Effect of Plate Curvature on Heat Source Distribution in Induction Line Heating for Plate Forming
Abstract
1. Introduction
2. Model and Method
2.1. Electromagnetic
2.2. Heat Transfer and Mechanical Analysis
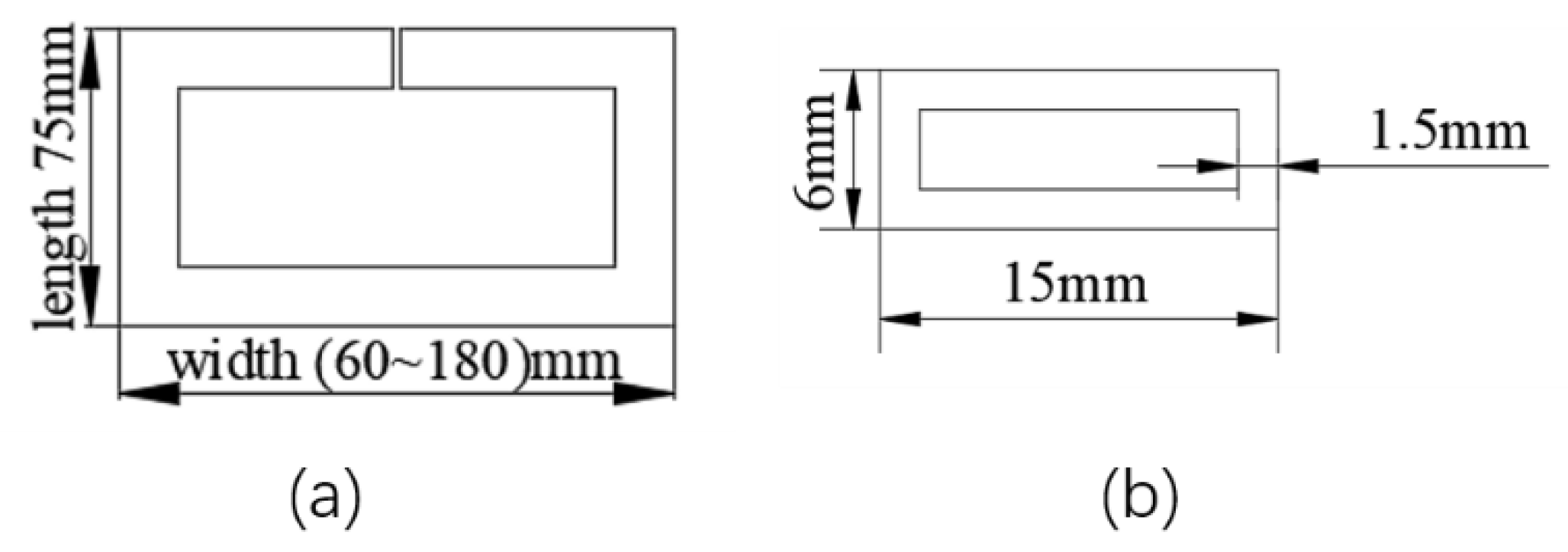
3. Experimental Test
4. Results and Analysis
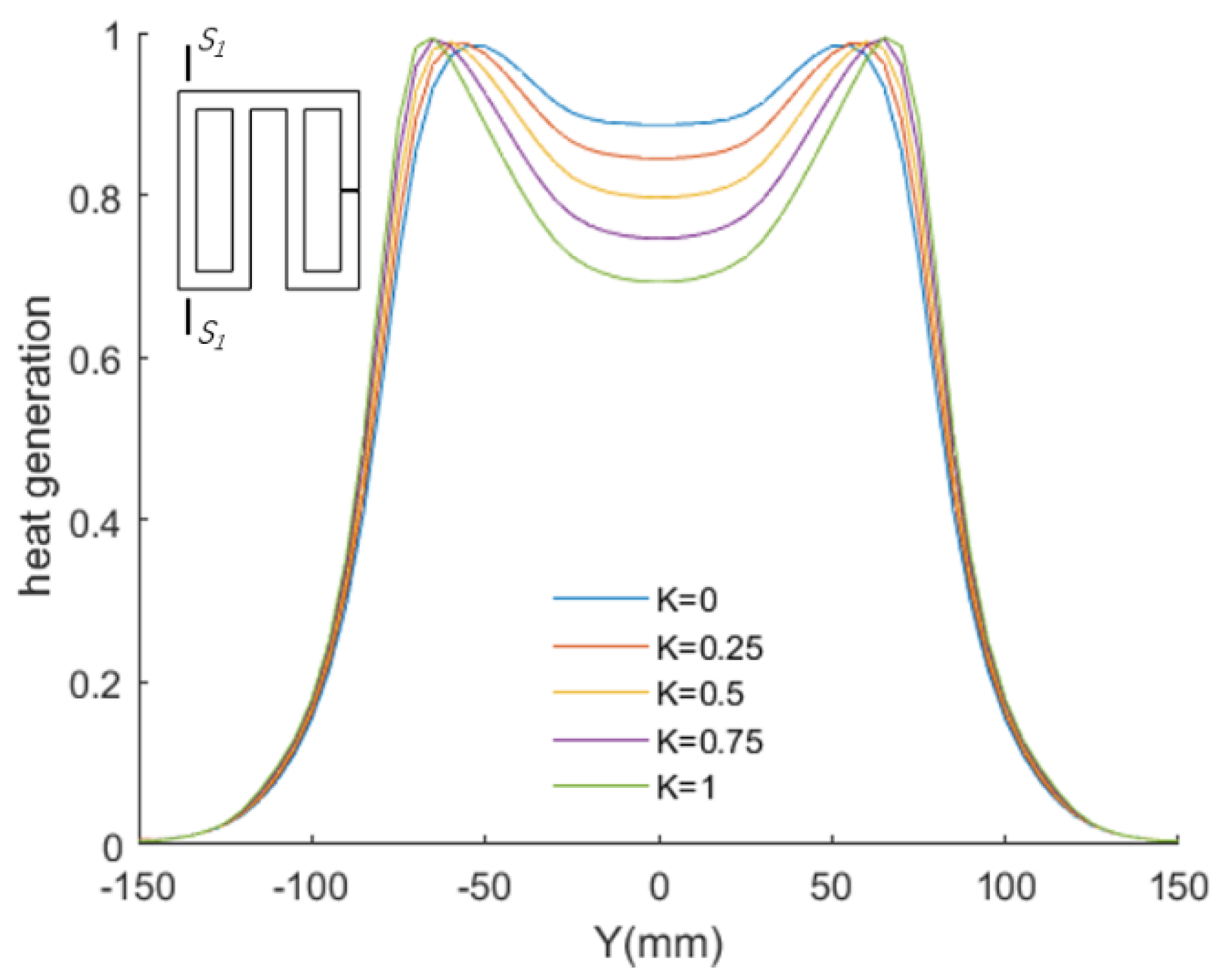
4.1. Effect of Initial Curvature
4.2. Effect on Different Coil Widths
5. Conclusions
- The finite element method, which divides the whole problem into three parts in sequence, can reflect the deformation of the actual process very well.
- When the coil width is less than 100 mm, it can be considered that the effect of plate curvature on heat source distribution and strain distribution is not apparent.
- When the coil width is over 100 mm, the plate curvature affects the heat generation distribution. As the curvature increases, the Joule heat generation in the center of the heating area is reduced by up to 21%, and the plastic strain is obviously reduced.
- A more significant deformation and strain can be obtained in a single-pass heat line with a wider heat source. A wider coil can achieve a higher processing efficiency.
- When the coil width is less than 100 mm or the curvature is less than 0.2 m-1, the effect of the plate curvature is negligible. A compromise is to use a heat source distribution under an intermediate curvature for the calculation to reduce the deviation caused by a curvature change.
