin, B. Ambient vibration testing and seismic performance of precast I beam bridges on a high-speed railway line. Steel Compos. Struct. 2017, 23, 557–570. [Google Scholar] [CrossRef]
- Feng, Q.; Chao, H.; Lei, X. Influence of the Seam between Slab and CA Mortar of CRTSII Ballastless Track on Vibration Characteristics of Vehicle-Track System. Procedia Eng. 2017, 199, 2543–2548. [Google Scholar] [CrossRef]
- Li, T.; Su, Q.; Kaewunruen, S. Influences of piles on the ground vibration considering the train-track-soil dynamic interactions. Comput. Geotech. 2020, 120, 103455. [Google Scholar] [CrossRef]
- Wang, P.; Xu, J.; Wang, L.; Wei, K. Calculation model of the vehicle-CRTS II coupling system with symplectic method. Proc. Inst. Mech. Eng. Part F 2018, 232, 959–969. [Google Scholar] [CrossRef]
- Liu, K.; Yue, F.; Su, Q.; Liu, B.; Zhou, P. Investigation of Concrete Base-Roadbed Surface Contact Variation-Induced Vibration Characteristics of Vehicle-Slab Track-Subgrade System considering Fluid-Solid Interaction. Shock Vib. 2019, 2019, 1570736. [Google Scholar] [CrossRef]
- Li, X.; Zhang, Z.; Zhang, X. Using elastic bridge bearings to reduce train-induced ground vibrations: An experimental and numerical study. Soil Dyn. Earthq. Eng. 2016, 85, 78–90. [Google Scholar] [CrossRef]
- Wang, P.; Xu, H.; Chen, R. Effect of cement asphalt mortar debonding on dynamic properties of CRTS II slab ballastless track. Adv. Mater. Sci. Eng. 2014, 2014, 193128. [Google Scholar] [CrossRef]
- Zhu, S.; Cai, C. Interface damage and its effect on vibrations of slab track under temperature and vehicle dynamic loads. Int. J. Nonlin. Mech. 2014, 58, 222–232. [Google Scholar] [CrossRef]
- Goyder, H.G.D.; White, R.G. Vibrational power flow from machines into built-up structures. J. Sound Vib. 1980, 68, 59–117. [Google Scholar] [CrossRef]
- Pinnington, R.J.; White, R.G. Power flow through machine isolators to resonant and non-resonant beams. J. Sound Vib. 1981, 75, 179–197. [Google Scholar] [CrossRef]
- Kalker, J.J. The computation of three-dimensional rolling contact with dry friction. Int. J. Numer. Meth. Eng. 1979, 14, 1293–1307. [Google Scholar] [CrossRef]
- Hertz, H. Uber die beruhrung fester elastische korper und uber die harte (On the contact of rigid elastic solids and on hardness). Verhandlungen des Vereins zur Beforderung des Gewerbefleisses Leipzig 1882, 1882, 156–171. [Google Scholar]
- Kalker, J.J. A fast algorithm for the simplified theory of rolling contact. Veh. Syst. Dyn. 1982, 11, 1–13. [Google Scholar] [CrossRef]
- Shen, Z.Y.; Hedrick, J.K.; Elkins, J.A. A comparison of alternative creep force models for rail vehicle dynamic analysis. Veh. Syst. Dyn. 1983, 12, 79–83. [Google Scholar] [CrossRef]
- Chen, Z.; Zhai, W.; Yin, Q. Analysis of structural stresses of tracks and vehicle dynamic responses in train-track-bridge system with pier settlement. Proc. Inst. Mech. Eng. Part F 2018, 232, 421–434. [Google Scholar] [CrossRef]
- Li, W.L.; Lavrich, P. Prediction of power flows through machine vibration isolators. J. Sound Vib. 1999, 224, 757–774. [Google Scholar] [CrossRef]
- Jiang, H.; Gao, L. Study of the Vibration-Energy Properties of the CRTS-III Track Based on the Power Flow Method. Symmetry 2020, 12, 69. [Google Scholar] [CrossRef]

















| Parameter | Unit | Value |
|---|---|---|
| Mass of car body/bogie/wheelset | kg | 40,200/2056/1627 |
| Car body pitching/yawing/rolling inertia | kg·m2 | 1.88 × 106/1.85 × 106/1.06 × 105 |
| Bogie pitching/yawing/rolling inertia | kg·m2 | 7200/6800/3200 |
| Wheelset pitching/yawing/rolling inertia | kg·m2 | 120/1210/1210 |
| Lateral/vertical/longitudinal stiffness of primary suspension | MN/m | 3/1.04/9 |
| Lateral/vertical/longitudinal stiffness of secondary suspension | MN/m | 0.24/0.4/0.24 |
| Lateral/vertical/longitudinal damping of primary suspension | kN·s/m | 0/45/0 |
| Lateral/vertical/longitudinal damping of secondary suspension | kN·s/m | 30/50/500 |
| Radius of wheel | m | 0.46 |
| Distance between bogies | m | 17.375 |
| Distance between wheelsets | m | 2.5 |
| Parameter | Unit | Value |
|---|---|---|
| Mass of rail | kg/m | 60.64 |
| Cant of rail | 1:40 | |
| Elastic modulus of rail | GPa | 210 |
| Vertical/lateral stiffness of fasteners | kN/mm | 40/50 |
| Spacing distance of fasteners | m | 0.65 |
| Density of track slab | kg/m3 | 2500 |
| Elastic modulus of track slab | GPa | 35.5 |
| Density of CA mortar | kg/m3 | 2400 |
| Elastic modulus of CA mortar | GPa | 8.5 |
| Density of base slab | kg/m3 | 2500 |
| Elastic modulus of base slab | GPa | 30 |
| Surface stiffness of the slab mat layer | MPa/m | 40 |
| Length of track slab/CA mortar/bridge | m | 6.45/6.45/32 (× 4 span) |
| Density of bridge body | kg/m3 | 2600 |
| Elastic modulus of bridge body | GPa | 35.5 |
| Density of bridge pier | kg/m3 | 2500 |
| Elastic modulus of bridge pier | GPa | 30 |
| Dynamic Response | Rail vertical Acceleration (g) | Track Slab Vertical Acceleration (g) | Bridge Vertical Acceleration (g) |
|---|---|---|---|
| Chen et al. [18] | 139.2 | 3.6 | 0.24 |
| This paper | 136.8 | 3.5 | 0.21 |
© 2020 by the authors. Licensee MDPI, Basel, Switzerland. This article is an open access article distributed under the terms and conditions of the Creative Commons Attribution (CC BY) license (http://creativecommons.org/licenses/by/4.0/).
Share and Cite
Jiang, H.; Gao, L. Analysis of the Vibration Characteristics of Ballastless Track on Bridges Using an Energy Method. Appl. Sci. 2020, 10, 2289. https://doi.org/10.3390/app10072289
Jiang H, Gao L. Analysis of the Vibration Characteristics of Ballastless Track on Bridges Using an Energy Method. Applied Sciences. 2020; 10(7):2289. https://doi.org/10.3390/app10072289
Chicago/Turabian StyleJiang, Hanwen, and Liang Gao. 2020. "Analysis of the Vibration Characteristics of Ballastless Track on Bridges Using an Energy Method" Applied Sciences 10, no. 7: 2289. https://doi.org/10.3390/app10072289
APA StyleJiang, H., & Gao, L. (2020). Analysis of the Vibration Characteristics of Ballastless Track on Bridges Using an Energy Method. Applied Sciences, 10(7), 2289. https://doi.org/10.3390/app10072289