Author Contributions
Funding
Conflicts of Interest
Nomenclature
| the magnetic field strength (Wb) | |
| the conduction current density () | |
| time (s) | |
| the electric field (V/m) | |
| the magnetic field (T) | |
| the electric flux density () | |
| the electric charge density | |
| joule heat generation density () | |
| current density () | |
| electric conductivity () | |
| skin effect depth (mm) | |
| the current frequency (Hz) | |
| the relative magnetic permeability | |
| surface heat source distribution () | |
| the density () | |
| the specific heat () | |
| the temperature () | |
| the thermal conductivity () | |
| the convective heat transfer coefficient () | |
| the external normal direction of the steel plate surface | |
| the ambient temperature () | |
| stress tensor | |
| the body force | |
| the stress increment | |
| the elastoplastic matrix | |
| the strain increment | |
| the thermal stiffness matrix | |
| the temperature increment () | |
| plate thickness (mm) | |
| in-plane strain | |
| out-of-plane strain |
References
- Wang, S.; Hou, L.X.; Wang, J.; Liu, Y.J. Research progress of thermal working forming technologies for complex curved hull plates. Hot Work. Technol. 2019, 48, 1–4, 9. [Google Scholar]
- Ueda, Y.; Murakawa, H.; Rashwan, A.M.; Okumoto, Y.; Kamichika, R. Development of computer-aided process planning system for plate bending by line heating (report 1)—Relation between final form of plate and inherent strain. J. Ship Prod. 1994, 10, 59–67. [Google Scholar]
- Ueda, Y.; Murakawa, H.; Rashwan, A.M.; Okumoto, Y.; Kamichika, R.; Ishiyama, M.; Ogawa, J. Development of Computer Aided Process Planning System for Plate Bending by Line Heating (Report IV). Decision Making on Heating Conditions, Location and Direction. Trans. JWRI 1993, 22, 305–313. [Google Scholar]
- Vega, A.; Rashed, S.; Tango, Y.; Ishiyama, M.; Murakawa, H. Analysis and prediction of multi-heating lines effect on plate forming by line heating. Comput. Modeling Eng. Sci. 2008, 28, 1–14. [Google Scholar]
- Vega, A.; Escobar, E.; Fong, A.; Ma, N.; Murakawa, H. Analysis and prediction of parallel effect on inherent deformation during the line heating process. Comput. Modeling Eng. Sci. 2013, 90, 197–210. [Google Scholar]
- Yoshihiko, T.; Morinobu, I.; Hiroyuki, S. “IHIMU-α” a fully automated steel plate bending system for shipbuilding. IHI Technol. 2011, 51, 24–29. [Google Scholar]
- Zhou, H.; Jiang, Z.Y.; Luo, Y.; Luo, P.P. Research on hull plate bending based on the technology of high-frequency induction. Shipbuild. China 2014, 55, 128–135. [Google Scholar]
- Zhu, Y.; Luo, Y. Fully coupled magneto-thermo-structural analysis by morphing method and its application to induction heating process for plate bending. Int. J. Appl. Electromagn. Mech. 2018, 56, 573–583. [Google Scholar] [CrossRef]
- Yun, J.O.; Yang, S.Y. Analysis of the induction heating for moving inductor coil. J. Mech. Sci. Technol. 2006, 20, 1217–1223. [Google Scholar] [CrossRef]
- Lee, K.S.; Eom, D.H.; Lee, J.H. Deformation behavior of SS400 Thick plate by high-frequency-induction-heating-based line heating. Met. Mater. Int. 2013, 19, 315–328. [Google Scholar] [CrossRef]
- Dong, H.; Zhao, Y.; Yuan, H. Effect of coil width on deformed shape and processing efficiency during ship hull forming by induction heating. Appl. Sci. 2018, 8, 1585. [Google Scholar] [CrossRef]
- Dong, H.; Zhao, Y.; Yuan, H.; Hu, X.; Yang, Z. A Simplified Calculation Method of Heat Source Model for Induction Heating. Materials 2019, 12, 2938. [Google Scholar] [CrossRef] [PubMed]
- Zhang, X.; Cheng, C.; Liu, Y. Numerical analysis and experimental research of triangle induction heating of the rolled plate. Proceedings of the Institution of Mechanical Engineers, Part C. J. Mech. Eng. Sci. 2017, 231, 844–859. [Google Scholar] [CrossRef]
- Zhu, Y.; Luo, Y. A simplified heat source model for thick plate bending via high-frequency induction line heating. Ships Offshore Struct. 2019, 14, 64–73. [Google Scholar] [CrossRef]
- Chang, L.C.; Zhao, Y.; Yuan, H.; Hu, X.C. Influence of plate deformation on heat distribution in induction line heating. Visualization of advanced material processing. In Proceedings of the 8th International Conference of Welding Science and Engineering, Osaka, Japan, 21–22 November 2019. [Google Scholar]
- Stratton, J.A. Electromagnetic Theory; John Wiley & Sons: Hoboken, NJ, USA, 2007. [Google Scholar]
- Rudnev, V.; Loveless, D.; Cook, R.L. Handbook of Induction Heating; CRC Press: Boca Raton, FL, USA, 2017. [Google Scholar]
- ANSYS Inc. ANSYS Mechanical APDL Low-Frequency Electromagnetic Analysis Guide; Version15.0; ANSYS Inc.: Canonsburg, PA, USA, 2016. [Google Scholar]
- Wehr, A.; Lohr, U. Airborne laser scanning—An introduction and overview. ISPRS J. Photogramm. Remote Sens. 1999, 54, 68–82. [Google Scholar] [CrossRef]
- Schnabel, R.; Wahl, R.; Klein, R. Efficient RANSAC for Point-Cloud Shape Detection. Comput. Graph. Forum 2007, 26, 214–226. [Google Scholar] [CrossRef]
















| Temperature | Young’s Modulus | Poisson Ratio | Heat Expansion Coefficient | Yield Strength | Density | Specific Heat | Heat Conductivity Coefficient |
|---|---|---|---|---|---|---|---|
| (°C) | (GPa) | (MPa) | |||||
| 0 | 206 | 0.267 | 1.2 | 235 | 7842 | 450.36 | 66.97 |
| 50 | 196 | 0.29 | 1.25 | - | - | 464.6 | 65.21 |
| 200 | 196 | 0.322 | 1.4 | 163 | 7822 | 498.1 | 57.38 |
| 250 | 186 | 0.296 | 1.43 | - | - | 502.26 | 54.91 |
| 300 | 186 | 0.262 | 1.47 | - | - | 514.82 | 53 |
| 400 | 166 | 0.24 | 1.54 | 130 | 7802 | 537.42 | 47.92 |
| 450 | 157 | 0.229 | 1.57 | - | - | 623.64 | 45.83 |
| 500 | 157 | 0.223 | 1.59 | - | - | 707.35 | 43.53 |
| 600 | 135 | 0.223 | 1.64 | 119 | 7782 | 812 | 39.3 |
| 650 | 117 | 0.223 | 1.66 | - | - | 904.07 | 36.37 |
| 700 | 112 | 0.223 | 1.67 | - | - | 967.69 | 34.74 |
| 800 | 113 | 0.223 | 1.69 | 109 | 7761 | 1026.32 | 31.02 |
| Initial Curvature K (m−1) | Coil Width (m) | Air Gap Increment (mm) | Power (kW) | Velocity (mm/s) | |
|---|---|---|---|---|---|
| case 1 | 0 | 0.22 | 0 | 65 | 5 |
| case 2 | 0.25 | 0.22 | 1.51 | 65 | 5 |
| case 3 | 0.5 | 0.22 | 3.03 | 65 | 5 |
| case 4 | 0.75 | 0.22 | 4.55 | 65 | 5 |
| case 5 | 1 | 0.22 | 6.07 | 65 | 5 |
| Thickness (mm) | K = 0.25 | K = 0.5 | K = 0.75 | K = 1 | |
|---|---|---|---|---|---|
| out-of-plane strain in the X direction | 20 | 0.2505 | 0.3144 | 0.3463 | 0.3808 |
| 16 | 0.1767 | 0.282 | 0.3537 | 0.4346 | |
| out-of-plane strain in the Y direction | 20 | 0.0845 | 0.1722 | 0.2384 | 0.2939 |
| 16 | 0.0723 | 0.1442 | 0.2233 | 0.2971 | |
| in-plane strain in the X direction | 20 | 0.0925 | 0.1699 | 0.2681 | 0.3476 |
| 16 | 0.1192 | 0.165 | 0.2377 | 0.2426 | |
| in-plane strain in the Y direction | 20 | 0.0592 | 0.1164 | 0.1571 | 0.2032 |
| 16 | 0.062 | 0.1266 | 0.1845 | 0.2433 |
| Initial Curvature K (m−1) | Coil Width (m) | Air Gap Increment (mm) | Power (kW) | Velocity (mm/s) | |
|---|---|---|---|---|---|
| case 6 | 0 | 0.06 | 0 | 18 | 5 |
| case 7 | 0 | 0.10 | 0 | 30 | 5 |
| case 8 | 0 | 0.14 | 0 | 42 | 5 |
| case 9 | 0 | 0.18 | 0 | 54 | 5 |
| case 10 | 1 | 0.06 | 0.45 | 18 | 5 |
| case 11 | 1 | 0.10 | 1.25 | 30 | 5 |
| case 12 | 1 | 0.14 | 2.45 | 42 | 5 |
| case 13 | 1 | 0.18 | 4.06 | 54 | 5 |
| Thickness (mm) | Width = 60 mm | Width = 100 mm | Width = 140 mm | Width = 180 mm | |
|---|---|---|---|---|---|
| out-of-plane strain in the X direction | 20 | 0.0572 | 0.1147 | 0.0946 | 0.1136 |
| 16 | 0.0496 | 0.1076 | 0.1201 | 0.1301 | |
| out-of-plane strain in the Y direction | 20 | 0.0896 | 0.113 | 0.1748 | 0.2657 |
| 16 | 0.0647 | 0.0883 | 0.1357 | 0.2255 | |
| in-plane strain in the X direction | 20 | 0.0712 | 0.1257 | 0.1723 | 0.2836 |
| 16 | 0.0757 | 0.1438 | 0.1977 | 0.2584 | |
| in-plane strain in the Y direction | 20 | 0.0222 | 0.0437 | 0.0821 | 0.1427 |
| 16 | 0.0227 | 0.0505 | 0.1058 | 0.1753 |
© 2020 by the authors. Licensee MDPI, Basel, Switzerland. This article is an open access article distributed under the terms and conditions of the Creative Commons Attribution (CC BY) license (http://creativecommons.org/licenses/by/4.0/).
Share and Cite
Chang, L.; Zhao, Y.; Yuan, H.; Hu, X.; Yang, Z.; Zhang, H. Effect of Plate Curvature on Heat Source Distribution in Induction Line Heating for Plate Forming. Appl. Sci. 2020, 10, 2304. https://doi.org/10.3390/app10072304
Chang L, Zhao Y, Yuan H, Hu X, Yang Z, Zhang H. Effect of Plate Curvature on Heat Source Distribution in Induction Line Heating for Plate Forming. Applied Sciences. 2020; 10(7):2304. https://doi.org/10.3390/app10072304
Chicago/Turabian StyleChang, Lichun, Yao Zhao, Hua Yuan, Xiaocai Hu, Zhen Yang, and Hao Zhang. 2020. "Effect of Plate Curvature on Heat Source Distribution in Induction Line Heating for Plate Forming" Applied Sciences 10, no. 7: 2304. https://doi.org/10.3390/app10072304
APA StyleChang, L., Zhao, Y., Yuan, H., Hu, X., Yang, Z., & Zhang, H. (2020). Effect of Plate Curvature on Heat Source Distribution in Induction Line Heating for Plate Forming. Applied Sciences, 10(7), 2304. https://doi.org/10.3390/app10072304

